电脑桌面
添加小米粒文库到电脑桌面
安装后可以在桌面快捷访问

三角函数的最值习题精选精讲VIP免费

三角函数的最值习题精选精讲_第1页
1/12
三角函数的最值习题精选精讲_第2页
2/12
三角函数的最值习题精选精讲_第3页
3/12
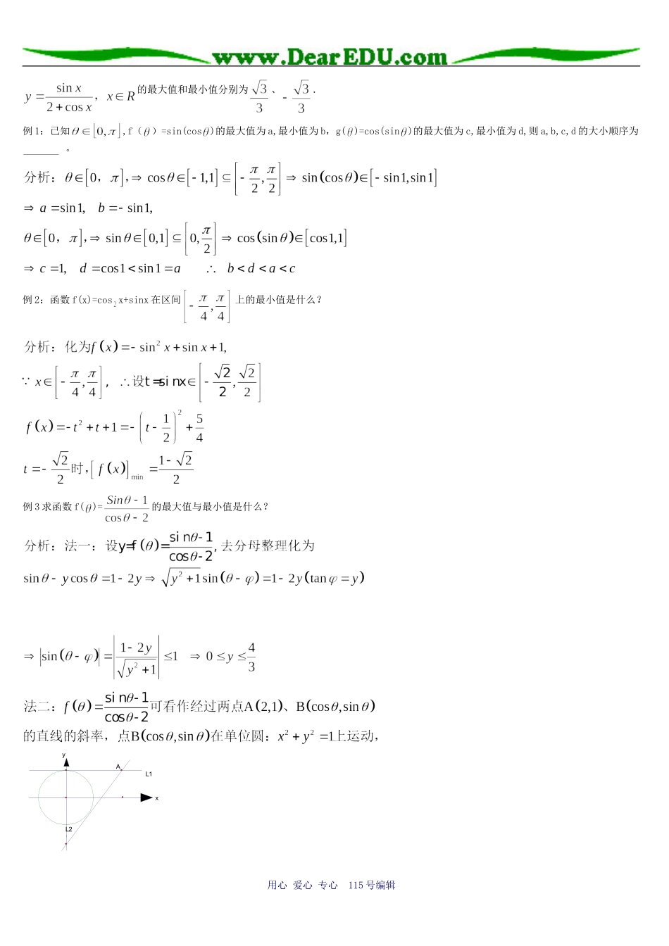
三角函数的值域或最值常见的三角函数最值的基本类型有:(1)y=asinx+b(或y=acosx+b)型,利用,即可求解,此时必须注意字母a的符号对最值的影响。(2)y=asinx+bcosx型,引入辅助角,化为y=sin(x+),利用函数即可求解。Y=asinx+bsinxcosx+mcosx+n型亦可以化为此类。(3)y=asinx+bsinx+c(或y=acosx+bcosx+c),型,可令t=sinx(t=cosx),-1≤t≤1,化归为闭区间上二次函数的最值问题。(4)Y=(或y=)型,解出sinx(或cosx),利用去解;或用分离常数的方法去解决。(5)y=(y=)型,可化归为sin(x+)g(y)去处理;或用万能公式换元后用判别式去处理;当a=c时,还可利用数形结合的方法去处理上。(6)对于含有sinx±cosx,sinxcosx的函数的最值问题,常用的方法是令sinx±cosx=t,,将sinxcosx转化为t的函数关系式,从而化为二次函数的最值问题。一、利用三角函数的有界性.求解这类问题,首先利用有关三角函数公式化为的形式.在化简过程中常常用到公式:例1、(2000年高考)已知:求的最大值及此时的集合.解: ,∴当时,.此时,即.所以的最大值为,此时的集合为.例2、求函数的值域.解:,由得,解得,所以函数的值域是二、利用二次函数最值性质求解这类问题,首先利用有关三角函数公式化为的形式.例3、求函数的值域.解:== ,∴,∴.用心爱心专心115号编辑例4、(90年高考)求函数的最小值.解:设则,所以=,当时,有最小值.三、利用均值不等式*利用均值不等式求三角函数时,一定要注意均值不等式中的使用条件:一正、二定、三相等.例6、当时,求的最大值.解:设(当且仅当时取等号)。所以的最大值为.四、利用判别式例7、求函数的值域.解:①当时,,②当时,,设,则,即,由得,由①②得函数的值域为.五、利用数形结合*形如的函数最值问题,可以看成是连接两点的直线的斜率的最值问题.例8,求函数的最大值和最小值.解:本题可转化为圆上动点与定点A(-2,0)连线的斜率的最大值和最小值.如图,当MA与⊙O相切时取得斜率最小值,当PA与⊙O相切时取得斜率最大值,由平面几何知识可得==,即MA的斜率=,PA的斜率=,所以函数用心爱心专心115号编辑cosx,sinxyxOA(-2,0)PM的最大值和最小值分别为、.例1:已知,f()=sin(cos)的最大值为a,最小值为b,g()=cos(sin)的最大值为c,最小值为d,则a,b,c,d的大小顺序为。例2:函数f(x)=cosx+sinx在区间上的最小值是什么?例3求函数f()=的最大值与最小值是什么?yL2xL1A用心爱心专心115号编辑由图可知当直线AB处于L1的位置时,斜率取最小值0,当直线处于L2的位置时,斜率取最大值。所以例4、函数f(x)=的最大值是,最小值是例5、求y=的最值?例6、已知f(x)=2cosx+sin2x+a,若x<2,求a的取值范围。注:本题综合运用三角恒等变形,三角函数的单调性,不等式的性质,函数的恒成立等知识,是一个较好的三角函数综合题。高考中的三角函数最值问题解析三角函数的最值是高考重点考查的内容,求与三角函数有关的最大值、最小值是高考的热点题目。在高考中,主要以选择题、填空题为主,有时也可是解答题的一部分。解答时,要注意灵活运用三角函数的有界性及三角变换。解析1应用三角函数的定义及三角函数值的符号规律解题例1函数y=的值域是()。A.{-2,4}B.{-2,0,4}C.{-2,0,2,4}D.{-4,-2,0,4}(90全国)解析:解决本题时要注意三角函数值的符号规律,分四个象限讨论。当x在第一象限时,函数值为4;当x在第二象限时,函数值为-2;当x在第三象限时,函数值为0;当x在第四象限时,函数值为-2;所以选择B。解析2直接应用三角函数的有界性解题用心爱心专心115号编辑例2设M和m分别表示函数的最大值和最小值,则M+m等于()(A)(B)(C)(D)-2(2003北京春季)解析:由于y=cosx的最大值与最小值分别为1,-1,所以,函数的最大值与最小值分别为,,即M+m=+()=-2,选D.练习:函数f(x)=Msin(ωx+φ)(ω>0)在区间[a,b]上是增函数,且f(a)=-M,f(b)=M,则函数g(x)=Mcos(ωx+φ)区间[a,b]上。(99全国)A.是增函数B.是减函数C.可以取得最大值MD.可以取得最小值-M(参考答案C)例3已知函数,求f(x)的定义域,判断它...

1、当您付费下载文档后,您只拥有了使用权限,并不意味着购买了版权,文档只能用于自身使用,不得用于其他商业用途(如 [转卖]进行直接盈利或[编辑后售卖]进行间接盈利)。
2、本站所有内容均由合作方或网友上传,本站不对文档的完整性、权威性及其观点立场正确性做任何保证或承诺!文档内容仅供研究参考,付费前请自行鉴别。
3、如文档内容存在违规,或者侵犯商业秘密、侵犯著作权等,请点击“违规举报”。

碎片内容

三角函数的最值习题精选精讲

您可能关注的文档

确认删除?
VIP
微信客服
  • 扫码咨询
会员Q群
  • 会员专属群点击这里加入QQ群
客服邮箱
回到顶部