电脑桌面
添加小米粒文库到电脑桌面
安装后可以在桌面快捷访问

江苏省兴泰高补中心高考数学 限时作业1苏教版VIP免费

江苏省兴泰高补中心高考数学 限时作业1苏教版_第1页
1/8
江苏省兴泰高补中心高考数学 限时作业1苏教版_第2页
2/8
江苏省兴泰高补中心高考数学 限时作业1苏教版_第3页
3/8
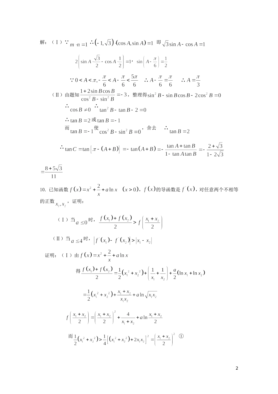
限时作业(一)1.从内任意取两个实数,这两个数的平方和小于1的概率为.2.若将函数的图象向左移个单位后,所得图象关于y轴对称,则实数的最小值为.3.设为互不重合的平面,是互不重合的直线,给出下列四个命题:①②③④若;其中正确命题的序号为④.4.函数在处的切线方程为.5.执行右边的程序框图,若9p,则输出的S=.6.已知函数xxxf3log)(2)0()0(xx,且关于x的方程0)(axxf有且仅有两个实根,则实数a的取值范围是.7.已知椭圆与抛物线有相同的焦点,是椭圆与抛物线的的交点,若经过焦点,则椭圆的离心率为.8.已知等差数列的前n项和为,若,,则下列四个命题中真命题的序号为②③.①;②;③;④9.已知A、B、C是三内角,向量且(Ⅰ)求角A(Ⅱ)若1解:(Ⅰ) ∴即, ∴∴(Ⅱ)由题知,整理得∴∴∴或而使,舍去∴∴10.已知函数,的导函数是,对任意两个不相等的正数,证明:(Ⅰ)当时,(Ⅱ)当时,证明:(Ⅰ)由得而①2又∴② ∴ ∴③由①、②、③得即(Ⅱ)证法一:由,得∴下面证明对任意两个不相等的正数,有恒成立即证成立 设,则令得,列表如下:极小值3∴∴对任意两个不相等的正数,恒有限时作业(二)1.设集合A={(x,y)|x一y=0},B={(x,y)|2x-3y+4=0},则A∩B=;2.已知等差数列{an}中,a4=3,a6=9,则该数列的前9项的和S9=;3.命题“x∈R,x2-2x+l≤0”的否定形式为;4.设向量a与b的夹角为,a=(2,1),a+3b=(5,4),则sin=;5.抛物线y2=4mx(m>0)的焦点到双曲线-=l的一条渐近线的距离为3,则此抛物线的方程为;6.右图是2008年“隆力奇”杯第13届CCTV青年歌手电视大奖赛上某一位选手的部分得分的茎叶统计图,去掉一个最高分和一个最低分后,所剩数据的方差为;7.已知函数的图象如图,则满足的的取值范围为____;8.定义在上的函数即是偶函数又是周期函数,若的最小正周期是,且当时,,则的解为________;9.如图l,等腰梯形ABCD中,AD∥BC,AB=AD,∠ABC=600,E是BC的中点.如图2,将△ABE沿AE折起,使二面角B—AE—C成直二面角,连结BC,BD,F是CD的中点,P是棱BC的中点.(1)求证:AE⊥BD;’(2)求证:平面PEF⊥平面AECD;(3)判断DE能否垂直于平面ABC?并说明理由.4798444679136第6题图ABCDE第17题图1ABCDEFP第17题图21y(1)证明:连接,取中点,连接.在等腰梯形中,∥,AB=AD,,E是BC的中点与都是等边三角形平面平面平面.(2)证明:连接交于点,连接∥,且=四边形是平行四边形是线段的中点是线段的中点∥平面平面.(3)与平面不垂直.证明:假设平面,则平面,平面平面,这与矛盾与平面不垂直.10.已知中,A,B,C的对边分别为,且(Combin)2=Combin·Combin+Combin·Combin+Combin·Combin.(Ⅰ)判断的形状,并求的取值范围;(Ⅱ)若不等式,对任意的满足题意的都成立,求的取值范围.解(Ⅰ) (Combin)2=Combin·Combin+Combin·Combin+Combin·Combin,∴(Combin)2=Combin·(Combin+Combin)+Combin·Combin,即(Combin)2=Combin·Combin+Combin·Combin,即Combin·Combin=0.∴△ABC是以C为直角顶点的直角三角形.∴sinA+sinB=sinA+cosA=sin(A+),A∈(0,),∴sinA+sinB的取值范围为.(Ⅱ)在直角△ABC中,a=csinA,b=ccosA.若a2(b+c)+b2(c+a)+c2(a+b)≥kabc,对任意的满足题意的a、b、c都成立,则有≥k,对任意的满足题意的a、b、c都成立, =[c2sin2A(ccosA+c)+c2cos2A(csinA+c)+c2(csinA+ccosA)]=[sin2AcosA+cos2AsinA+1+cosA+sinA]=cosA+sinA+令t=sinA+cosA,t∈,设f(t)==t+=t+=t-1++1.f(t)=t-1++1,当t-1∈时f(t)为单调递减函数,∴当t=时取得最小值,最小值为2+3,即k≤2+3.∴k的取值范围为(-∞,2+3].限时作业(三)51.若复数为纯虚数,则;2.在平面直角坐标系中,双曲线中心在原点,焦点在轴上,一条渐近线方程为联,则它的离心率为;3.已知点A、B、C满足,,,则的值是_____________;4.若锐角满足,则=;5.已知数列的前n项和为,则数列的前n项和=;6.设分别是椭圆()的左、右焦点,若在其右准线上存在使线段的中垂线过点,则椭...

1、当您付费下载文档后,您只拥有了使用权限,并不意味着购买了版权,文档只能用于自身使用,不得用于其他商业用途(如 [转卖]进行直接盈利或[编辑后售卖]进行间接盈利)。
2、本站所有内容均由合作方或网友上传,本站不对文档的完整性、权威性及其观点立场正确性做任何保证或承诺!文档内容仅供研究参考,付费前请自行鉴别。
3、如文档内容存在违规,或者侵犯商业秘密、侵犯著作权等,请点击“违规举报”。

碎片内容

江苏省兴泰高补中心高考数学 限时作业1苏教版

您可能关注的文档

慧源书店+ 关注
实名认证
内容提供者

从事历史教学,热爱教育,高度负责。

确认删除?
VIP
微信客服
  • 扫码咨询
会员Q群
  • 会员专属群点击这里加入QQ群
客服邮箱
回到顶部