电脑桌面
添加小米粒文库到电脑桌面
安装后可以在桌面快捷访问

数学分析课后习题答案华东师范大学版VIP免费

数学分析课后习题答案华东师范大学版_第1页
1/19
数学分析课后习题答案华东师范大学版_第2页
2/19
数学分析课后习题答案华东师范大学版_第3页
3/19
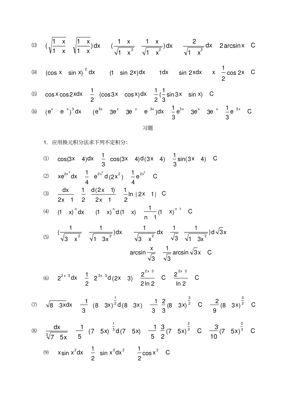
习题1.验证下列等式(1)Cxfdxxf)()((2)Cxfxdf)()(证明(1)因为)(xf是)(xf的一个原函数,所以Cxfdxxf)()(.(2)因为Cudu,所以Cxfxdf)()(.2.求一曲线)(xfy,使得在曲线上每一点),(yx处的切线斜率为x2,且通过点)5,2(.解由导数的几何意义,知xxf2)(,所以Cxxdxdxxfxf22)()(.于是知曲线为Cxy2,再由条件“曲线通过点)5,2(”知,当2x时,5y,所以有C225,解得1C,从而所求曲线为12xy3.验证xxysgn22是||x在),(上的一个原函数.证明当0x时,22xy,xy;当0x时,22xy,xy;当0x时,y的导数为02sgnlim0sgn)2(lim020xxxxxxx,所以||0000xxxxxxy4.据理说明为什么每一个含有第一类间断点的函数都没有原函数解由推论3的证明过程可知:在区间I上的导函数f,它在I上的每一点,要么是连续点,要么是第二类间断点,也就是说导函数不可能出现第一类间断点。因此每一个含有第一类间断点的函数都没有原函数。5.求下列不定积分⑴Cxxxxdxxdxxxdxdxdxxxx31423233233421)11(⑵Cxxxdxxxxdxxx||ln343)12()1(2332122⑶CgxCxgdxxggxdx22212122121⑷dxdxdxxxxxxxxx)9624()3)32(22()32(222Cxxx9ln96ln624ln4⑸Cxdxxdxxarcsin23112344322⑹Cxdxxdxxxdxxx)arctan1(31)111(31)1(311)1(322222⑺Cxxdxxxdxtan)1(sectan22⑻Cxxdxxdxxxdx)2sin21(21)2cos1(2122cos1sin2⑼Cxxdxxxdxxxxxdxxxxcossin)sin(cossincossincossincos2cos22⑽Cxxdxxxdxxxxxdxxxxtancot)cos1sin1(sincossincossincos2cos22222222⑾CCdtdtttttt90ln90)910ln()910()910(3102⑿Cxdxxdxxxx81587158⒀Cxdxxdxxxxxdxxxxxarcsin212)1111()1111(222⒁Cxxxdxdxdxxdxxx2cos212sin1)2sin1()sin(cos2⒂Cxxdxxxxdxx)sin3sin31(21)cos3(cos212coscos⒃Ceeeedxeeeedxeexxxxxxxxxx33333313331)33()(习题1.应用换元积分法求下列不定积分:⑴Cxxdxdxx)43sin(31)43()43cos(31)43cos(⑵Cexdedxxexxx222222241)2(41⑶Cxxxdxdx|12|ln2112)12(2112⑷Cxnxdxdxxnnn1)1(11)1()1()1(⑸Cxxxdxdxxdxxx3arcsin313arcsin3)3113131)31131(2222⑹CCxddxxxxx2ln22ln22)32(221222323232⑺CxCxxdxdxx232321)38(92)38(3231)38()38(3138⑻CxCxxdxxdx3232313)57(103)57(2351)57()57(5157⑼Cxdxxdxxx2222cos21sin21sin⑽Cxxxdxdx)42cot(21)42(sin)42(21)42(sin22⑾解法一:Cxxxdxdxxdx2tan2cos22cos2cos122解法二:xxdxxdxxdxxxdx222sincossincos1)cos1(cos1Cxxxxdxsin1cotsinsincot2⑿解法一:利用上一题的结果,有CxCxxxdxdx)24tan()2(21tan)2cos(1)2(sin1解法二:Cxxxxdxdxxdxxxdxcos1tancoscoscossin1)sin1(sin1222解法三:222)12(tan2cos)2cos2(sinsin1xxdxxxdxxdxCxxxd12tan2)12(tan2tan22⒀解法一:)2()2sec()2sec(cscxdxdxxxdxCxxCxx|cotcsc|ln|)2tan()2sec(|ln解法二:Cxxxxddxxxdxxxdx1cos1cosln211coscossinsinsin1csc22Cxx|cotcsc|ln解法三:dxxxxxxxdxcotcsc)cot(csccsccscCxxCxxxxd|cotcsc|lncotcsc)cot(csc解法四:dxxxxdxxxxdx2cos2sin22sin2cos2sin21csc2CxCxxdx|2tan|ln|2cot|ln2cot2cot1⒁Cxxdxdxxx22221)1(11211⒂Cxdxxdxxx2arctan41)(4121422224⒃Cxxxdxxdx|ln|lnlnlnln⒄Cxxdxdxxx25535354)1(1101)1()1(151)1(⒅CxxCxxdxxdxxx|22|ln281|22|ln221412)(1412444442483⒆CxxCxxdxxxxxdx|1|ln|1|ln||ln)111()1(⒇Cxdxxxxdx|sin|lnsincoscot(21)xdxxdxxxdxsin)sin1(coscoscos2245Cxxxxdxx5342sin51sin32sinsin)sinsin21((22)解法一:Cxxxxdxxdx|2cot2csc|ln2sin)2(cossin解法二:Cxxxdxxxdxxxdx|tan|lntantancossincoscossin2解法三:xxdxxxxxdxcossin)cos(sincossin22Cxxdxxxxx|cos|ln|sin|ln)sincoscossin((23)Ceedeedxeeedxxxxxxxxarctan1122(24)Cxxxxxxddxxxx|83|ln83)83(83322222(25)Cxxxdxxxxdxxxxdxxx2323232)1(2312|1|ln))1(3)1(211()1(3)1(2)1()1(2(26)22axdx解令taxtan,则CaxxCtttatdtaaxdx||ln|tansec|lnsecsec221222(27)Caxxaaxxdaaxdx21222212222322)(1)(1)(解法2令taxtan,则CaxaxCtatdtatatdtaaxdx222223322322sin1cos1secsec)((28)dxxx251解令txsin,则CxxxCttttdttdtdttttdxxx25223221253225525)1(51)1(32)1(cos51cos32coscos)cos1(sincoscossin1(29)dxxx31解令tx61,...

1、当您付费下载文档后,您只拥有了使用权限,并不意味着购买了版权,文档只能用于自身使用,不得用于其他商业用途(如 [转卖]进行直接盈利或[编辑后售卖]进行间接盈利)。
2、本站所有内容均由合作方或网友上传,本站不对文档的完整性、权威性及其观点立场正确性做任何保证或承诺!文档内容仅供研究参考,付费前请自行鉴别。
3、如文档内容存在违规,或者侵犯商业秘密、侵犯著作权等,请点击“违规举报”。

碎片内容

数学分析课后习题答案华东师范大学版

确认删除?
VIP
微信客服
  • 扫码咨询
会员Q群
  • 会员专属群点击这里加入QQ群
客服邮箱
回到顶部