电脑桌面
添加小米粒文库到电脑桌面
安装后可以在桌面快捷访问

辽宁省沈阳二中高三数学必修5:数列VIP免费

辽宁省沈阳二中高三数学必修5:数列_第1页
1/18
辽宁省沈阳二中高三数学必修5:数列_第2页
2/18
辽宁省沈阳二中高三数学必修5:数列_第3页
3/18
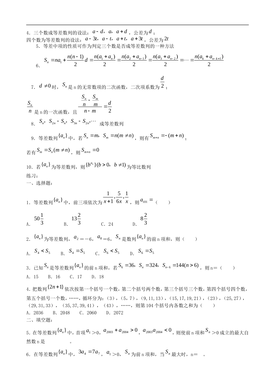
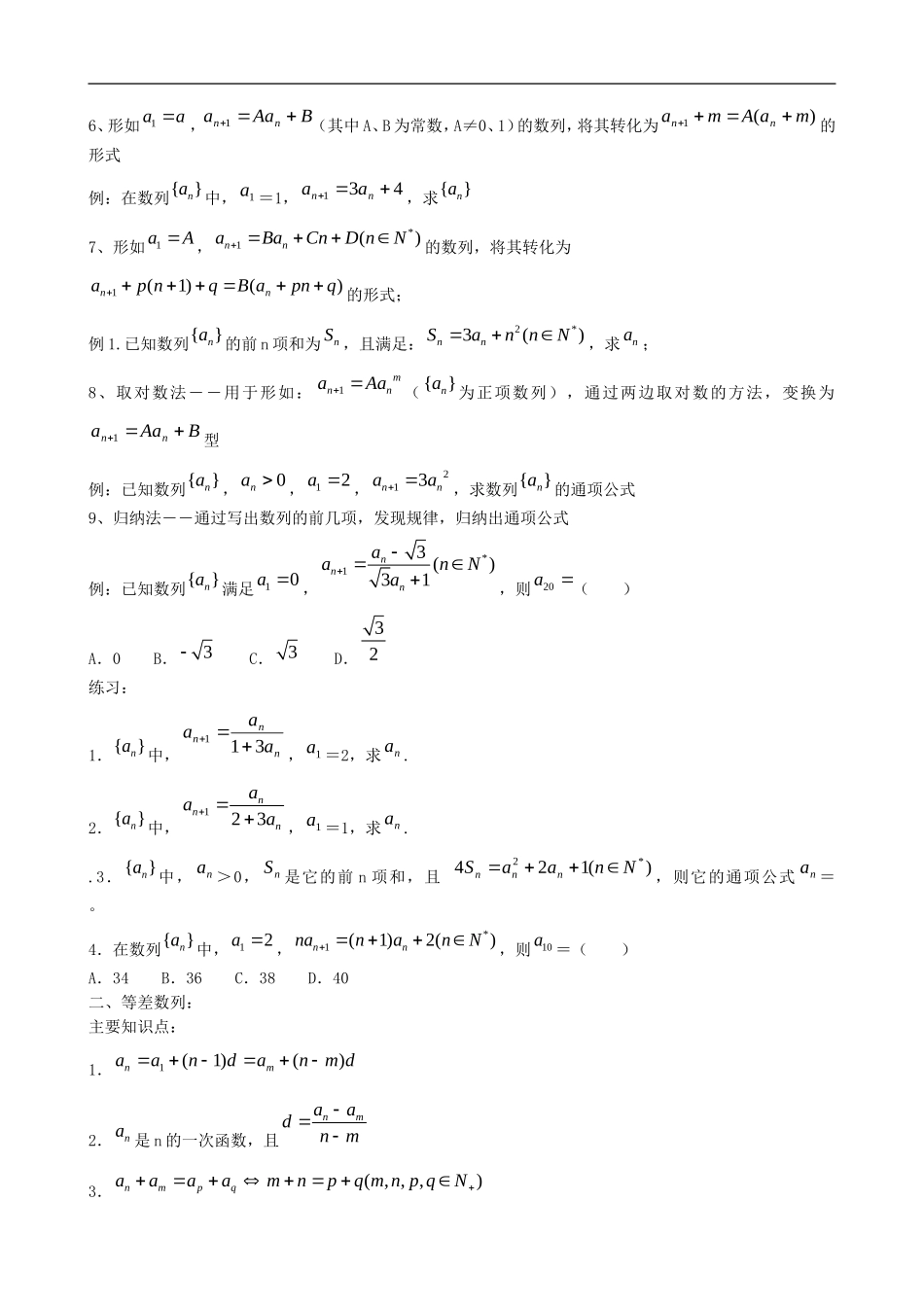
数列求通项公式:1、已知数列的前几项,写出数列的一个通项①数列各项正、负相间的用1(1)n或(1)n来调节;②分式形式的数列,分子、分母分别找通项,对于已经约分了的分式,应化回到约分前的形式,以便于寻找规律;③对于一些特殊的数列,如:1,11,111,1111,…,11…11(n个1),应作为一些个小模块来记,1(101)9n;④识记一些常用的数列的前10项,如:2323nnnn,,,等等;⑤对于观察图形写通项公式的题,要找出每一个图形变化了的方面与项数n的关系。例1:写出数列13575101726,,,,的一个通项公式例2:写出数列19173313356399,,,,,的一个通项公式例3:写出数列2,0,2,0,2,0,……的一个通项公式例4:1,0,-1,0,1,0,-1,0,……2、已知nS求na,则na=11(1)(2)nnSnSSn,不要忘记对1a的验证解题步骤:1.当n=1时,11Sa;2.当2n时,1nnnaSS,解出后,验证所得的na,当n=1时,是否等于第一步中所求得的值,若相等,则na就是通项,若不等,则要写成分段形式例:已知数列{}na的前n项和为nS的公式,求{}na的通项公式.(1)223nSnn;(2)32nnS.3、叠加法――主要用于形如:)(1nfaann的数列,在推导等差数列的通项公式时,使用过此法例:在数列{}na中,已知1a=1,当n≥2时,有121naann,求{}na.4、累乘法――主要用于形如:nnanfa)(1的数列,在推导等比数列的通项公式时,使用过此法例:在数列{}na中,已知1a=1,当n≥2时,有nnanna)1(1,求{}na.5、形如1aA,11nnnaaka(k为常数,且k≠0)的数列,通过取倒数的方法转化为等差数列来求解;例:数列{}na中,13a,112nnnaaa,求通项公式6、形如1aa,BAaann1(其中A、B为常数,A≠0、1)的数列,将其转化为)(1maAmann的形式例:在数列{}na中,1a=1,431nnaa,求{}na7、形如1aA,*1()nnaBaCnDnN的数列,将其转化为1(1)()nnapnqBapnq的形式;例1.已知数列{}na的前n项和为nS,且满足:2*3()nnSannN,求na;8、取对数法――用于形如:1mnnaAa({}na为正项数列),通过两边取对数的方法,变换为BAaann1型例:已知数列{}na,0na,12a,213nnaa,求数列{}na的通项公式9、归纳法――通过写出数列的前几项,发现规律,归纳出通项公式例:已知数列{}na满足10a,*13()31nnnaanNa,则20a()A.0B.3C.3D.32练习:1.{}na中,nnnaaa311,1a=2,求na.2.{}na中,123nnnaaa,1a=1,求na..3.{}na中,na>0,nS是它的前n项和,且)(124*2NnaaSnnn,则它的通项公式na=。4.在数列{}na中,12a,*1(1)2()nnnananN,则10a=()A.34B.36C.38D.40二、等差数列:主要知识点:1.1(1)()nmaandanmd2.na是n的一次函数,且nmaadnm3.(,,,)nmpqaaaamnpqmnpqN4.三个数成等差数列的设法:adaad,,,公差为d;四个数为等差数列的设法:33atatatat,,,,公差为2t5.等差中项的性质可作为判定三个数是否成等差数列的一种方法6.1213211()()()()(1)22222nnnknknnaanaanaanaannSnad7.0d时,nS是n的无常数项的二次函数,二次项系数为2d;nSn是n的一次函数,且2nmSSdnmnm8.232nnnnnSSSSS,,,成等差数列9.等差数列{}na中,若()nmSmSnmn,,则有()mnSmn;若有()mnSSmn,则0mnS10.若{}na为等差数列,则{}(01)nabbb,为等比数列练习:一、选择题:1.等差数列{}na中,前三项依次为15116xxx,,,则101a()A.1503B.2133C.24D.2832.{}na为等差数列,2a=-6,8a=6,nS是数列{}na的前n项和,则()A.54SSB.54SSC.56SSD.56SS3.已知nS是等差数列{}na的前n项和,若6636324144(6)nnSSSn,,,则n=()A.15B.16C.17D.184.把数列{21}n依次按第一个括号一个数,第二个括号两个数,第三个括号三个数,第四个括号四个数,第五个括号一个数,……,循...

1、当您付费下载文档后,您只拥有了使用权限,并不意味着购买了版权,文档只能用于自身使用,不得用于其他商业用途(如 [转卖]进行直接盈利或[编辑后售卖]进行间接盈利)。
2、本站所有内容均由合作方或网友上传,本站不对文档的完整性、权威性及其观点立场正确性做任何保证或承诺!文档内容仅供研究参考,付费前请自行鉴别。
3、如文档内容存在违规,或者侵犯商业秘密、侵犯著作权等,请点击“违规举报”。

碎片内容

辽宁省沈阳二中高三数学必修5:数列

您可能关注的文档

雨丝书吧+ 关注
实名认证
内容提供者

乐于和他人分享知识,从事历史教学,热爱教育,高度负责。

确认删除?
VIP
微信客服
  • 扫码咨询
会员Q群
  • 会员专属群点击这里加入QQ群
客服邮箱
回到顶部