电脑桌面
添加小米粒文库到电脑桌面
安装后可以在桌面快捷访问

高考数学 考前最后一轮基础知识巩固之第三章 第4课两角和与差及倍角公式(二)VIP免费

高考数学 考前最后一轮基础知识巩固之第三章 第4课两角和与差及倍角公式(二)_第1页
1/6
高考数学 考前最后一轮基础知识巩固之第三章 第4课两角和与差及倍角公式(二)_第2页
2/6
高考数学 考前最后一轮基础知识巩固之第三章 第4课两角和与差及倍角公式(二)_第3页
3/6
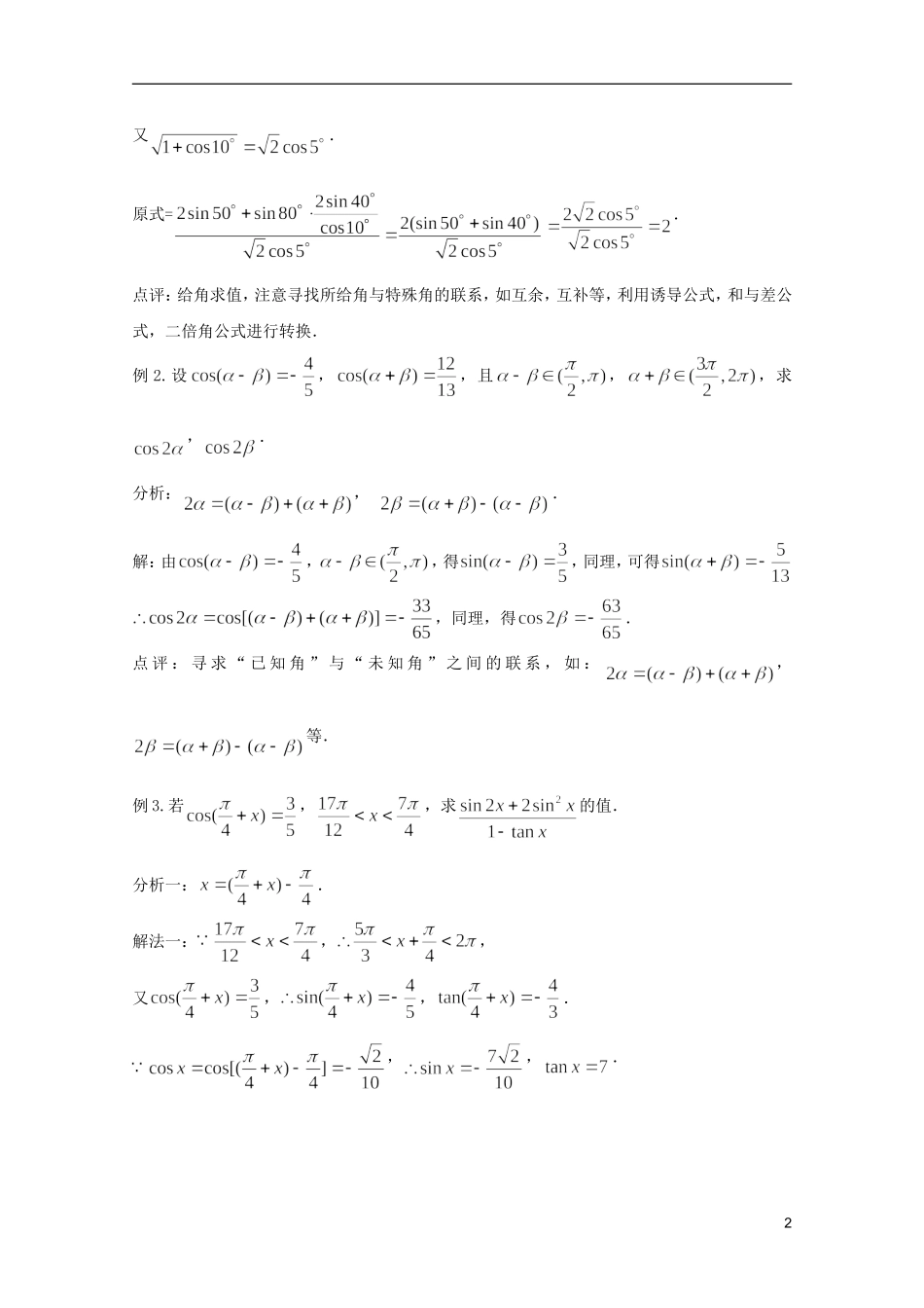
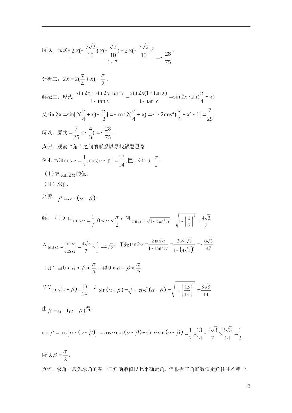
第4课两角和与差及倍角公式(二)【考点导读】1.能熟练运用两角和与差公式,二倍角公式求三角函数值;2.三角函数求值类型:“给角求值”,“给值求值”,“给值求角”.【基础练习】1.写出下列各式的值:(1)_________;(2)_________;(3)_________;(4)____1_____.2.已知则=_________.3.求值:(1)_______;(2)_________.4.求值:____1____.5.已知,则________.6.若,则_________.【范例解析】例1.求值:(1);(2).分析:切化弦,通分.解:(1)原式==.(2),1-又.原式=.点评:给角求值,注意寻找所给角与特殊角的联系,如互余,互补等,利用诱导公式,和与差公式,二倍角公式进行转换.例2.设,,且,,求,.分析:,.解:由,,得,同理,可得,同理,得.点评:寻求“已知角”与“未知角”之间的联系,如:,等.例3.若,,求的值.分析一:.解法一:,,又,,.,,.2所以,原式=.分析二:.解法二:原式=又,所以,原式.点评:观察“角”之间的联系以寻找解题思路.例4.已知<<<.(Ⅰ)求的值;(Ⅱ)求.分析:.解:(Ⅰ)由,得∴,于是(Ⅱ)由,得又∵,∴由得:所以.点评:求角一般先求角的某一三角函数值以此来确定角,但根据三角函数值定角往往不唯一,3要注意利用三角函数值来缩小角的范围.【反馈演练】1.设,若,则=__________.2.已知tan=2,则tanα的值为_______,tan的值为___________.3.若,则=___________.4.若,则.5.求值:_________.6.已知,sin()=-sin则=__________.7.设为第四象限的角,若,则______.8.若,,,,则________.9.已知,,则_____________.10.已知.求的值解:又从而,411.已知.(Ⅰ)求的值;(Ⅱ)求的值.解:(Ⅰ)由得,即,又,所以为所求.(Ⅱ)====.12.已知在△ABC中,sinA(sinB+cosB)-sinC=0,sinB+cos2C=0,求角A,B,C的大小.解法一:由得所以即因为所以,从而由知从而.由即由此得所以解法二:由由,,所以即由得所以5即因为,所以由从而,知B+2C=不合要求.再由,得所以6

1、当您付费下载文档后,您只拥有了使用权限,并不意味着购买了版权,文档只能用于自身使用,不得用于其他商业用途(如 [转卖]进行直接盈利或[编辑后售卖]进行间接盈利)。
2、本站所有内容均由合作方或网友上传,本站不对文档的完整性、权威性及其观点立场正确性做任何保证或承诺!文档内容仅供研究参考,付费前请自行鉴别。
3、如文档内容存在违规,或者侵犯商业秘密、侵犯著作权等,请点击“违规举报”。

碎片内容

高考数学 考前最后一轮基础知识巩固之第三章 第4课两角和与差及倍角公式(二)

您可能关注的文档

海博书城+ 关注
实名认证
内容提供者

从事历史教学,热爱教育,高度负责。

确认删除?
VIP
微信客服
  • 扫码咨询
会员Q群
  • 会员专属群点击这里加入QQ群
客服邮箱
回到顶部