电脑桌面
添加小米粒文库到电脑桌面
安装后可以在桌面快捷访问

河北省五校高三数学教学质量监测试卷 理-人教版高三全册数学试题VIP免费

河北省五校高三数学教学质量监测试卷 理-人教版高三全册数学试题_第1页
1/9
河北省五校高三数学教学质量监测试卷 理-人教版高三全册数学试题_第2页
2/9
河北省五校高三数学教学质量监测试卷 理-人教版高三全册数学试题_第3页
3/9
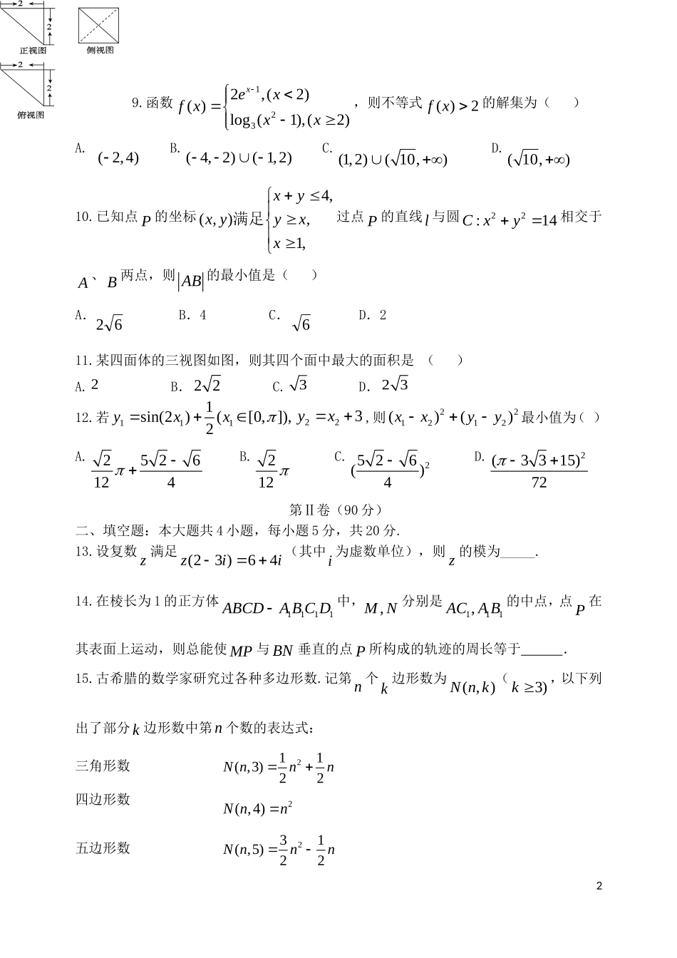
2016届高三教学质量监测数学试卷(理科)(满分:150分,测试时间:120分钟)第Ⅰ卷(60分)一、选择题:本大题共12小题,每小题5分,共60分.1.如图,已知R是实数集,集合12{|log(1)0},Axx23{|0}xBxx,则阴影部分表示的集合是()A.[0,1]B.[0,1)C.(0,1)D.(0,1]2.函数sin(2)23yx的图象按向量a平移得到sin2yx的图象,则a可以是()A.(,2)3B.(,2)3C.(,2)6D.(,2)63.已知命题p:(,0),23xxx;命题q:(0,),tansin2xxx,则下列命题为真命题的是()A.pqB.()pqC.()pqD.()pq4.现有16张不同的卡片,其中红色、黄色、蓝色、绿色卡片各4张.从中任取3张,要求这3张卡片不能是同一种颜色,且红色卡片至多1张.不同取法的种数为()A.232B.252C.472D.4845.向量,ab满足2,3,237abab,则a与b的夹角为()A.30°B.45°C.60°D.90°6.如图程序框图输出的结果是S=720,则判断框内应填的是()A.7iB.7iC.9iD.9i7.在二项式(12)nx的展开式中,偶数项的二项式系数之和为128,则展开式的中间项的系数为()A.-960B.960C.1120D.16808.已知等差数列{na}的前n项和为nS,且2510,55SS,则过点(,)nPna和2(2,)(*)nQnanN的直线的斜率是()A.4B.3C.2D.119.函数,()()log(),()xexfxxx,则不等式()2fx的解集为()A.(2,4)B.(4,2)(1,2)C.(1,2)(10,)D.(10,)10.已知点P的坐标,1,,4),(xxyyxyx满足过点P的直线l与圆22:14Cxy相交于A、B两点,则AB的最小值是()A.62B.4C.6D.211.某四面体的三视图如图,则其四个面中最大的面积是()A.2B.22C.3D.2312.若1111sin(2)([0,]),2yxx223yx,则221212()()xxyy最小值为()A.2526124B.212C.2526()4D.2(3315)72第Ⅱ卷(90分)二、填空题:本大题共4小题,每小题5分,共20分.13.设复数z满足(23)64zii(其中i为虚数单位),则z的模为_____.14.在棱长为1的正方体1111ABCDABCD中,,MN分别是111,ACAB的中点,点P在其表面上运动,则总能使MP与BN垂直的点P所构成的轨迹的周长等于.15.古希腊的数学家研究过各种多边形数.记第n个k边形数为(,)Nnk(3)k,以下列出了部分k边形数中第n个数的表达式:三角形数211(,3)22Nnnn四边形数2(,4)Nnn五边形数231(,5)22Nnnn2六边形数2(,6)2Nnnn……可以推测(,)Nnk的表达式,由此计算(20,15)N的值为________.16.设椭圆2222:1(0)xyEabab的右顶点为A、右焦点为,FB为椭圆E上在第二象限内的点,直线BO交E于点C,若直线BF平分线段AC,则E的离心率是.三、解答题:17.(本小题满分12分)已知锐角ABC中内角A、B、C的对边分别为a、b、c,226cosababC,且2sin2sinsinCAB.(1)求角C的值;(2)设函数()sin()cos(0)6fxxx,()fx且图象上相邻两最高点间的距离为,求()fA的取值范围.18.(本小题满分12分)如图,在四棱锥PABCD中,底面ABCD是梯形,PA底面ABCD,其中,//,BAADADBCAC与BD交于点,OM是AB边上的点,且13BMBA,已知4,3,2.PAADABBC(1)求平面PAD与平面PMC所成锐二面角的正切值;(2)若N是PM上一点,且//ON平面PCD,求PMPN的值.19.(本小题满分12分)为了调查某高中学生每天的睡眠时间,现随机对20名男生和20名女生进行问卷调查,结果如下:睡眠时间(小时)[4,5)[5,6)[6,7)[7,8)[8,9]女生人数24842男生人数15653(1)现把睡眠时间不足5小时的定义为“严重睡眠不足”,从睡眠时间不足6小时的女生中随机抽取3人,求此3人中恰有一人为“严重睡眠不足”的概率;(2)完成下面2×2列联表,并回答是否有90%的把握认为“睡眠时间与性别有关”?睡眠时间少于7小时睡眠时间不少于7小时合计男生女生合计32()0.150.100.050.0250.0100.0050.0012.0722.7063.8415.0246.6357.87910.828PKkk≥(22()()()()()nadbcKabcdacbd,其中nabcd)20.(本小题满分12分)已知椭圆2222:1xyEab的右焦...

1、当您付费下载文档后,您只拥有了使用权限,并不意味着购买了版权,文档只能用于自身使用,不得用于其他商业用途(如 [转卖]进行直接盈利或[编辑后售卖]进行间接盈利)。
2、本站所有内容均由合作方或网友上传,本站不对文档的完整性、权威性及其观点立场正确性做任何保证或承诺!文档内容仅供研究参考,付费前请自行鉴别。
3、如文档内容存在违规,或者侵犯商业秘密、侵犯著作权等,请点击“违规举报”。

碎片内容

河北省五校高三数学教学质量监测试卷 理-人教版高三全册数学试题

您可能关注的文档

远洋启航书店+ 关注
实名认证
内容提供者

从事历史教学,热爱教育,高度负责。

确认删除?
VIP
微信客服
  • 扫码咨询
会员Q群
  • 会员专属群点击这里加入QQ群
客服邮箱
回到顶部