电脑桌面
添加小米粒文库到电脑桌面
安装后可以在桌面快捷访问

江苏高等数学竞赛积分试题VIP免费

江苏高等数学竞赛积分试题_第1页
1/14
江苏高等数学竞赛积分试题_第2页
2/14
江苏高等数学竞赛积分试题_第3页
3/14
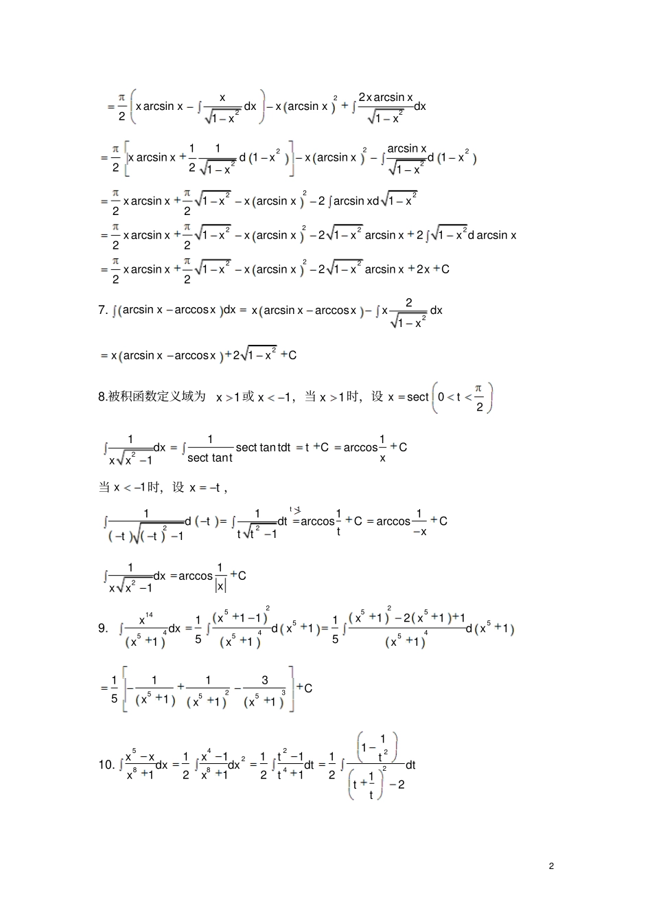
1积分计算不定积分1.22211xxxxxdxdxdxxexexe;22111xxxxxdxdeedxxexxxe,所以211xxxdxCxexe2.221111xxxxxedxedxedxeCxxxx3.lnln1lnxaxbxaxbxaxbdxdxxaxbxbxalnlnln()ln()xaxbdxaxbxdxxbxa所以1lnln()ln()xaxbxaxbdxaxbxCxaxb4.因为cossin2sincosxxxxxx2222sincoscos2sincossinsincoscossincossinxxxxxxxxxxxdxdxxxxxxx22cos2sincossincossincossincossinxxxxxxxxdxdxxxxxxx1sincoscossincossinxxddxxxxxxxcoscossinxCxxx5.因为1xxxee所以222111xxxxxxxxxeexexxxedxdxdxdxxexexexe11xxxxdxxdCxexexe6.因为arcsinarccos2xx所以2arcsinarccosarcsinarcsin2xxdxxdxxdx22222arcsinarcsinarcsin211xxxxxdxxxdxxx2222211arcsinarcsin1arcsin12211xxxdxxxdxxx222arcsin1arcsin2arcsin122xxxxxxdx2222arcsin1arcsin21arcsin21arcsin22xxxxxxxxdx222arcsin1arcsin21arcsin222xxxxxxxxC7.arcsinarccosxxdx22arcsinarccos1xxxxdxx2arcsinarccos21xxxxC8.被积函数定义域为1x或1x,当1x时,设sec02xtt2111sectanarccossectan1dxttdttCCttxxx当1x时,设xt,1221111arccosarccos11tdtdtCCtxtttt211arccos1dxCxxx9.225551455444555111211111155111xxxxdxdxdxxxx2355511135111Cxxx10.542222884111111112121212xxxttdxdxdtdtxxttt322111212dtttt或54222884422111111121212212xxxttdxdxdtdtxxtttt222211212tdttt2221122121tdttttt221212142121ttdttttt定积分计算定积分定义:1.122222201111limlim1411nnnknnndxnnnnnxkn2.122222201111111limlim41641414nnnkdxnnnnnxkn3.3xfxa,3334411limln12lim1ln2lnlnnnfffnaanann313011lnlnlimln4nnkkaaaxdxnn4.101111111limlim1211nnnkdxknnnnnxn利用定积分是数值,与积分变量选取无关:设连续函数()fx满足122300()()()fxxxfxdxxfxdx,求()fx解:令1200(),()afxdxbfxdx,则23()fxxaxbx4则112300222300()()afxdxxaxbxdxbfxdxxaxbxdx,即1234816234abaabb,解得381ab所以233()8fxxxx变限积分1.222332000001111lim1lim1lim33xxxttxxxeedtedtxxx2.42225650000012111lim1lim1lim63xtxuxxtxuxxxexedteduxxx3.求242256500000112sin1limsin()limsinlim63txuttttttttxdxuduttt+++====蝌4.设fx有连续导数,00,00ff,求20020limxxxftdtxftdt22200002200022limlimlim22xxxxxxxftdtxfxfxxftdtxftdtxfxftdtxfx204lim3xxfxfxxfx204lim103xfxfxffxx5.当0x时,220xFxxtftdx的导数与2x为等价无穷小,求0f。2222000333000limlimlimxxxxxxxtftdxxftdxtftdxFxxxx220202lim3xxxftdxxfxxfxx0022lim033xxftdxfx又,32001limlim33xxFxFxxx,所以2110,0332ff56.设fxx,sin0202xxgxx,求0xFxftgxtdt。解:000xtuxxxftgxtdttgxtdtxugudu00xxxguduugudu002200sinsin02sinsin2xxxuduuuduxxuduuuduxsin0212xxxxx定积分1.2420sincosxxdxp=ò()()222200111sin2cossin3sin442xxdxxxdxpp轾犏=+犏臌蝌()22201sin32sin3sinsin16xxxxdxp=++ò()()()()2011cos62cos2cos41cos232xxxxdxp=-+-+-ò32p=21202arctan1xdxxtan12244240002arctanseccossec1xtxtdxtdtttdttx22440012cos21112cos22464168xtdxtdt3.120arctan1xdxx4.22211222104400arctan1arctan1arctan121464xxxdxdxxxx5.设101101xxxfxxe,求201fxdx。121011xtfxdxftdt6222001sin1tan1cos2xxxxedxedxx22012tantan22xxxedx220sec2tan22xxxedx22220002tantan2tan2222xxxxxxeedxedxe7.1ln()(0)1xtfxdtxt,求1()fxfx.解:,令1ut,121111ln1ln1ln11111xxxtuufdtduduxtuuuu1()fxfx1111lnln1lnln11111xxxxtuttdtdudtdttuuttt221111lnlnln1ln1lnln122xxxxtxttdtdttdtttt8.设40tannnIxdx,求证1122121nInnn解:221444200011tantansec1tan11nnnnnnIxdxxxdxxIInn所以211nnIIn,又0,4x时,0tan1x,所以nI单调减少,所以2222nnnnIIII即21221nnIIn,所以1122121nInnn9.设0()cosxsxtdt1)证明:当n为正整数,且1nxn时,221nsxn2)求0()limxsxx证明:1)对任意给定的0x,必存在正整数n,使得1nxn时:110111cos()coscosnnixiiiiitdtsxtdttdt7令1tiu,则2100coscos2cos2iitdttdttdt所以21()2nsxn,即有当n为正整数,且1nxn时,221nsxn2)000000coscos()coslimlimlimlim11xxxxxxt...

1、当您付费下载文档后,您只拥有了使用权限,并不意味着购买了版权,文档只能用于自身使用,不得用于其他商业用途(如 [转卖]进行直接盈利或[编辑后售卖]进行间接盈利)。
2、本站所有内容均由合作方或网友上传,本站不对文档的完整性、权威性及其观点立场正确性做任何保证或承诺!文档内容仅供研究参考,付费前请自行鉴别。
3、如文档内容存在违规,或者侵犯商业秘密、侵犯著作权等,请点击“违规举报”。

碎片内容

江苏高等数学竞赛积分试题

爱的疯狂+ 关注
实名认证
内容提供者

该用户很懒,什么也没介绍

确认删除?
VIP
微信客服
  • 扫码咨询
会员Q群
  • 会员专属群点击这里加入QQ群
客服邮箱
回到顶部