电脑桌面
添加小米粒文库到电脑桌面
安装后可以在桌面快捷访问

北京师范大学附中版高考数学二轮复习 三角函数专题能力提升训练VIP免费

北京师范大学附中版高考数学二轮复习 三角函数专题能力提升训练_第1页
1/6
北京师范大学附中版高考数学二轮复习 三角函数专题能力提升训练_第2页
2/6
北京师范大学附中版高考数学二轮复习 三角函数专题能力提升训练_第3页
3/6
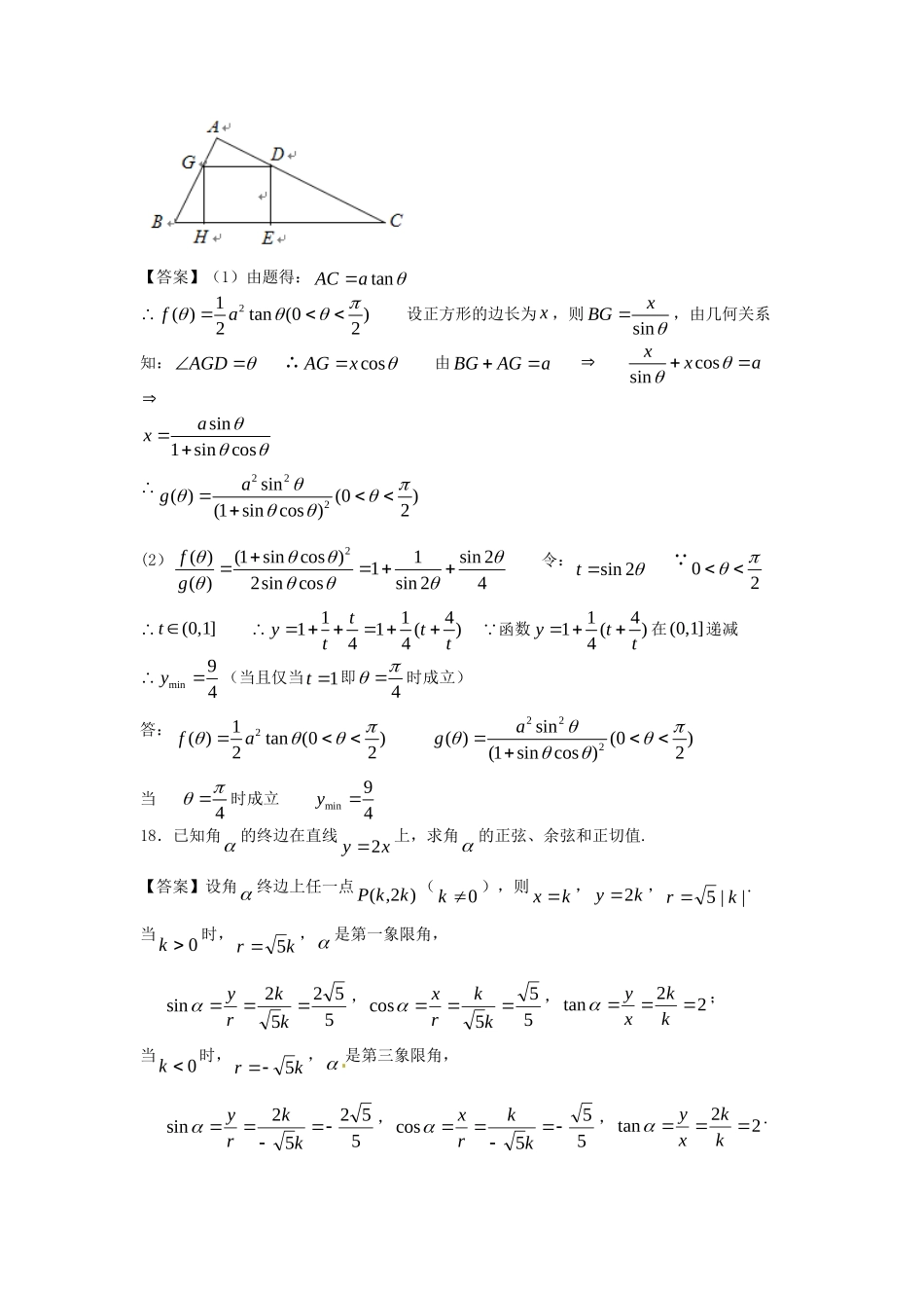
北京师范大学附中版《创新设》高考数学二轮复习专题能力提升训练:三角函数本试卷分第Ⅰ卷(选择题)和第Ⅱ卷(非选择题)两部分.满分150分.考试时间120分钟.第Ⅰ卷(选择题共60分)一、选择题(本大题共12个小题,每小题5分,共60分,在每小题给出的四个选项中,只有一项是符合题目要求的)1.300cos()A.32B.-12C.12D.32【答案】C2.将函数sin2yx的图象向右平移4个单位,再向上平移1个单位,所得图象的函数解析式是()A.22sinyxB.22cosyxC.)42sin(1xyD.cos2yx【答案】A3.cos(-316)的值等于()A.21B.-21C.23D.-23【答案】B4.已知角的终边经过点p(-3,4),则sin的值等于()A.35B.35C.①45D.45【答案】C5.若一圆弧长等于其所在圆的内接正三角形的边长,则其圆心角的弧度数为()A.3B.2C.3D.2【答案】C6.已知锐角α终边上一点A的坐标为(2sin3,-2cos3),则角α的弧度数为()A.3B.π-3C.3-2D.2-3【答案】C7.已知为第二象限角,3=5sin,则2sin=()A.24-25B.12-25C.1225D.2425【答案】A8.42sin()2sin3sin333等于()A.1B.21C.0D.1【答案】C9.角2010是()A.第一象限角B.第二象限角C.第三象限角D.第四象限角【答案】C10.△ABC中,已知31tanA,21tanB,则∠C等于()A.30°B.45°C.60°D.135°【答案】D11.已知3sin42,则3sin4的值为()A.12B.12C.32D.32【答案】C12.在ABC中,AB=3,BC=13,AC=4,则边AC上的高为()A.322B.332C.32D.33【答案】B第Ⅱ卷(非选择题共90分)二、填空题(本大题共4个小题,每小题5分,共20分,把正确答案填在题中横线上)13.在△ABC中,∠B是钝角,AB=6,CB=8,则AC的范围是。【答案】1014AC14.1200是第象限角.【答案】三15.已知ππ2≤≤,且sinπ162,则cos____________.【答案】-116.已知0,2sin2sin,cos(2)2则=。【答案】815三、解答题(本大题共6个小题,共70分,解答应写出文字说明,证明过程或演算步骤)17.如图所示,在Rt△ABC内有一内接正方形,它的一条边在斜边BC上,设AB=a,∠ABC(1)求△ABC的面积()f与正方形面积()g;(2)当变化时,求()()fg的最小值。【答案】(1)由题得:tanACa∴21()tan(0)22fa设正方形的边长为x,则sinxBG,由几何关系知:AGD∴cosAGx由BGAGacossinxxasin1sincosax∴222sin()(0)(1sincos)2ag(2)2()(1sincos)1sin21()2sincossin24fg令:sin2t 02∴(0,1]t∴11411()44tyttt 函数141()4ytt在(0,1]递减∴min94y(当且仅当1t即4时成立)答:21()tan(0)22fa222sin()(0)(1sincos)2ag当4时成立min94y18.已知角的终边在直线xy2上,求角的正弦、余弦和正切值.【答案】设角终边上任一点)2,(kkP(0k),则kx,ky2,||5kr.当0k时,kr5,是第一象限角,55252sinkkry,555coskkrx,22tankkxy;当0k时,kr5,是第三象限角,55252sinkkry,555coskkrx,22tankkxy.综上,角的正弦、余弦和正切值分别为552,55,2或552,55,2.19.如图,渔船甲位于岛屿A的南偏西60方向的B处,且与岛屿A相距12海里,渔船乙以10海里/小时的速度从岛屿A出发沿正北方向航行,若渔船甲同时从B处沿北偏东的方向追赶渔船乙,刚好用2小时追上.(1)求渔船甲的速度;(2)求sin的值.【答案】(I)o120,20,12BACACAB,由余弦定理可求得28BC,所以渔船甲的速度为14海里/小时.(II)BCA,由正弦定理可求得1433sinsinBCA20.已知向量(2cos,1),(3sincos,)mxnxxa�,其中(,0)xR,函数()fxmn�的最小正周期为,最大值为3。(1)求和常数a的值;(2)求函数()fx的单调递增区间。【答案】(1)2()23sincos2...

1、当您付费下载文档后,您只拥有了使用权限,并不意味着购买了版权,文档只能用于自身使用,不得用于其他商业用途(如 [转卖]进行直接盈利或[编辑后售卖]进行间接盈利)。
2、本站所有内容均由合作方或网友上传,本站不对文档的完整性、权威性及其观点立场正确性做任何保证或承诺!文档内容仅供研究参考,付费前请自行鉴别。
3、如文档内容存在违规,或者侵犯商业秘密、侵犯著作权等,请点击“违规举报”。

碎片内容

北京师范大学附中版高考数学二轮复习 三角函数专题能力提升训练

您可能关注的文档

文章天下+ 关注
实名认证
内容提供者

各种文档应有尽有

确认删除?
VIP
微信客服
  • 扫码咨询
会员Q群
  • 会员专属群点击这里加入QQ群
客服邮箱
回到顶部