电脑桌面
添加小米粒文库到电脑桌面
安装后可以在桌面快捷访问

河北省衡水中学高中数学 第一章 集合与函数概念综合训练(1)强化作业 新人教A版必修1VIP免费

河北省衡水中学高中数学 第一章 集合与函数概念综合训练(1)强化作业 新人教A版必修1_第1页
1/5
河北省衡水中学高中数学 第一章 集合与函数概念综合训练(1)强化作业 新人教A版必修1_第2页
2/5
河北省衡水中学高中数学 第一章 集合与函数概念综合训练(1)强化作业 新人教A版必修1_第3页
3/5
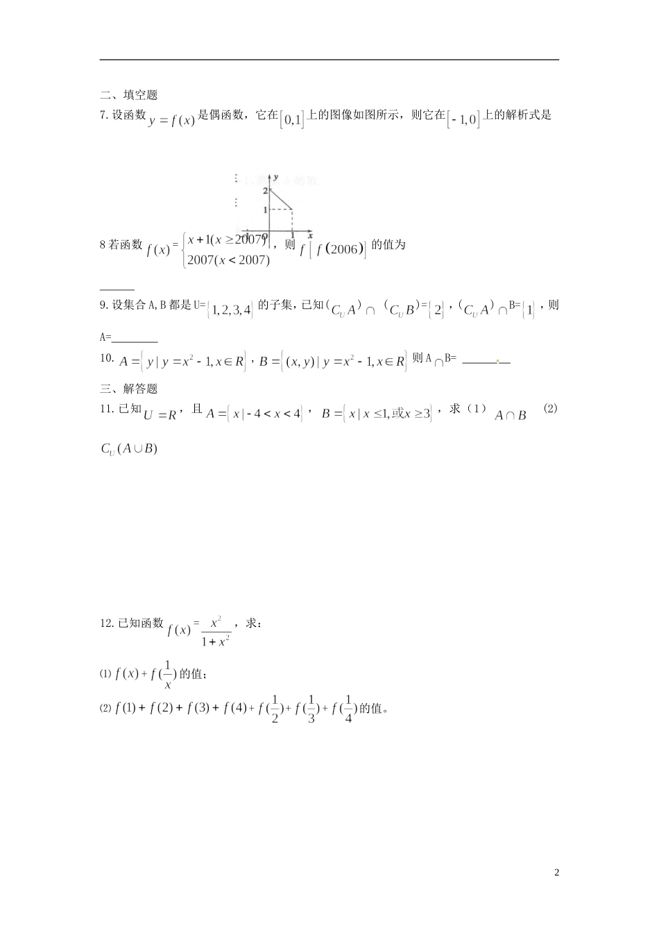
河北省衡水中学高一数学必修一强化作业:第一章集合与函数概念综合训练(1)一、选择题1.已知全集,集合=,=,则()AB()C()D()()2.设是定义在R上的函数,则下列叙述正确的是()A是奇函数B是奇函数C是偶函数D是偶函数3.已知,那么集合中所含元素的个数是()A0B1C0或1D1或24.函数,的值域为()ABCD5.已知函数满足且则等于()ABCD6.已知=,则的值为()A4B6C8D111二、填空题7.设函数是偶函数,它在上的图像如图所示,则它在上的解析式是8若函数=,则的值为9.设集合A,B都是U=的子集,已知()()=,()B=,则A=10.,则AB=三、解答题11.已知,且,,求(1)(2)12.已知函数=,求:⑴+的值;⑵+++的值。213.设,当时,对应值的集合为,(1)求的值;(2)当为何值时,取最小值,并求此最小值。14.已知集合,,且,求实数的取值范围。15.(实验)定义在实数集上的函数f(x),对任意xyR,,有fxyfxyfxfy()()()()2且f()00。(1)求证;(2)求证:是偶函数3综合训练(1)答案1.C2.D3.C4.D5.解:且,答案为A。6.解:=答案为B7解:是偶函数,过两点,设,f(x)=x+2。8.解:。答案为20089.10.三:解答题:11.=;4因为==R,所以=。12.解(1)=所以的值是1.(2)由(1)知,=1,=1,=1,又因为,所以f(1)+f(2)+f(3)+f(4)+的值是。13.(1)(2),当的最小是。14.解:,或,当,当时,,15(1)令。(2)令,,是偶函数。5

1、当您付费下载文档后,您只拥有了使用权限,并不意味着购买了版权,文档只能用于自身使用,不得用于其他商业用途(如 [转卖]进行直接盈利或[编辑后售卖]进行间接盈利)。
2、本站所有内容均由合作方或网友上传,本站不对文档的完整性、权威性及其观点立场正确性做任何保证或承诺!文档内容仅供研究参考,付费前请自行鉴别。
3、如文档内容存在违规,或者侵犯商业秘密、侵犯著作权等,请点击“违规举报”。

碎片内容

河北省衡水中学高中数学 第一章 集合与函数概念综合训练(1)强化作业 新人教A版必修1

您可能关注的文档

远洋启航书店+ 关注
实名认证
内容提供者

从事历史教学,热爱教育,高度负责。

确认删除?
VIP
微信客服
  • 扫码咨询
会员Q群
  • 会员专属群点击这里加入QQ群
客服邮箱
回到顶部