电脑桌面
添加小米粒文库到电脑桌面
安装后可以在桌面快捷访问

河北省石家庄市栾城县高三数学下学期期中试题 文-人教版高三全册数学试题VIP免费

河北省石家庄市栾城县高三数学下学期期中试题 文-人教版高三全册数学试题_第1页
1/15
河北省石家庄市栾城县高三数学下学期期中试题 文-人教版高三全册数学试题_第2页
2/15
河北省石家庄市栾城县高三数学下学期期中试题 文-人教版高三全册数学试题_第3页
3/15
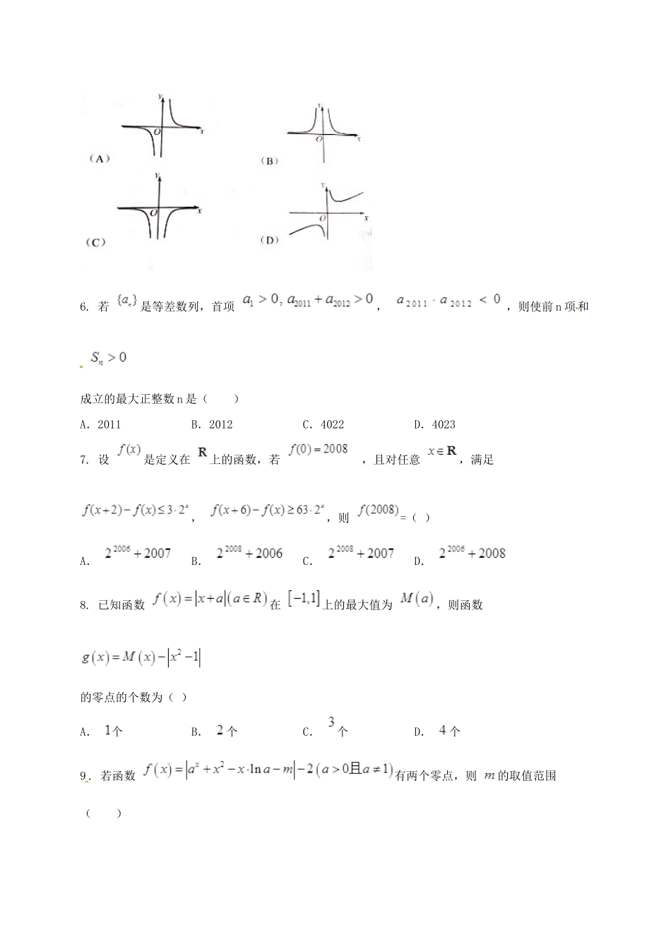
河北省石家庄市栾城县2017届高三数学下学期期中试题文分卷I一、选择题1.已知直线与函数的图象恰有四个公共点,,,其中,则有()A.B.C.D.2.已知集合,,,则为()A.B.C.D.3.实数满足条件,则的最小值为()A.16B.4C.1D.4.定义:,已知数列满足:,若对任意正整数,都有成立,则的值为()A.B.C.D.5.函数的一段大致图象是()6.若是等差数列,首项,,则使前n项和成立的最大正整数n是()A.2011B.2012C.4022D.40237.设是定义在上的函数,若,且对任意,满足,,则=()A.B.C.D.8.已知函数在上的最大值为,则函数的零点的个数为()A.个B.个C.个D.个9.若函数有两个零点,则的取值范围()A.B.C.D.分卷II二、填空题10.若数列与满足,且,设数列的前项和为,则=.三、解答题11.已知,函数.(1)如果时,恒成立,求m的取值范围;(2)当时,求证:.12.已知函数(Ⅰ)若在(0,)单调递减,求a的最小值(Ⅱ)若有两个极值点,求a的取值范围.13.已知递增等比数列的前n项和为,,且。(1)求数列的通项公式;(2)若数列满足,求的前项和.14.已知递增等比数列的前n项和为,,且.(1)求数列的通项公式;(2)若数列满足,且的前项和.求证:15.已知函数(1)若在区间单调递增,求实数的取值范围;(2)当时,求函数在区间上的最小值.16.设不等式的解集为M,.(1)证明:;(2)比较与的大小,并说明理由.答案数学文一、选择题1、2、3、4、5、6、7、8、9、二、解答题10、11、12、13、14、15、三、填空题16、

1、当您付费下载文档后,您只拥有了使用权限,并不意味着购买了版权,文档只能用于自身使用,不得用于其他商业用途(如 [转卖]进行直接盈利或[编辑后售卖]进行间接盈利)。
2、本站所有内容均由合作方或网友上传,本站不对文档的完整性、权威性及其观点立场正确性做任何保证或承诺!文档内容仅供研究参考,付费前请自行鉴别。
3、如文档内容存在违规,或者侵犯商业秘密、侵犯著作权等,请点击“违规举报”。

碎片内容

河北省石家庄市栾城县高三数学下学期期中试题 文-人教版高三全册数学试题

您可能关注的文档

海博书城+ 关注
实名认证
内容提供者

从事历史教学,热爱教育,高度负责。

相关文档

确认删除?
VIP
微信客服
  • 扫码咨询
会员Q群
  • 会员专属群点击这里加入QQ群
客服邮箱
回到顶部