电脑桌面
添加小米粒文库到电脑桌面
安装后可以在桌面快捷访问

浙大数学分析试题VIP免费

浙大数学分析试题_第1页
1/2
浙大数学分析试题_第2页
2/2
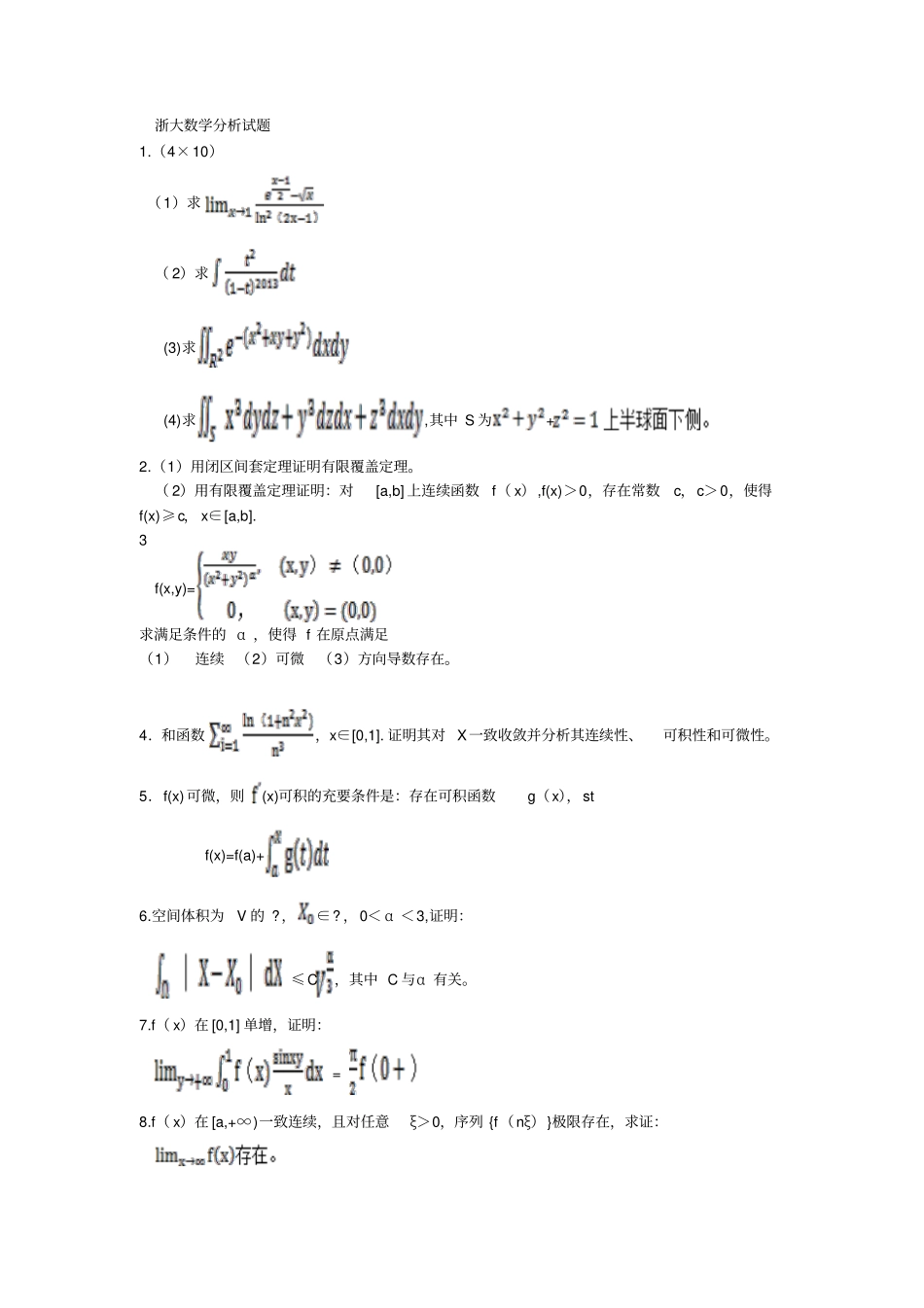
浙大数学分析试题1.(4×10)(1)求(2)求(3)求(4)求,其中S为+2.(1)用闭区间套定理证明有限覆盖定理。(2)用有限覆盖定理证明:对[a,b]上连续函数f(x),f(x)>0,存在常数c,c>0,使得f(x)≥c,x∈[a,b].3f(x,y)=求满足条件的α,使得f在原点满足(1)连续(2)可微(3)方向导数存在。4.和函数,x∈[0,1].证明其对X一致收敛并分析其连续性、可积性和可微性。5.f(x)可微,则(x)可积的充要条件是:存在可积函数g(x),stf(x)=f(a)+6.空间体积为V的?,∈?,0<α<3,证明:≤C,其中C与α有关。7.f(x)在[0,1]单增,证明:=8.f(x)在[a,+∞)一致连续,且对任意ξ>0,序列{f(nξ)}极限存在,求证:

1、当您付费下载文档后,您只拥有了使用权限,并不意味着购买了版权,文档只能用于自身使用,不得用于其他商业用途(如 [转卖]进行直接盈利或[编辑后售卖]进行间接盈利)。
2、本站所有内容均由合作方或网友上传,本站不对文档的完整性、权威性及其观点立场正确性做任何保证或承诺!文档内容仅供研究参考,付费前请自行鉴别。
3、如文档内容存在违规,或者侵犯商业秘密、侵犯著作权等,请点击“违规举报”。

碎片内容

浙大数学分析试题

您可能关注的文档

确认删除?
VIP
微信客服
  • 扫码咨询
会员Q群
  • 会员专属群点击这里加入QQ群
客服邮箱
回到顶部