电脑桌面
添加小米粒文库到电脑桌面
安装后可以在桌面快捷访问

高中数学 第一章 导数及其应用 1.6 微积分基本定理练习(含解析)新人教A版选修2-2-新人教A版高二选修2-2数学试题VIP免费

高中数学 第一章 导数及其应用 1.6 微积分基本定理练习(含解析)新人教A版选修2-2-新人教A版高二选修2-2数学试题_第1页
1/4
高中数学 第一章 导数及其应用 1.6 微积分基本定理练习(含解析)新人教A版选修2-2-新人教A版高二选修2-2数学试题_第2页
2/4
高中数学 第一章 导数及其应用 1.6 微积分基本定理练习(含解析)新人教A版选修2-2-新人教A版高二选修2-2数学试题_第3页
3/4
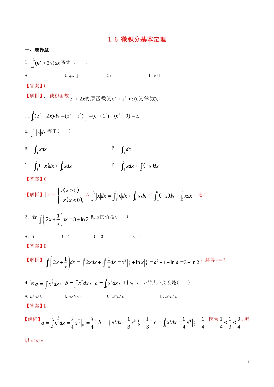
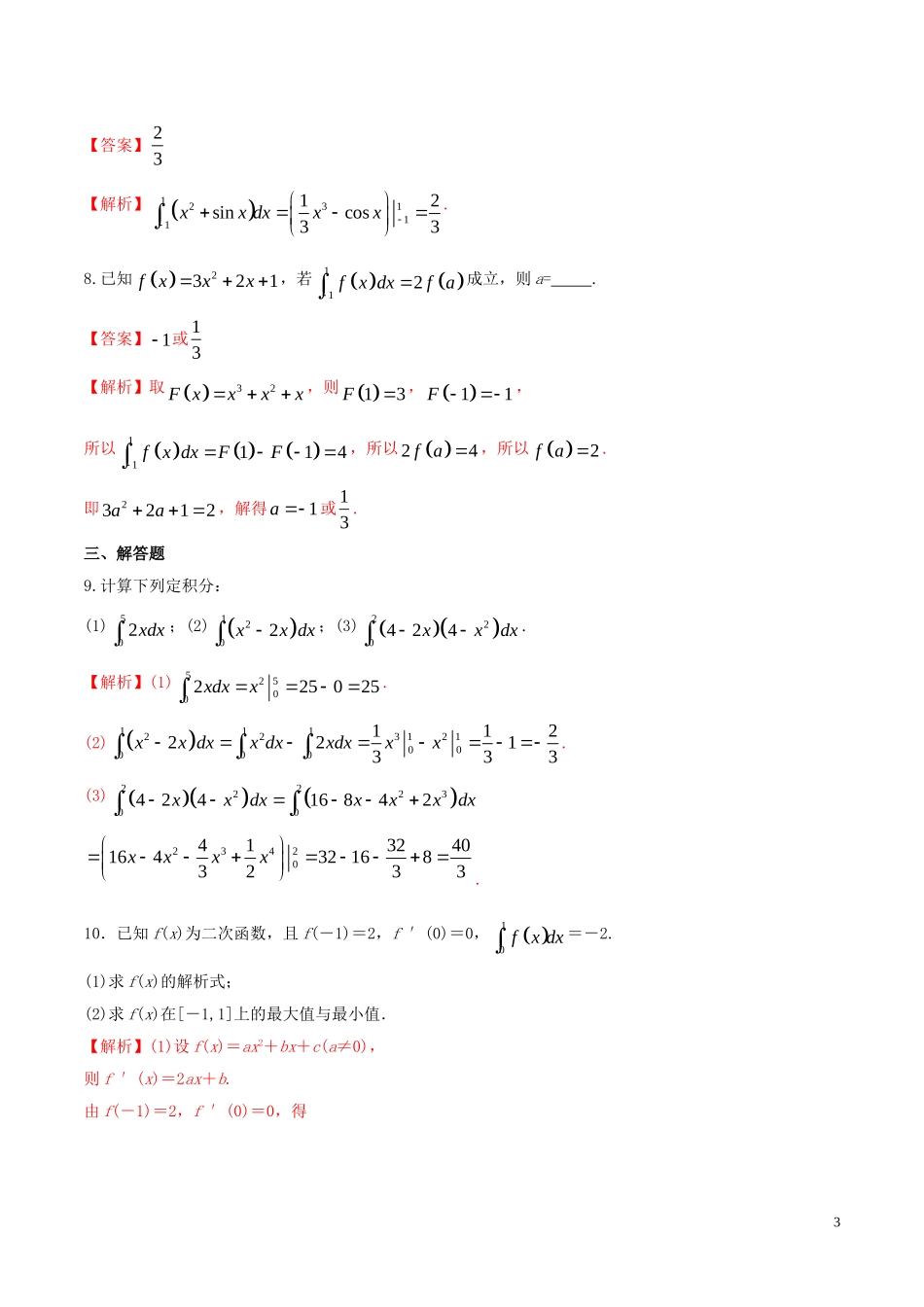
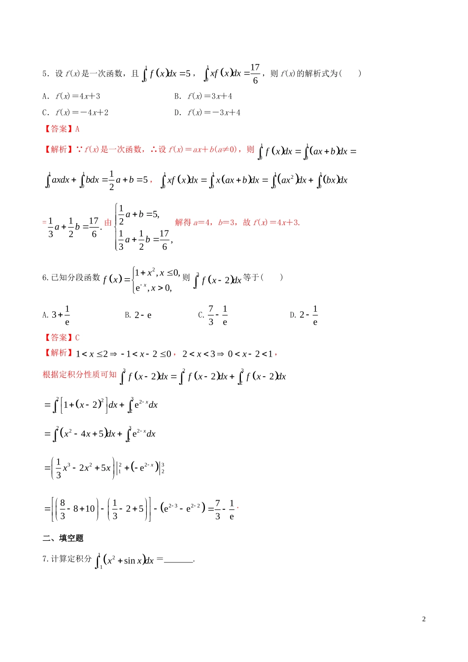
1.6微积分基本定理一、选择题1.10(2)exxdx等于()A.1B.e1C.eD.e+1【答案】C【解析】被积函数22()e,exxxxcc的原函数为为常数11212000(2)()e(1ee0.e)()exxxdxx|2.11xdx等于()A.11xdxB.11dxC.0110xdxxdxD.0110xdxxdx【答案】C【解析】|x|=0,0,xxxx∴101110xdxxdxxdx=0110xdxxdx,选C.3.若1123ln2,axdxx则a的值是()A.6B.4C.3D.2【答案】D【解析】22111111122ln1ln3ln2aaaaaxdxxdxdxxxaaxx,解得a=2.4.设1130axdx,120bxdx,130cxdx,则a,b,c的大小关系是()A.c>a>bB.a>b>cC.a=b>cD.a>c>b【答案】B【解析】141133003344axdxx,1231001133bxdxx,1341001144cxdxx,因为113434,所以a>b>c.15.设f(x)是一次函数,且105fxdx,10176xfxdx,则f(x)的解析式为()A.f(x)=4x+3B.f(x)=3x+4C.f(x)=-4x+2D.f(x)=-3x+4【答案】A【解析】∵f(x)是一次函数,∴设f(x)=ax+b(a≠0),则1100fxdxaxbdx1100152axdxbdxab,1100xfxdxxaxbdx11200axdxbxdx=1117.326ab由15,21117,326abab解得a=4,b=3,故f(x)=4x+3.6.已知分段函数21,0,e,0,xxxfxx则312fxdx等于()A.13eB.2eC.713eD.12e【答案】C【解析】12120xx,23021xx,根据定积分性质可知323112222fxdxfxdxfxdx23221212exxdxdx32221245exdxxxdx3222312125e3xxxx23228181025ee33713e.二、填空题7.计算定积分121sinxxdx=.2【答案】23【解析】12311112sincos33xxdxxx.8.已知2321fxxx,若112fxdxfa成立,则a=.【答案】1或13【解析】取32Fxxxx,则13F,11F,所以11114fxFdxF,所以24fa,所以2fa.即23212aa,解得1a或13.三、解答题9.计算下列定积分:(1)502xdx;(2)1202xxdx;(3)220424xxdx.【解析】(1)55020250252xdxx.(2)11122312100000112221333xxdxxdxxdxxx.(3)222020316842424xxdxdxxxx22034411643232403216833xxxx.10.已知f(x)为二次函数,且f(-1)=2,f′(0)=0,10fxdx=-2.(1)求f(x)的解析式;(2)求f(x)在[-1,1]上的最大值与最小值.【解析】(1)设f(x)=ax2+bx+c(a≠0),则f′(x)=2ax+b.由f(-1)=2,f′(0)=0,得32,0,abcb即2,0,cab∴f(x)=ax2+(2-a).又10fxdx=1202axadx=[13ax3+(2-a)x]10=2-23a=-2,∴a=6,从而f(x)=6x2-4.(2)∵f(x)=6x2-4,x∈[-1,1].∴当x=0时,f(x)min=-4;当x=±1时,f(x)max=2.4

1、当您付费下载文档后,您只拥有了使用权限,并不意味着购买了版权,文档只能用于自身使用,不得用于其他商业用途(如 [转卖]进行直接盈利或[编辑后售卖]进行间接盈利)。
2、本站所有内容均由合作方或网友上传,本站不对文档的完整性、权威性及其观点立场正确性做任何保证或承诺!文档内容仅供研究参考,付费前请自行鉴别。
3、如文档内容存在违规,或者侵犯商业秘密、侵犯著作权等,请点击“违规举报”。

碎片内容

高中数学 第一章 导数及其应用 1.6 微积分基本定理练习(含解析)新人教A版选修2-2-新人教A版高二选修2-2数学试题

您可能关注的文档

确认删除?
VIP
微信客服
  • 扫码咨询
会员Q群
  • 会员专属群点击这里加入QQ群
客服邮箱
回到顶部