电脑桌面
添加小米粒文库到电脑桌面
安装后可以在桌面快捷访问

高中数学专练:空间向量VIP免费

高中数学专练:空间向量_第1页
1/3
高中数学专练:空间向量_第2页
2/3
高中数学专练:空间向量_第3页
3/3
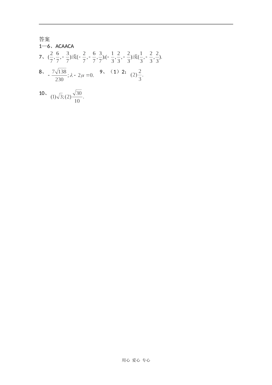
同步练习空间向量1.已知,则向量与的夹角是()2.已知,则的最小值是()3.若向量夹角的余弦值为,则=()14.已知点,则点关于轴的对称点的坐标为()5.已知四面体中,两两互相垂直,则下列结论中,不一定成立的是()6.若,且与的夹角为钝角,则的取值范围是()7.设,则与平行的单位向量的坐标为,同时垂直于的单位向量.8.设向量,计算及与的夹角,并确定当满足什么关系时,使与轴垂直.用心爱心专心9.矩形中,已知面积,若边上存在唯一点,使得,(1)求的值;(2)是上的一点,在平面上的射影恰好是的重心,求到平面的距离。10.直三棱柱,,分别是的中点,(1)求的长;(2)求的值;(3)求证:。用心爱心专心答案1—6、ACAACA7、8、9、(1)2;10、用心爱心专心

1、当您付费下载文档后,您只拥有了使用权限,并不意味着购买了版权,文档只能用于自身使用,不得用于其他商业用途(如 [转卖]进行直接盈利或[编辑后售卖]进行间接盈利)。
2、本站所有内容均由合作方或网友上传,本站不对文档的完整性、权威性及其观点立场正确性做任何保证或承诺!文档内容仅供研究参考,付费前请自行鉴别。
3、如文档内容存在违规,或者侵犯商业秘密、侵犯著作权等,请点击“违规举报”。

碎片内容

高中数学专练:空间向量

您可能关注的文档

海博书城+ 关注
实名认证
内容提供者

从事历史教学,热爱教育,高度负责。

确认删除?
VIP
微信客服
  • 扫码咨询
会员Q群
  • 会员专属群点击这里加入QQ群
客服邮箱
回到顶部