电脑桌面
添加小米粒文库到电脑桌面
安装后可以在桌面快捷访问

江苏省海门中学高一数学单元测试集合 苏教版VIP免费

江苏省海门中学高一数学单元测试集合  苏教版_第1页
1/3
江苏省海门中学高一数学单元测试集合  苏教版_第2页
2/3
江苏省海门中学高一数学单元测试集合  苏教版_第3页
3/3
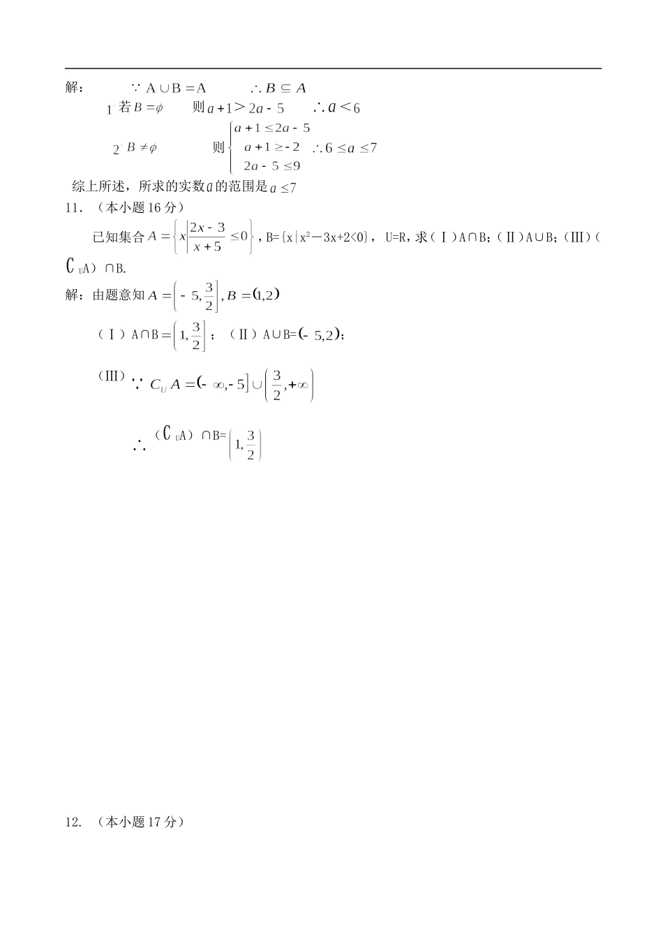
江苏省海门中学高一数学单元测试集合班级:姓名:学号:一、填空题:(每小题5分)1.下面关于集合的表示,其中正确命题的序号是_______③____④_______.①;②;③=;④;2.设M={1,2,m2-3m-1},N={-1,3},M∩N={3},则m=3.某中学高一(1)班有45人,其中参加数学兴趣小组有28人,参加化学兴趣小组有21人,若数学化学都参加的有x人,则x的取值范围是.4.已知集合中只有一个元素,则由实数k组成的集合B=.5.已知全集U={1,2,3,4,5,6,7,8,9},,则,.6.已知集合A={x|x2-px-q=0},B={x|x2+qx-p=0},且AB={1},则AB=.7.给定集合A、B,定义一种新运算:A*B=,又已知A={0,1,2},B={1,2,3},用列举法写出.8.不等式<6的解集为(-1,2),则实数a=,b=.二、解答题:9.(本小题12分)设求集合A的子集个数.解:方程有两实数根为若即,集合集合有个子集若即,集合集合有个子集综上所述当时,集合有个子集当时,集合有个子集10.(本小题15分)已知A={x|-2x9},B={x|a+1x2a-5},若AB=A,求实数a的取值范围.解:若则><则综上所述,所求的实数的范围是11.(本小题16分)已知集合,B={x|x2-3x+2<0},U=R,求(Ⅰ)A∩B;(Ⅱ)A∪B;(Ⅲ)(UA)∩B.解:由题意知(Ⅰ)A∩B;(Ⅱ)A∪B=;(Ⅲ)(UA)∩B=12.(本小题17分)我们知道,如果集合,那么S的子集A的补集为.类似地,对于集合A,B,我们把集合叫做集合A与集合B的差集,记作A-B.例如,A={1,2,3,4,5},B={4,5,6,7,8}则有A-B={1,2,3},B-A={6,7,8}.据此,试回答下列问题:(1)S是高一(1)班全体同学的集合,A是高一(1)全体女同学的集合,求S-A及CSA;解:(2)在下列各图中用阴影表示集合A-B;(3)如果A-B=,则集合A与B之间具有的关系是.UABUABUAB

1、当您付费下载文档后,您只拥有了使用权限,并不意味着购买了版权,文档只能用于自身使用,不得用于其他商业用途(如 [转卖]进行直接盈利或[编辑后售卖]进行间接盈利)。
2、本站所有内容均由合作方或网友上传,本站不对文档的完整性、权威性及其观点立场正确性做任何保证或承诺!文档内容仅供研究参考,付费前请自行鉴别。
3、如文档内容存在违规,或者侵犯商业秘密、侵犯著作权等,请点击“违规举报”。

碎片内容

江苏省海门中学高一数学单元测试集合 苏教版

您可能关注的文档

远洋启航书店+ 关注
实名认证
内容提供者

从事历史教学,热爱教育,高度负责。

相关文档

确认删除?
VIP
微信客服
  • 扫码咨询
会员Q群
  • 会员专属群点击这里加入QQ群
客服邮箱
回到顶部