电脑桌面
添加小米粒文库到电脑桌面
安装后可以在桌面快捷访问

2015年普通高等学校招生全国统一考试数学理试题(新课标1卷-含解析)VIP免费

2015年普通高等学校招生全国统一考试数学理试题(新课标1卷-含解析)_第1页
1/8
2015年普通高等学校招生全国统一考试数学理试题(新课标1卷-含解析)_第2页
2/8
2015年普通高等学校招生全国统一考试数学理试题(新课标1卷-含解析)_第3页
3/8
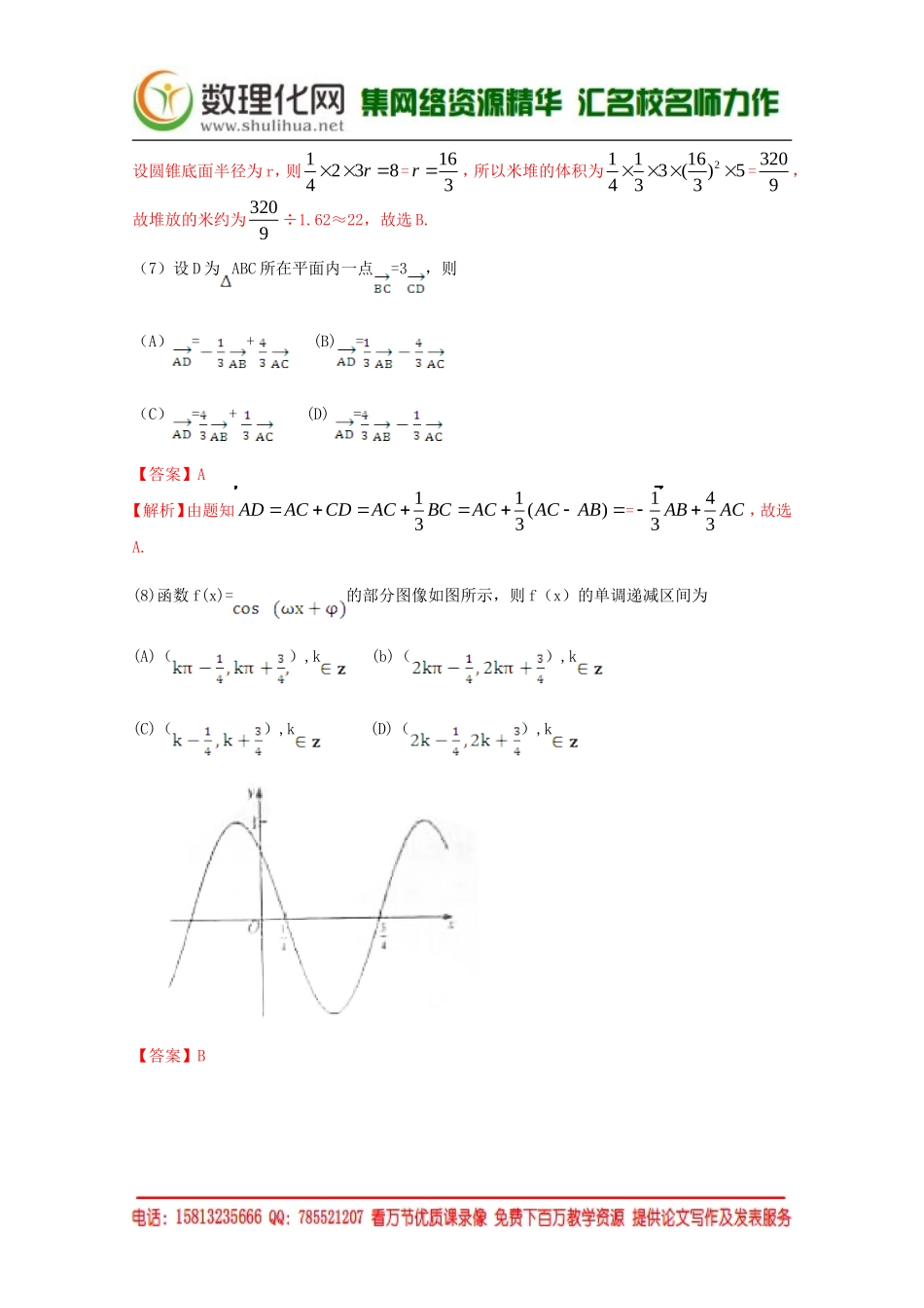
试题类型:A2015年普通高等学校招生全国统一考试理科数学注意事项:1.本试卷分第Ⅰ卷(选择题)和第Ⅱ卷(非选择题)两部分。第Ⅰ卷1至3页,第Ⅱ卷3至5页。2.答题前,考生务必将自己的姓名、准考证号填写在本试题相应的位置。3.全部答案在答题卡上完成,答在本试题上无效。4.考试结束后,将本试题和答题卡一并交回。第Ⅰ卷一.选择题:本大题共12小题,每小题5分,在每小题给出的四个选项中,只有一项是符合题目要求的。(1)设复数z满足1+z1z=i,则|z|=(A)1(B)2(C)3(D)2【答案】A(2)sin20°cos10°-con160°sin10°=(A)32(B)32(C)12(D)12【答案】D【解析】原式=sin20°cos10°+cos20°sin10°=sin30°=12,故选D.(3)设命题P:nN,2n>2n,则P为(A)nN,2n>2n(B)nN,2n≤2n(C)nN,2n≤2n(D)nN,2n=2n【答案】C【解析】p:2,2nnNn,故选C.(4)投篮测试中,每人投3次,至少投中2次才能通过测试。已知某同学每次投篮投中的概率为0.6,且各次投篮是否投中相互独立,则该同学通过测试的概率为(A)0.648(B)0.432(C)0.36(D)0.312【答案】A【解析】根据独立重复试验公式得,该同学通过测试的概率为22330.60.40.6C=0.648,故选A.(5)已知M(x0,y0)是双曲线C:2212xy上的一点,F1、F2是C上的两个焦点,若1MF�2MF�<0,则y0的取值范围是(A)(-33,33)(B)(-36,36)(C)(223,223)(D)(233,233)【答案】A(6)《九章算术》是我国古代内容极为丰富的数学名著,书中有如下问题:“今有委米依垣内角,下周八尺,高五尺。问:积及为米几何?”其意思为:“在屋内墙角处堆放米(如图,米堆为一个圆锥的四分之一),米堆为一个圆锥的四分之一),米堆底部的弧度为8尺,米堆的高为5尺,问米堆的体积和堆放的米各为多少?”已知1斛米的体积约为1.62立方尺,圆周率约为3,估算出堆放斛的米约有A.14斛B.22斛C.36斛D.66斛【答案】B【解析】设圆锥底面半径为r,则12384r=163r,所以米堆的体积为211163()5433=3209,故堆放的米约为3209÷1.62≈22,故选B.(7)设D为ABC所在平面内一点=3,则(A)=+(B)=(C)=+(D)=【答案】A【解析】由题知11()33ADACCDACBCACACAB�=1433ABAC�,故选A.(8)函数f(x)=的部分图像如图所示,则f(x)的单调递减区间为(A)(),k(b)(),k(C)(),k(D)(),k【答案】B(9)执行右面的程序框图,如果输入的t=0.01,则输出的n=(A)5(B)6(C)7(D)8【答案】C(10)的展开式中,y²的系数为(A)10(B)20(C)30(D)60【答案】A【解析】在25()xxy的5个因式中,2个取因式中2x剩余的3个因式中1个取x,其余因式取y,故52xy的系数为212532CCC=30,故选A.(11)圆柱被一个平面截去一部分后与半球(半径为r)组成一个几何体,该几何体三视图中的正视图和俯视图如图所示。若该几何体的表面积为16+20,则r=(A)1(B)2(C)4(D)8【答案】B【解析】由正视图和俯视图知,该几何体是半球与半个圆柱的组合体,圆柱的半径与球的半径都为r,圆柱的高为2r,其表面积为22142222rrrrrr=2254rr=16+20,解得r=2,故选B.12.设函数()fx=(21)xexaxa,其中a1,若存在唯一的整数x0,使得0()fx0,则a的取值范围是()A.[-,1)B.[-,)C.[,)D.[,1)【答案】D第II卷本卷包括必考题和选考题两部分。第(13)题~第(21)题为必考题,每个试题考生都必须作答。第(22)题~第(24)题未选考题,考生根据要求作答。二、填空题:本大题共3小题,每小题5分(13)若函数f(x)=xln(x+2ax)为偶函数,则a=【答案】1【解析】由题知2ln()yxax是奇函数,所以22ln()ln()xaxxax=22ln()ln0axxa,解得a=1.(14)一个圆经过椭圆的三个顶点,且圆心在x轴上,则该圆的标准方程为。【答案】22325()24xy【解析】设圆心为(a,0),则半径为4||a,则222(4||)||2aa,解得32a,故圆的方程为22325()24xy.(15)若x,y满足约束条件则yx的最大值为.【答案】3【解析】作出可行域如图中阴影部分所示,由斜率的意义知,yx是可行域内一点与原点连线的斜率,由图可知,点A(1,3)与原点连线的斜率最大,故yx的最大值为3.

1、当您付费下载文档后,您只拥有了使用权限,并不意味着购买了版权,文档只能用于自身使用,不得用于其他商业用途(如 [转卖]进行直接盈利或[编辑后售卖]进行间接盈利)。
2、本站所有内容均由合作方或网友上传,本站不对文档的完整性、权威性及其观点立场正确性做任何保证或承诺!文档内容仅供研究参考,付费前请自行鉴别。
3、如文档内容存在违规,或者侵犯商业秘密、侵犯著作权等,请点击“违规举报”。

碎片内容

2015年普通高等学校招生全国统一考试数学理试题(新课标1卷-含解析)

您可能关注的文档

中小学资料+ 关注
实名认证
内容提供者

精美课件,值得下载

确认删除?
VIP
微信客服
  • 扫码咨询
会员Q群
  • 会员专属群点击这里加入QQ群
客服邮箱
回到顶部