电脑桌面
添加小米粒文库到电脑桌面
安装后可以在桌面快捷访问

高二数学会考题函数学业水平试题 新人教版VIP免费

高二数学会考题函数学业水平试题 新人教版_第1页
1/5
高二数学会考题函数学业水平试题 新人教版_第2页
2/5
高二数学会考题函数学业水平试题 新人教版_第3页
3/5
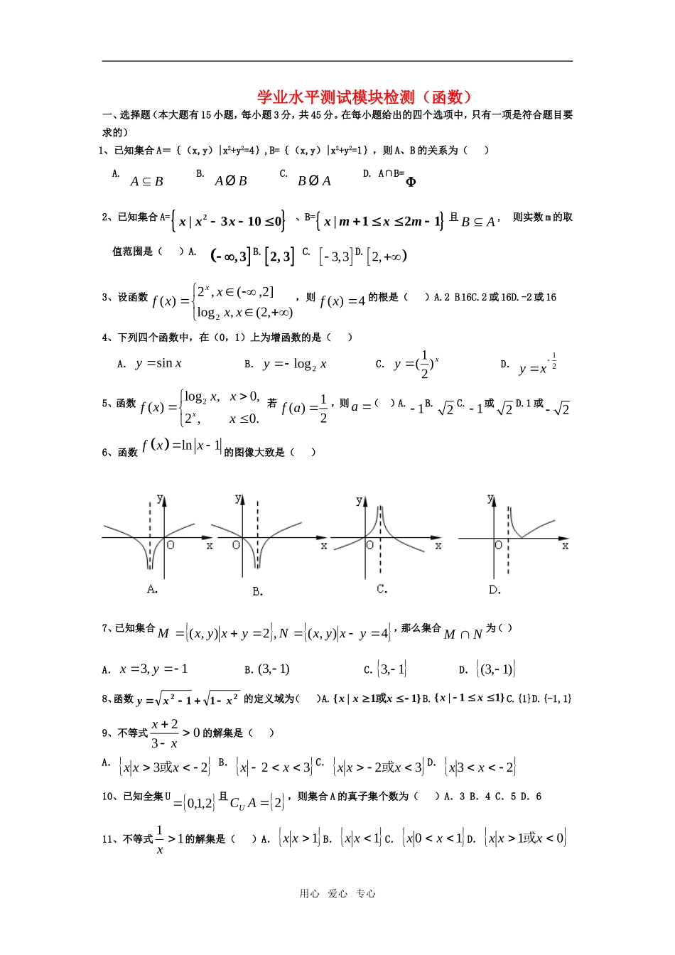
学业水平测试模块检测(函数)一、选择题(本大题有15小题,每小题3分,共45分。在每小题给出的四个选项中,只有一项是符合题目要求的)1、已知集合A={(x,y)|x2+y2=4},B={(x,y)|x2+y2=1},则A、B的关系为()A.ABB.ABØC.BAØD.A∩B=2、已知集合A=2|3100xxx、B=|121xmxm且BA,则实数m的取值范围是()A.,3B.2,3C.3,3D.2,3、设函数),2(,log]2,(,2)(2xxxxfx,则4)(xf的根是()A.2B16C.2或16D.-2或164、下列四个函数中,在(0,1)上为增函数的是()A.xysinB.xy2logC.xy)21(D.12yx5、函数2log,0,()2,0.xxxfxx若1()2fa,则a()A.1B.2C.1或2D.1或26、函数ln1fxx的图像大致是()7、已知集合4),(,2),(yxyxNyxyxM,那么集合NM为()A.1,3yxB.)1,3(C.1,3D.)1,3(8、函数2211xxy的定义域为()A.}11|{xxx或B.}11|{xxC.{1}D.{-1,1}9、不等式032xx的解集是()A.23xxx或B.32xxC.32xxx或D.23xx10、已知全集U2,1,0且2ACU,则集合A的真子集个数为()A.3B.4C.5D.611、不等式11x的解集是()A.1xxB.1xxC.10xxD.01xxx或用心爱心专心12、设集合}1/{},1/{2xyyQxyyP,则QP()A、{1,2}B、{(0,1),(1,2)}C、{0,1}D、}1/{yy13、若0<a<1,且函数|log|)(xxfa,则下列各式中成立的是()A.)41()31()2(fffB.)31()2()41(fffC.)41()2()31(fffD.)2()31()41(fff14、已知函数),0()0,()(,4)(2是定义在xgxxf上的奇函数,当x>0时,)()(,log)(2xgxfyxxg则函数的大致图象为()15、f(x)是定义在R上的偶函数,满足)(1)2(xfxf,当2≤x≤3时,f(x)=x,则f(5.5)等于()A、5.5B、—5.5C、—2.5D、2.5二、填空题(本大题有5小题,每小题3分,共15分。把答案填在题中的横线上)16、已知函数219log)3(2xxf,则f(1)值为____________17、函数)1(log2xy的定义域是18、若2232a,,log,3xbxcx则当x>1时,a、b、c的大小关系是19、若f(x)是周期为4的奇函数,且f(-5)=1,则f(1)=____________20、设奇函数f(x)的定义域为[-5,5].若当x∈[0,5]时,f(x)的图象如右图,则f(x)<0的解集是.一、选择题答题卡:班级:_______姓名:___________考号:_______用心爱心专心题号123456789101112131415答案y=f(x)52xOy二、填空题答题卡:16、_________17、_________18、__________19、__________20、__________三、解答题(本大题有5小题,共40分。解答应写出文字说明,证明过程或演算步骤)21、已知函数3kx4kx7kx)x(f2的定义域是R,求实数k的取值范围。22、已知函数)10)(1(log)1(log)(aaxxxfaa且,(1)讨论)(xf的奇偶性;(2)讨论)(xf的单调性.23、用长为L的铁丝弯成下部为矩形上部为半圆的框架,如图,若矩形底边长为2x,求此框架围成的面积y与x的函数关系式,并求定义域。24、经市场调查,某种商品在过去50天的销售和价格均为销售时间t(天)的函数,且日销售量近似地满足f(t)=–2t+200(1≤t≤50,t∈N),前30天价格为g(t)=t+30(1≤t≤30,t∈N),后20天价格为g(t)=45(31≤t≤50,t∈N).(1)写出该种商品的日销售收入S与时间t的函数关系;(2)求日销售收入S的最大值.25、已知函数f(x)=mx+x1,且f(1)=2.(1)求m;(2)判断f(x)的奇偶性;(3)函数f(x)在(1,+∞)上是增函数还是减函数?并证明.学业水平测试模块检测(函数)答案一、选择题1.D2.A3.C4.A5.C6.B7.D8.D9.B10.A11.C12.D13.D14.B15.D二、填空题16.2117.),1(18.cab19.-120.2,02,5三、解答题(本大题有5小题,满分40分。解答应写出文字说明,证明过程或演算步骤)21、解:要使函数有意义,则必须3kx4kx2≠0恒成立,因为)x(f的定义域为R,即03kx4kx2无实数.①当k≠0时,0k34...

1、当您付费下载文档后,您只拥有了使用权限,并不意味着购买了版权,文档只能用于自身使用,不得用于其他商业用途(如 [转卖]进行直接盈利或[编辑后售卖]进行间接盈利)。
2、本站所有内容均由合作方或网友上传,本站不对文档的完整性、权威性及其观点立场正确性做任何保证或承诺!文档内容仅供研究参考,付费前请自行鉴别。
3、如文档内容存在违规,或者侵犯商业秘密、侵犯著作权等,请点击“违规举报”。

碎片内容

高二数学会考题函数学业水平试题 新人教版

您可能关注的文档

星河书苑+ 关注
实名认证
内容提供者

从事历史教学,热爱教育,高度负责。

相关文档

确认删除?
VIP
微信客服
  • 扫码咨询
会员Q群
  • 会员专属群点击这里加入QQ群
客服邮箱
回到顶部