电脑桌面
添加小米粒文库到电脑桌面
安装后可以在桌面快捷访问

线线角,线面角,二面角一些题目VIP免费

线线角,线面角,二面角一些题目_第1页
1/8
线线角,线面角,二面角一些题目_第2页
2/8
线线角,线面角,二面角一些题目_第3页
3/8
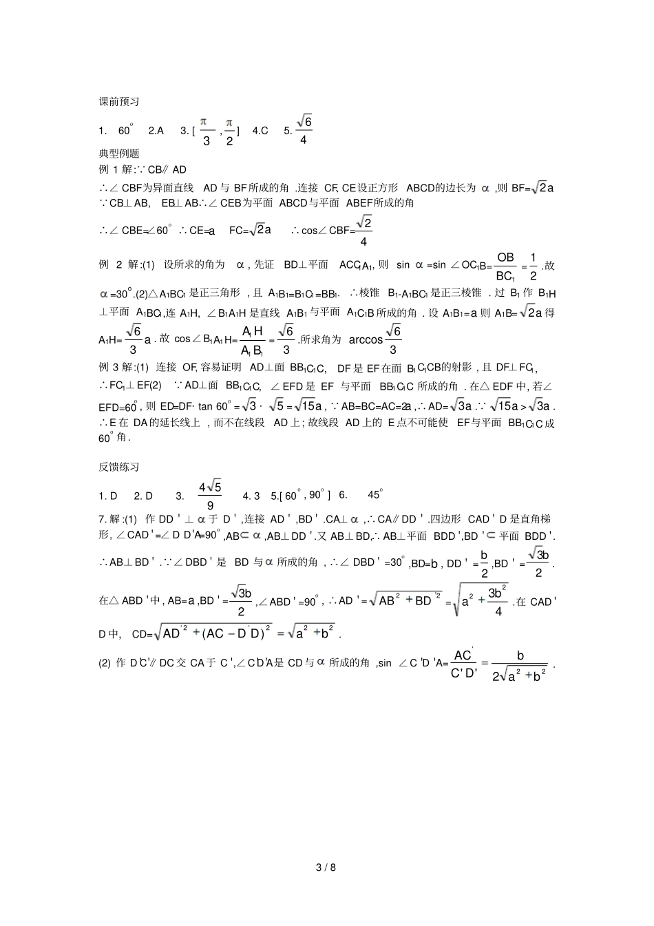
1/8B1D1ADC1BCA1线线角与线面角习题新泰一中闫辉一、复习目标1.理解异面直线所成角的概念,并掌握求异面直线所成角的常用方法.2.理解直线与平面所成角的概念,并掌握求线面角常用方法.3.掌握求角的计算题步骤是“一作、二证、三计算”,思想方法是将空间图形转化为平面图形即“降维”的思想方法.二、课前预习1.在空间四边形ABCD中,AD=BC=2,E、F分别为AB、CD的中点且EF=3,AD、BC所成的角为.2.如图,在长方体ABCD-A1B1C1D1中,B1C和C1D与底面所成的角分别为60ο和45ο,则异面直线B1C和C1D所成角的余弦值为()(A).46(B).36(C).62(D).633.平面与直线a所成的角为3,则直线a与平面内所有直线所成的角的取值范围是.4.如图,ABCD是正方形,PD⊥平面ABCD,PD=AD,则PA与BD所成的角的度数为(A).30ο(B).45ο(C).60ο(D).90ο5.有一个三角尺ABC,∠A=30ο,∠C=90ο,BC是贴于桌面上,当三角尺与桌面成45ο角时,AB边与桌面所成角的正弦值是.三、典型例题例1.(96·全国)如图,正方形ABCD所在平面与正方形ABEF所在平面成60ο角,求异面直线AD与BF所成角的余弦值.备课说明:1.求异面直线所成的角常作出所成角的平面图形.作法有:①平移法:在异面直线的一条上选择“特殊点”,作另一条直线平行线或利用中位线.②补形法:把空间图形补成熟悉的几何体,其目的在于容易发现两条异面直线的关系.2.解立几计算题要先作出所求的角,并要有严格的推理论证过程,还要有合理的步骤.例2.如图在正方体AC1中,(1)求BC1与平面ACC1A1所成的角;(2)求A1B1与平面A1C1B所成的角.备课说明:求直线与平面所成角的关键是找直线在此平面上的射影,为此必须在这条直线上找一点作平面的垂线.作垂线的方法常采用:①利用平面垂直的性质找平面的垂线.②点的射影在面内的特殊位置.ACBADC1D1A1B1CBDABPCDACBFE2/8例3.已知直三棱住ABC-A1B1C1,AB=AC,F为棱BB1上一点,BF∶FB1=2∶1,BF=BC=a2.(1)若D为BC的中点,E为线段AD上不同于A、D的任意一点,证明:EF⊥FC1;(2)试问:若AB=a2,在线段AD上的E点能否使EF与平面BB1C1C成60ο角,为什么?证明你的结论.备课说明:这是一道探索性命题,也是近年高考热点问题,解决这类问题,常假设命题成立,再研究是否与已知条件矛盾,从而判断命题是否成立.四、反馈练习1设集合A、B、C分别表示异面直线所成的角、平面的斜线与平面所成的角、直线与平面所成的角的取值范围,则(A)A=B=C(B)A=BC(C)ABC(D)BAC.2两条直线a,b与平面所成的角相等,则直线a,b的位置关系是(A)平行(B)相交(C)异面(D)以上均有可能.3设棱长为1的正方体ABCD-A1B1C1D1中,M、N分别为AA1和BB1的中点,则直线CM和D1N所成角的正弦值为.4已知a、b是一对异面直线,且a、b成60o角,则在过空间任意点P的所有直线中,与a、b均成60o角的直线有条.5异面直线a、b互相垂直,c与a成30o角,则c与b所成角的范围是.6∠ACB=90ο在平面内,PC与CA、CB所成的角∠PCA=∠PCB=60o,则PC与平面所成的角为.7设线段AB=a,AB在平面内,CA⊥,BD与成30ο角,BD⊥AB,C、D在同侧,CA=BD=b.求:(1)CD的长;(2)CD与平面所成角正弦值.A1CBAB1DC1EFACDB3/8课前预习1.60ο2.A3.[3,2]4.C5.46典型例题例1解: CB∥AD∴∠CBF为异面直线AD与BF所成的角.连接CF、CE设正方形ABCD的边长为,则BF=a2 CB⊥AB,EB⊥AB∴∠CEB为平面ABCD与平面ABEF所成的角∴∠CBE=∠60ο∴CE=aFC=a2∴cos∠CBF=42例2解:(1)设所求的角为,先证BD⊥平面ACC1A1,则sin=sin∠OC1B=1BCOB=21.故=30o.(2)△A1BC1是正三角形,且A1B1=B1C1=BB1.∴棱锥B1-A1BC1是正三棱锥.过B1作B1H⊥平面A1BC1,连A1H,∠B1A1H是直线A1B1与平面A1C1B所成的角.设A1B1=a则A1B=a2得A1H=a36.故cos∠B1A1H=111BAHA=36.所求角为36arccos例3解:(1)连接OF,容易证明AD⊥面BB1C1C,DF是EF在面B1C1CB的射影,且DF⊥FC1,∴FC1⊥EF.(2) AD⊥面BB1C1C,∠EFD是EF与平面BB1C1C所成的角.在△EDF中,若∠EFD=60ο,则ED=DF·tan60ο=3·5=a15, AB=BC=AC=2a,∴AD=a3. a15>a3.∴E在DA的延长线上,而不在线段AD上;故线段AD上的E点不可能使EF与平面BB1C1C成60ο角.反馈练习1.D2.D3.9544.35.[60ο,90ο]6.45ο7.解:(1)作DD'⊥于D',连接AD',BD'.CA⊥,∴CA∥DD'.四边形CAD'D是直角梯形,∠CAD'=∠...

1、当您付费下载文档后,您只拥有了使用权限,并不意味着购买了版权,文档只能用于自身使用,不得用于其他商业用途(如 [转卖]进行直接盈利或[编辑后售卖]进行间接盈利)。
2、本站所有内容均由合作方或网友上传,本站不对文档的完整性、权威性及其观点立场正确性做任何保证或承诺!文档内容仅供研究参考,付费前请自行鉴别。
3、如文档内容存在违规,或者侵犯商业秘密、侵犯著作权等,请点击“违规举报”。

碎片内容

线线角,线面角,二面角一些题目

您可能关注的文档

确认删除?
VIP
微信客服
  • 扫码咨询
会员Q群
  • 会员专属群点击这里加入QQ群
客服邮箱
回到顶部