电脑桌面
添加小米粒文库到电脑桌面
安装后可以在桌面快捷访问

电大常微分方程形成想考核作业参考答案VIP专享VIP免费

电大常微分方程形成想考核作业参考答案_第1页
1/13
电大常微分方程形成想考核作业参考答案_第2页
2/13
电大常微分方程形成想考核作业参考答案_第3页
3/13
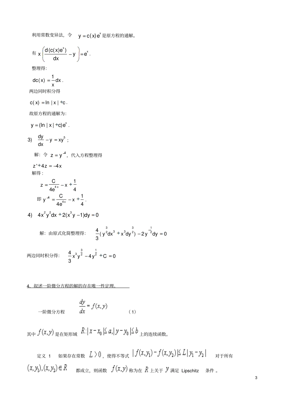
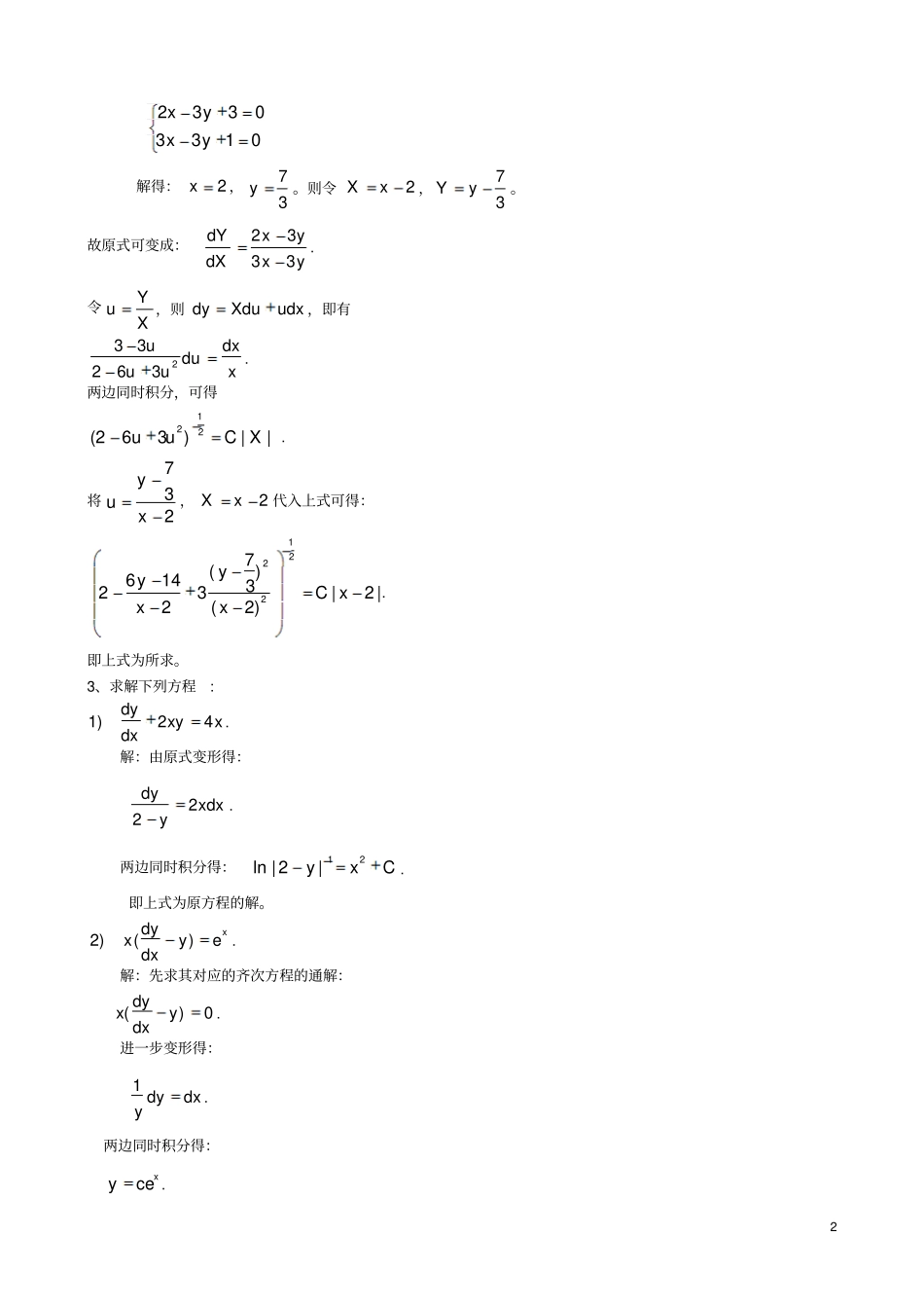
1常微分方程第一、二、三次作业参考答案1、给定一阶微分方程2dyxdx:(1)求出它的通解;解:由原式变形得:2dyxdx.两边同时积分得2yxC.(2)求通过点(2,3)的特解;解:将点(2,3)代入题(1)所求的得通解可得:1C即通过点(2,3)的特解为:21yx.(3)求出与直线23yx相切的解;解:依题意联立方程组:223yxCyx故有:2230xxC。由相切的条件可知:0,即2(2)4(3)0C解得4C故24yx为所求。(4)求出满足条件303ydx的解。解:将2yxC代入330dy,可得2C故22yx为所求。2、求下列方程的解。1)3xydydx2)233331dyxydxxy解:依题意联立方程组:223303310xyxy解得:2x,73y。则令2Xx,73Yy。故原式可变成:2333dYxydXxy.令YuX,则dyXduudx,即有233263udxduuux.两边同时积分,可得122(263)||uuCX.将732yux,2Xx代入上式可得:12227()614323|2|2(2)yyCxxx.即上式为所求。3、求解下列方程:1)24dyxyxdx.解:由原式变形得:22dyxdxy.两边同时积分得:12ln|2|yxC.即上式为原方程的解。2)()xdyxyedx.解:先求其对应的齐次方程的通解:()0dyxydx.进一步变形得:1dydxy.两边同时积分得:xyce.3利用常数变异法,令()xycxe是原方程的通解。有(())xxdcxexyedx.整理得:1()dcxdxx.两边同时积分得()ln||cxxc.故原方程的通解为:(ln||)xyxce.53)dyyxydx;解:令4zy,代入方程整理得'44zzx解得:4144xCzxe即44144xCyxe.2234)42(1)0xydxxydy解:由原式化简整理得:331332224()203ydxxdyydy两边同时积分得:313224403xyyC4、叙述一阶微分方程的解的存在唯一性定理。一阶微分方程(1)其中是在矩形域上的连续函数。定义1如果存在常数,使得不等式对于所有都成立,则函数称为在上关于满足Lipschitz条件。4定理1如果在上连续且关于满足Lipschitz条件,则方程(1)存在唯一的解,定义于区间上,连续且满足初始条件,这里,。5、求方程2dyxydx通过点(1,0)的第二次近似解。解:令0)(0x则200200121)()(xxdxdxyxyxxx522200210220121])21([])([)(xxdxxxdxxxyxxx6、讨论方程2dyydx通过点(1,1)的解和通过点(3,1)的解的存在区间。解:此时区域D是整个平面.方程右端函数满足延展定理的条件.容易算出,方程的通解是:1yCx故通过(1,1)的积分曲线为:12yx,它向左可无限延展,而当2x时,y→+∞,所以,其存在区间为(-∞,2)。7、考虑方程22()(,),dyyafxydx假设(,)fxy及'(,)yfxy在xOy平面上连续,试证明:对于任意0x及0||ya,方程满足00()yxy的解都在(,)上存在。证明:根据题设,可以证明方程右端函数在整个xOy平面上满足延展定理及存在与唯一性定理的条件.易于看到,ya为方程在(-∞,+∞)上的解.由延展定理可知足00()yxy,0x任意,0||ya的解()yyx上的点应当无限远离原点,但是,由解的唯一性,()yyx又不能穿过直线ya,故只能向两侧延展,而无限远离原点,从而这解应在(-∞,+∞)上存在。8、设''21yx(1)验证函数4212122xxyCxC是方程的通解;解:由2''1yx,易得4212122xxycxc.5故得以验证(2)求满足初始条件'00|1,|2xxyy的特解;解:由2''1yx,可得31'3yxxc.由0'|0xy可得10c422122xxyc.由0|2xy可知22c.所以所求特解为422122xxy.(3)求满足初始条件13|2,|5xxyy的特解。解:由1|2xy,3|5xy代入4212122xxycxc.解得113c,274c.故所求特解为:421712234xxyx.9、求解下列微分方程1)、22320dydyydxdx2)、224sindyyxdx3)、22265tdxdxxedtdt解:1)、这里特征根方程为:2320,有两个特征根122,1,因此它的通解为:212ttycece.解:2)、这里特征根方程为:210,它的特征根为1,2i,因此它对应的齐次方程的通解为:01ixyce.考虑4ixwwe,它的一个特解为:42sin2cos()ixpxewxxixxPi.取它的虚部作为原方程的一个特解,则62cospyxx.根据解的结构基本定理,原方程的通解为:012cositpyyycexx.解:3)、这里特征根方程为:2650,有两个特征根125,1,因此它对应的齐次方程的通解为:5012ttycece.考虑原方程265txxxe,它的一个特解为:22(2)21ttpeewP.根据解的结构基本定理,原方程的通解为:2501221tttpeyyycece.10、将下面的初值问题化为与之等价的一阶方程组的初值问题:1)''''27,(1)7,(1)2txxtxexx2)(4)'''''',(0)1,(0)2,(0)2,(0)0txxexxxx解:...

1、当您付费下载文档后,您只拥有了使用权限,并不意味着购买了版权,文档只能用于自身使用,不得用于其他商业用途(如 [转卖]进行直接盈利或[编辑后售卖]进行间接盈利)。
2、本站所有内容均由合作方或网友上传,本站不对文档的完整性、权威性及其观点立场正确性做任何保证或承诺!文档内容仅供研究参考,付费前请自行鉴别。
3、如文档内容存在违规,或者侵犯商业秘密、侵犯著作权等,请点击“违规举报”。

碎片内容

电大常微分方程形成想考核作业参考答案

确认删除?
VIP
微信客服
  • 扫码咨询
会员Q群
  • 会员专属群点击这里加入QQ群
客服邮箱
回到顶部