电脑桌面
添加小米粒文库到电脑桌面
安装后可以在桌面快捷访问

高二数学理函数最值、导数应用题人教实验A版知识精讲VIP免费

高二数学理函数最值、导数应用题人教实验A版知识精讲_第1页
1/10
高二数学理函数最值、导数应用题人教实验A版知识精讲_第2页
2/10
高二数学理函数最值、导数应用题人教实验A版知识精讲_第3页
3/10
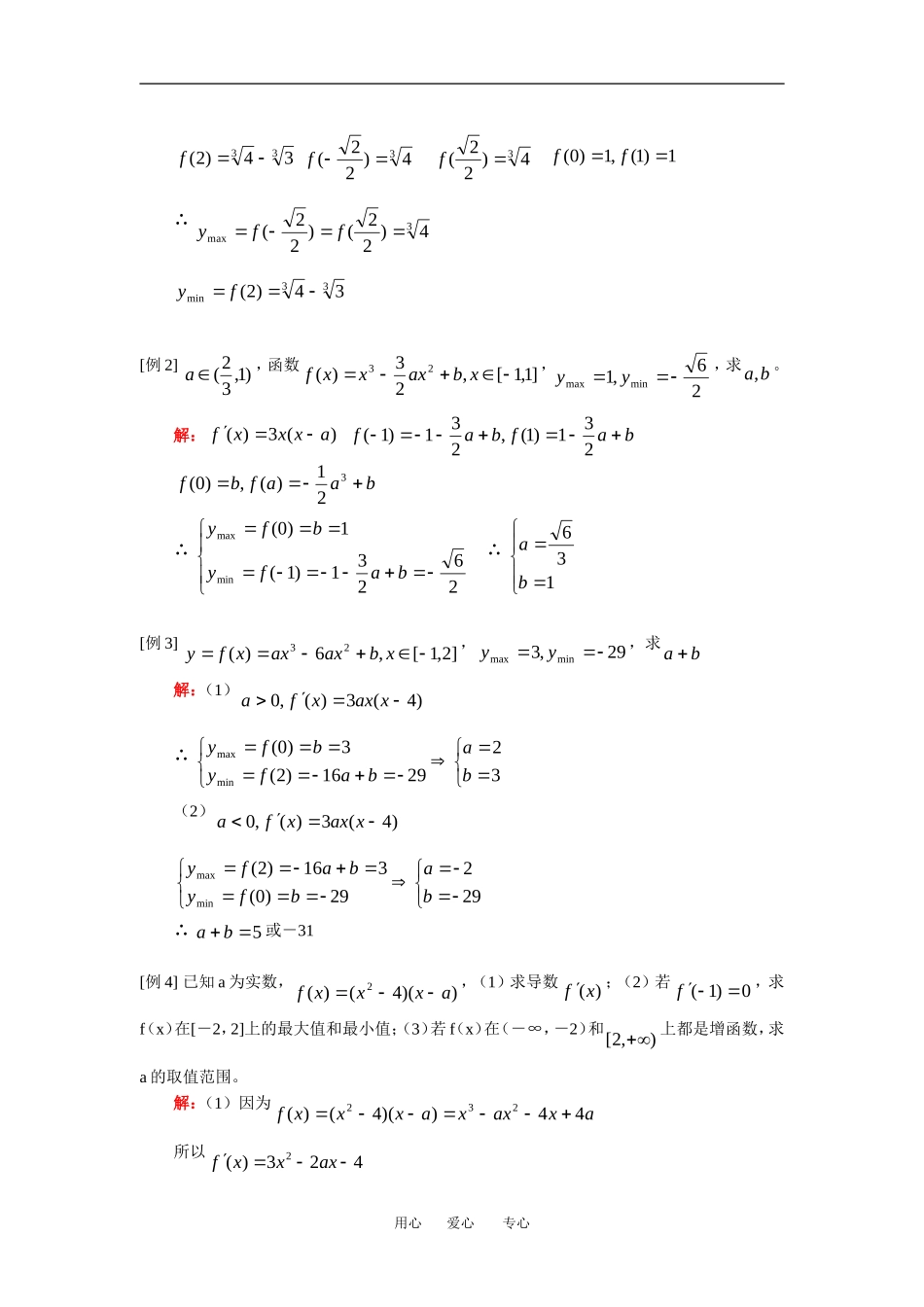
高二数学理函数最值、导数应用题人教实验A版【本讲教育信息】一.教学内容:函数最值、导数应用题二.重点、难点:1.闭区间上的连续函数必有最值。2.nxxxxxfbaxxfy21,0)(],,[),(,求)(),()(),(1bfxfxfafn的值,最大的为最大值,最小的为最小值。3.应用问题(1)选定自变量x(2)选定函数值y(3)建立函数关系)(xfy(4)确定函数的定义域(5)用导数求最值【典型例题】[例1]求下列函数最值。(1)]2,1[,155345xxxxy解:3,1,0,0)1)(3(52xxxxy(舍)7)2(,2)1(,1)0(,10)1(ffff∴10,2minmaxyy(2)],[,ln33eexxxy解:0)1(ln1xxy12233322)(,3)(,3)(,eefeefeeefex∴minmax,3yeeye2(3)]2,2[,)1(31232xxxy0)1()1(323223134322xxxxy22x∴14)2(3f用心爱心专心3334)2(f34)22(f34)22(f1)1(,1)0(ff∴3max4)22()22(ffy33min34)2(fy[例2])1,32(a,函数]1,1[,23)(23xbaxxxf,26,1minmaxyy,求ba,。解:)(3)(axxxfbafbaf231)1(,231)1(baafbf321)(,)0(∴26231)1(1)0(minmaxbafybfy∴136ba[例3]]2,1[,6)(23xbaxaxxfy,29,3minmaxyy,求ba解:(1))4(3)(,0xaxxfa∴322916)2(3)0(minmaxbabafybfy(2))4(3)(,0xaxxfa29229)0(316)2(minmaxbabfybafy∴5ba或-31[例4]已知a为实数,))(4()(2axxxf,(1)求导数)(xf;(2)若0)1(f,求f(x)在[-2,2]上的最大值和最小值;(3)若f(x)在(-∞,-2)和),2[上都是增函数,求a的取值范围。解:(1)因为axaxxaxxxf44))(4()(232所以423)(2axxxf用心爱心专心(2)由0)1(f,得21a,此时有)21)(4()(2xxxf所以43)(2xxxf,由0)(xf,得34x或1x,又因为)34(f27500)2(,0)2(,29)1(fff,所以)(xf在[-2,2]上的最大值为29,最小值为2750(3) 423)(2axxxf的图象为开口向上且过点(0,-4)的抛物线由条件得0)2(',0)2('ff,即048084aa,解得22a,所以a的取值范围为[-2,2][例5]已知函数cbxaxxxf23)(在32x与x=1时都取得极值。(1)求a,b的值与函数f(x)的单调区间(2)若对]2,1[x时,不等式2)(cxf恒成立,求c的取值范围。解:(1) cbxaxxxf23)(∴baxxxf23)(2由034912)32(baf,023)1(baf得2,21ba )1)(23(23)(2xxxxxf∴当x变化时,)(),(xfxf的变化情况如下表:x(-∞,32)32(32,1)1(1,+∞))(xf+0-0+f(x)↑极大值2722c↓极小值23c↑∴函数f(x)的递增区间是(-∞,32)和(1,+∞);递减区间是(32,1)(2) ]2,1[,221)(23xcxxxxf又 23)1(,722)32(cfcf,cf)1(2)2(,21cf∴2)2(cf为最大值,要使2)(cxf在]2,1[x恒成立用心爱心专心只需2)2(2cfc,解得1c或2c[例6]已知函数)(xfbxax26的图象在点M()1(,1f)处的切线方程为052yx(1)求函数)(xfy的解析式;(2)求函数)(xfy的单调区间。解:(1) bxaxxf26)(∴222)()6(2)()(bxaxxbxaxf又 函数)(xf的图象在点M()1(,1f)处的切线方程为052yx∴05)1(21f,即21)1(,2)1(ff解得3,2ba( 1,01bb舍去)∴所求函数解析式为362)(2xxxf(2) 222)3(6122)(xxxf∴令0)(xf,解得323,32321xx当323x或323x时,0)(xf当323323x时,0)(xf∴362)(2xxxf在(323,)和(,323)内是减函数,在(323,323)内是增函数[例7]设函数86)1(32)(23axxaxxf,...

1、当您付费下载文档后,您只拥有了使用权限,并不意味着购买了版权,文档只能用于自身使用,不得用于其他商业用途(如 [转卖]进行直接盈利或[编辑后售卖]进行间接盈利)。
2、本站所有内容均由合作方或网友上传,本站不对文档的完整性、权威性及其观点立场正确性做任何保证或承诺!文档内容仅供研究参考,付费前请自行鉴别。
3、如文档内容存在违规,或者侵犯商业秘密、侵犯著作权等,请点击“违规举报”。

碎片内容

高二数学理函数最值、导数应用题人教实验A版知识精讲

;绿洲书城+ 关注
实名认证
内容提供者

从事历史教学,热爱教育,高度负责。

相关文档

确认删除?
VIP
微信客服
  • 扫码咨询
会员Q群
  • 会员专属群点击这里加入QQ群
客服邮箱
回到顶部