电脑桌面
添加小米粒文库到电脑桌面
安装后可以在桌面快捷访问

固体物理课后答案VIP免费

固体物理课后答案_第1页
1/27
固体物理课后答案_第2页
2/27
固体物理课后答案_第3页
3/27
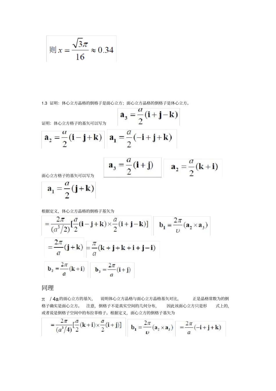
1.1如果将等体积球分别排列成下列结构,设x表示钢球所占体积与总体积之比,证明结构x简单立方π/6≈0.52体心立方3π/8≈0.68面心立方2π/6≈0.74六方密排2π/6≈0.74金刚石3π/16≈0.34解:设钢球半径为r,根据不同晶体结构原子球的排列,晶格常数a与r的关系不同,分别为:简单立方:a=2r金刚石:根据金刚石结构的特点,因为体对角线四分之一处的原子与角上的原子紧贴,因此有1.3证明:体心立方晶格的倒格子是面心立方;面心立方晶格的倒格子是体心立方。证明:体心立方格子的基矢可以写为面心立方格子的基矢可以写为根据定义,体心立方晶格的倒格子基矢为同理π/4a的面心立方的基矢,说明体心立方晶格与面心立方晶格基矢对比,正是晶格常数为的倒格子确实是面心立方。注意,倒格子不是真实空间的几何分布,因此该面心立方只是形式上的,或者说是倒格子空间中的布拉菲格子。根据定义,面心立方的倒格子基矢为同理πa4的体心立方晶格的基矢。而把以上结果与体心立方基矢比较,这正是晶格常数为ABC交于基矢证明:根据定义,密勒指数为的晶面系中距离原点最近的平面的截距分别为即为平面的法线根据定义,倒格子基矢为则倒格子原胞的体积为1.6对于简单立方晶格,证明密勒指数为(h,k,l)的晶面系,面间距d满足a为立方边长。其中解:根据倒格子的特点,倒格子与晶面族(h,k,l)的面间距有如下关系因此只要先求出倒格,求出其大小即可。因为倒格子基矢互相正交,因此其大小为则带入前边的关系式,即得晶面族的面间距。1.7写出体心立方和面心立方晶格结构的金属中,最近邻和次近邻的原子数。若。,写出最近邻和次近邻的原子间距立方边长为a答:体心立方晶格的最近邻原子数(配位数)为8,最近邻原子间距等于a;,次近邻原子间距为次近邻原子数为6面心立方晶格的最近邻原子数(配位数)为12,最近邻原子间距等于次近邻原子数为6,次近邻原子间距为a。α=2.1证明两种一价离子组成的一维晶格的马德隆常数为2ln2证明:设一个由正负两种离子相间等距排列的无限一维长链,取一负离子作参考r表示相邻离子间的距离,于是有离子,用根据假设,马德隆常数求和中的正负号这样选取,即遇正离子取正号,遇负离子取负号。r的离子,一个在参考离子左面,一个在其右面。是因为存在着两个相等距离因子2i则马德隆常数为x=1时,有当α=2ln2所以根据平衡条件,即稳定结合时求得则可以求得每一摩尔氢分子晶体的结合能为计算中没有考虑零点能的量子修正,这是造成理论和实验值之间巨大差别的原因。是1.5的图是3.2的图的图3.3是3.2讨论N个原胞的一维双原子链(相邻原子间距为a),其2N个格波解,当M=m时与一维单原子链的结果一一对应。解:如图所示,质量为的原子位于质量为的原子位于2n,2??nm+M+2n?1,2n1,2n+3牛顿运动方程为.2,2⋯n+2N个形式相同的独立方程。形式解为:每个原胞有两个,共有代回运动方程有AB为未知量的齐次线性方程组,有解的条件是系数行列式为零、这是一个以有两组不同的解:q2Nq个格波。有两个格波,共计的取值范围是:对应于每个值,时,两组解变为=m当M初看似乎仍为双值函数,但是由于原来取布里渊区为为实际区域大小的一半,所以当我们把布里渊区扩展为时,就不必用双值表示了,变为这时当然就没有光学波了.3.3考虑一双原子链的晶格振动,链上最近邻原子间力常数交替为c和10c。令两种原子质量相同,且最近邻间距为a/2。求在k=0和k=π/a处的ω(k)。大略地画出色散关系。此问题模拟如2H这样的双原子分子晶体。解:可以这样考虑这个问题,H分子组成一维晶体,分子内部的相互作用较强,力常数为210ccs个分子中的两个原子的位移分别用,相邻的原子间作用较弱,力常数为,第表示:将试探解有代入上式νu,是的线性齐次方程组,存在非零解的条件为k=0时,当πa/k=时当ωkH)晶体。令(与的关系如下图所示,这是一个双原子例如223.6求出一维单原子链的频率分布函数。L=Na解:设单原子链长度频率分布函数附近的长波极限有=0设三维晶格的光学振动在3.7q求证:解:依据现在带入上边结果有3.8有N个相同原子组成的面积为S的二维晶格,在德拜近似下计算比热,并论述在低温极限比热正比于T2。解:在德拜近似下2...

1、当您付费下载文档后,您只拥有了使用权限,并不意味着购买了版权,文档只能用于自身使用,不得用于其他商业用途(如 [转卖]进行直接盈利或[编辑后售卖]进行间接盈利)。
2、本站所有内容均由合作方或网友上传,本站不对文档的完整性、权威性及其观点立场正确性做任何保证或承诺!文档内容仅供研究参考,付费前请自行鉴别。
3、如文档内容存在违规,或者侵犯商业秘密、侵犯著作权等,请点击“违规举报”。

碎片内容

固体物理课后答案

爱的疯狂+ 关注
实名认证
内容提供者

该用户很懒,什么也没介绍

相关文档

确认删除?
VIP
微信客服
  • 扫码咨询
会员Q群
  • 会员专属群点击这里加入QQ群
客服邮箱
回到顶部