电脑桌面
添加小米粒文库到电脑桌面
安装后可以在桌面快捷访问

湖南省浏阳一中高三数学第二次月考试卷 文-人教版高三全册数学试题VIP免费

湖南省浏阳一中高三数学第二次月考试卷 文-人教版高三全册数学试题_第1页
1/10
湖南省浏阳一中高三数学第二次月考试卷 文-人教版高三全册数学试题_第2页
2/10
湖南省浏阳一中高三数学第二次月考试卷 文-人教版高三全册数学试题_第3页
3/10
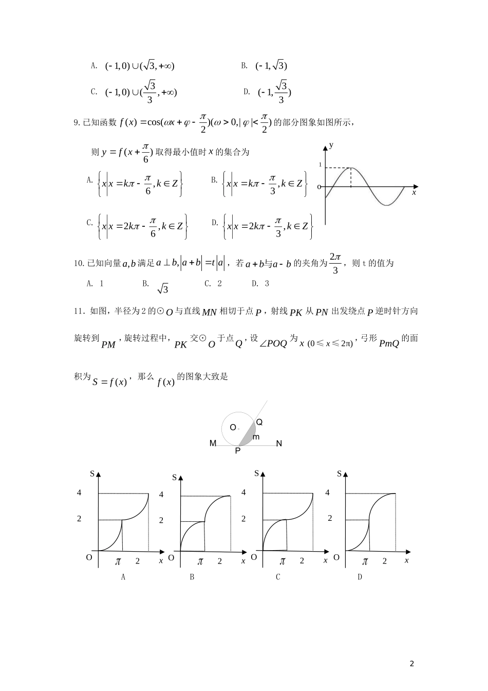
浏阳一中2015年下学期高三年级第二次月考试题文科数学时量:120分钟总分:150分一、选择题:本大题共12小题,每小题5分,满分60分.在每小题给出的四个选项中,只有一项是符合题目要求的.1.设集合lg32Axyx,集合1Bxyx,则AB=A.31,2B.,1C.3,2D.3,22.函数ln(2015)()2016xxfxx的零点个数为A.1B.2C.3D.03.若ab,是两个单位向量,则“3a+4b=5”是“ab”的A.充分不必要条件B.必要不充分条件C.充要条件D.既不充分也不必要条件4.设zxy,其中实数,xy满足2000xyxyyk,若z的最大为6,则z的最小值为A.3B.2C.1D.05.设等比数列na的前n项和为nS,若369SSS,则公比q=A.1或-1B.1C.-1D.126.已知α为第二象限角,33cossin,则cos2α=(A)5-3(B)5-9(C)59(D)537.xx1(x)eae(x1)effe若为奇函数,则的解集为A.,2B.,1C.2,D.1,8.已知函数13log,0,()2,0,xxxfxx若1()2fa,则实数a的取值范围是1A.(1,0)(3,)B.(1,3)C.3(1,0)(,)3D.3(1,)39.已知函数)2||,0)(2cos()(xxf的部分图象如图所示,则)6(xfy取得最小值时x的集合为A.Zkkxx,6B.Zkkxx,3C.Zkkxx,62D.Zkkxx,3210.已知向量,ab满足,ababta,若abab与的夹角为23,则t的值为A.1B.3C.2D.311.如图,半径为2的⊙O与直线MN相切于点P,射线PK从PN出发绕点P逆时针方向旋转到PM,旋转过程中,PK交⊙O于点Q,设POQ为x(02π)x≤≤,弓形PmQ的面积为()Sfx,那么()fx的图象大致是mOPQMNABCD24x224SOx224SOx22SOx224SO1xoy12.已知函数22,20()1ln,021xxxfxxx,若()|()|gxfxaxa的图像与x轴有3个不同的交点,则实数a的取值范围是A.1(0,)eB.1(0,)2eC.ln31[,)3eD.ln31[,)32e二、填空题:本大题共4小题,每小题5分,共20分.13.某市电信宽带私人用户月收费标准如下表:假定每月初可以和电信部门约定上网方案.方案类别基本费用超时费用甲包月制70元乙有限包月制(限60小时)50元0.05元/分钟(无上限)丙有限包月制(限30小时)30元0.05元/分钟(无上限)若某用户每月上网时间为66小时,应选择方案最合算.14.设OA=(1,-2),OB=(a,-1),OC=(-b,0)(a>0,b>0,O为坐标原点),若A,B,C三点共线,则+的最小值是___________.15.数列na的前n项和记为nS,若112a,120,1,2,nnaSn,则数列na的通项公式为na.16.在C中,三内角,,C的对边分别为a,b,c,且222abcbc,3a,S为C的面积,则3coscosCS的最大值为.三、解答题:本大题共6个小题,共70分.解答应写出文字说明,证明过程或演算步骤.17.(本小题满分10分)先将函数)232cos()(xxf的图象上所有的点都向右平移12个单位,再把所有的点的横坐标都伸长为原来的2倍,纵坐标不变,得到函数)(xgy的图象.(1)求函数)(xg的解析式和单调递减区间;(2)若A为三角形的内角,且31)(Ag,求)2(Af的值.18.(本小题满分12分)等差数列{}na的前n项和为nS,数列{}nb是等比数列,满足113,1ab,2252310,2.bSaba(Ⅰ)求数列{}na和{}nb的通项公式;(Ⅱ)令设数列{}nc的前n项和nT,求2.nT3n为奇数,n为偶数,2,,nnnScb19.(本小题满分12分)设数列na的前n项和为nS,点,nnaS在直线312yx上.(1)求数列na的通项公式;(2)在na与1na之间插入n个数,使这2n个数组成公差为nd的等差数列,求数列1nd的前n项和nT.20.(本小题满分12分)如图,在等腰直角三角形OPQ中,90POQ,22OP,点M在线段PQ上.(1)若5OM,求PM的长;(2)若点N在线段MQ上,且30MON,问:当POM取何值时,OMN的面积最小?并求出面积的最小值.21.(本小题满分...

1、当您付费下载文档后,您只拥有了使用权限,并不意味着购买了版权,文档只能用于自身使用,不得用于其他商业用途(如 [转卖]进行直接盈利或[编辑后售卖]进行间接盈利)。
2、本站所有内容均由合作方或网友上传,本站不对文档的完整性、权威性及其观点立场正确性做任何保证或承诺!文档内容仅供研究参考,付费前请自行鉴别。
3、如文档内容存在违规,或者侵犯商业秘密、侵犯著作权等,请点击“违规举报”。

碎片内容

湖南省浏阳一中高三数学第二次月考试卷 文-人教版高三全册数学试题

慧源书店+ 关注
实名认证
内容提供者

从事历史教学,热爱教育,高度负责。

确认删除?
VIP
微信客服
  • 扫码咨询
会员Q群
  • 会员专属群点击这里加入QQ群
客服邮箱
回到顶部