电脑桌面
添加小米粒文库到电脑桌面
安装后可以在桌面快捷访问

山西省朔州市高一数学下学期第一次阶段性测试试题-人教版高一全册数学试题VIP免费

山西省朔州市高一数学下学期第一次阶段性测试试题-人教版高一全册数学试题_第1页
1/10
山西省朔州市高一数学下学期第一次阶段性测试试题-人教版高一全册数学试题_第2页
2/10
山西省朔州市高一数学下学期第一次阶段性测试试题-人教版高一全册数学试题_第3页
3/10
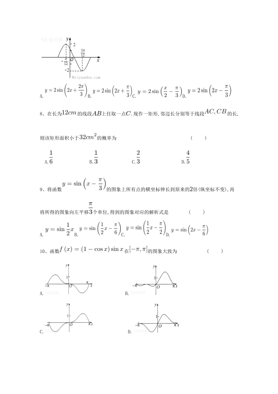
山西省朔州市2016-2017学年高一数学下学期第一次阶段性测试试题一、选择题(每小题5分,共60分)1、已知全集集合,集合,则()A.B.C.D.2、()A.B.C.D.3、把表示成的形式,使最小的角的值是()A.B.C.D.4、角的终边经过点,则的可能取值为()A.10°B.80°C.-10°D.-80°5、某校做了一次关于“感恩父母”的问卷调查,从8~10岁,11~12岁,13~14岁,15~16岁四个年龄段回收的问卷份数依次为:120份,180份,240份,份.因调査需要,从回收的问卷中按年龄段分层抽取容量为300的样本,其中在11~12岁学生问卷中抽取60份,则在15-16岁学生中抽取的问卷份数为().A.60B.80C.120D.1806、在内使成立的的取值范围是()A.B.C.D.7、函数在一个周期内的图象如图,此函数的解析式为()A.B.C.D.8、在长为的线段上任取一点.现作一矩形,邻边长分别等于线段的长,则该矩形面积小于的概率为()A.B.C.D.9、将函数的图象上所有点的横坐标伸长到原来的倍(纵坐标不变),再将所得的图象向左平移个单位,得到的图象对应的解析式是()A.B.C.D.10、函数在的图象大致为()A.B.C.D.11、、设,函数的图象向右平移个单位后与原图象重合,则的最小值是()A.B.C.D.12、已知函数满足对任意,都有成立,则的取值范围为()A.B.C.D.二、填空题(每小题5分,共20分)13、函数的最小正周期为,则。14、若,则的值是____________15、执行下边的程序框图,输出的.16、把函数的图象沿轴向左平移个单位,纵坐标伸长到原来的倍(横坐标不变)后得到函数图象,对于函数有以下四个判断:①该函数的解析式为;②该函数图象关于点对称;③该函数在上是增函数;④函数在上的最小值为,则.其中,正确判断的序号是.三、解答题(共70分)17、(10)(1)已知,计算:(2)化简18、(12)已知是第二象限角,为其终边上的一点,且,求和的值19、(12)一个袋中装有四个形状大小完全相同的球,球的编号分别为1,2,3,4.1.从袋中随机抽取两个球,求取出的球的编号之和不大于4的概率;2.先从袋中随机取一个球,该球的编号为,将球放回袋中,然后再从袋中随机取一个球,该球的编号为,求的概率.20、(12)已知函数(其中为常数).1.求的单调区间;2.当时,的最大值为,求的值;3.求取最大值时的取值集合.21、(12)已知函数.1.当时,求的最大值和最小值;2.若在上是单调函数,求的取值范围。22、(12)已知指数函数满足:,定义域为的函数是奇函数。(1)求,的值;(2)判断函数的单调性并用定义加以证明;(3)若对任意的,不等式恒成立,求实数的取值范围。三、解答题17.18、由三角函数的定义得:,…………3分又∴.…………6分由已知可得:…………9分故,,……………12分19、1.从袋子中随机取两个球,其一切可能的结果组成的基本事件有1和2,1和3,1和4,2和3,2和4,3和4,共6个;从袋中随机取出的球的编号之和不大于4的事件共有1和2,1和3,共2个;因此所求事件的概率为.2.先从袋中随机取一个球,记下编号为,放回后,在从袋中随机取一个球,记下编号为,其一切可能的结果有:(1,1)(1,2),(1,3),(1,4),(2,1),(2,2),(2,3),(2,4),(3,1)(3,2),(3,3)(3,4),(4,1)(4,2),(4,3)(4,4),共16个,又满足条件的事件为(1,3)(1,4)(2,4),共3个所以满足条件的事件的概率为.故满足条件的事件的概率为.20.1.由,,得,,∴函数的单调增区间为;由,,得,,∴函数的单调增区间为.2.∵,∴,∴,∴的最大值为,∴.3.当取最大值时,,,∴,,∴,,∴当取最大值时,的取值集合是。21、1.当时,,又,所以当时,函数有最小值,当时,函数有最小值.2.的对称轴为.由于在上是单调函数,所以或,即或,又,解得:.22、(1)设(2)证明如下:由(1)可知:任取,且则即。(3)

1、当您付费下载文档后,您只拥有了使用权限,并不意味着购买了版权,文档只能用于自身使用,不得用于其他商业用途(如 [转卖]进行直接盈利或[编辑后售卖]进行间接盈利)。
2、本站所有内容均由合作方或网友上传,本站不对文档的完整性、权威性及其观点立场正确性做任何保证或承诺!文档内容仅供研究参考,付费前请自行鉴别。
3、如文档内容存在违规,或者侵犯商业秘密、侵犯著作权等,请点击“违规举报”。

碎片内容

山西省朔州市高一数学下学期第一次阶段性测试试题-人教版高一全册数学试题

您可能关注的文档

慧源书店+ 关注
实名认证
内容提供者

从事历史教学,热爱教育,高度负责。

确认删除?
VIP
微信客服
  • 扫码咨询
会员Q群
  • 会员专属群点击这里加入QQ群
客服邮箱
回到顶部