电脑桌面
添加小米粒文库到电脑桌面
安装后可以在桌面快捷访问

江苏省射阳县第二中学高中数学 第11课时分数指数幂(2)自主预习案 新人教A版必修1VIP免费

江苏省射阳县第二中学高中数学 第11课时分数指数幂(2)自主预习案 新人教A版必修1_第1页
1/4
江苏省射阳县第二中学高中数学 第11课时分数指数幂(2)自主预习案 新人教A版必修1_第2页
2/4
江苏省射阳县第二中学高中数学 第11课时分数指数幂(2)自主预习案 新人教A版必修1_第3页
3/4
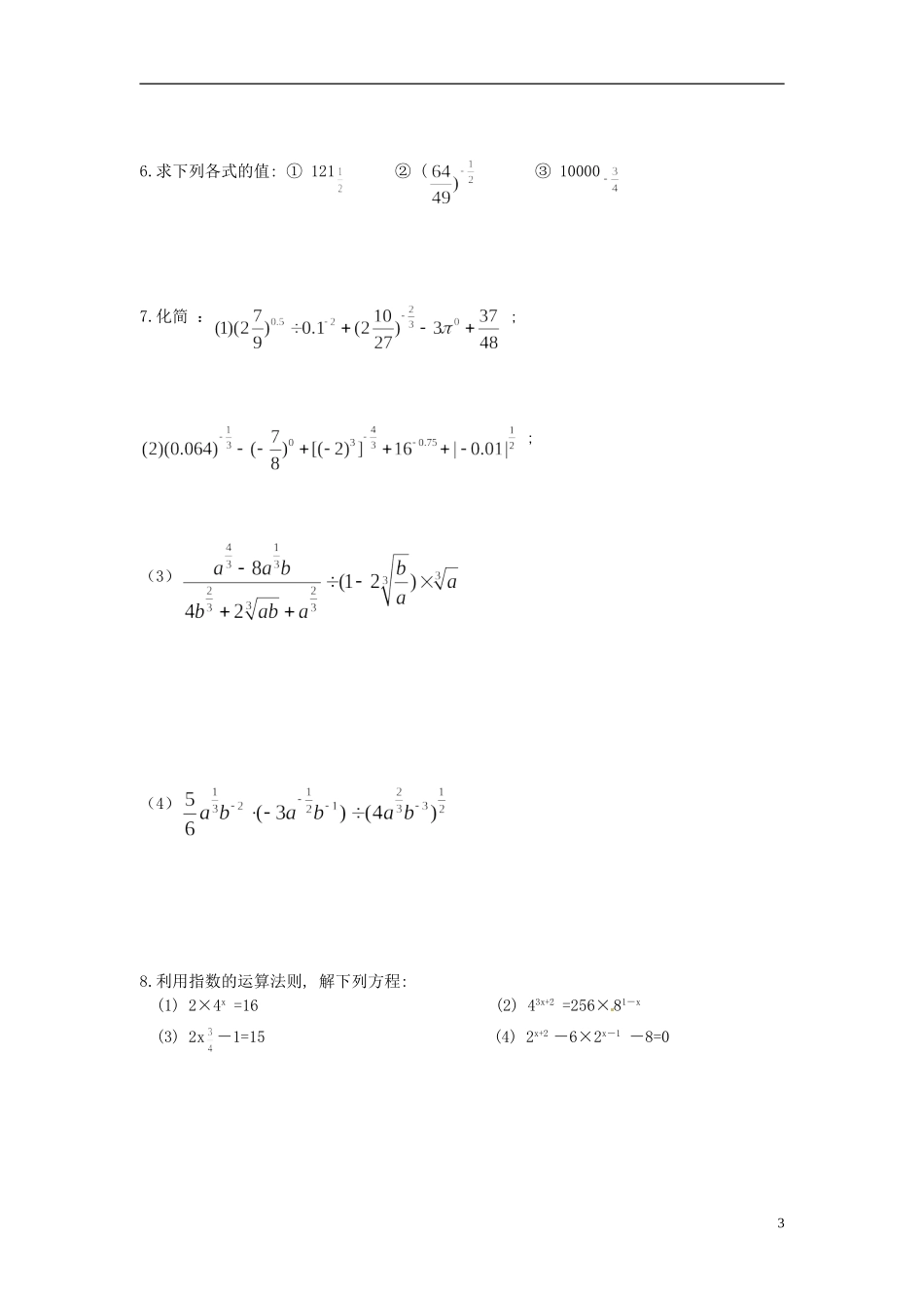
江苏省射阳县第二中学高中数学第11课时分数指数幂(2)自主预习案新人教A版必修1课题:根式、分数指数幂预习范围:P59-P61预习任务:一、看书P59-P61中,弄懂下列概念:1、根式的概念。2、整数幂的运算性质。【B:课堂活动单】课题:学习目标:掌握根式与分数指数幂的互化,熟练运用有理指数幂运算性质进行化简、求值。重点难点:化简、求值的技巧。活动一:数学建构1.正数的正分数的指数幂(a>0,m,n∈N+,n>1)2.零的正分数指数幂正数的负分数的指数幂3.有理数指数幂的运算性质活动二:数学应用1、求值:8,100,()-3,(.2、用分数指数幂的形式表示下列各式(a>0).(1)a2·(2)a3·(3)(4)(p>0)(5)活动三:数学应用1、化简:①8·100·()-3·(②(2)0+2-2·(2-(0.01)0.51③④(2ab)(-6ab)÷(-3ab)2、解方程(1)(2)活动四:数学应用1、已知,求下列各式的值(1)(2)(3)2、化简:.【C:检测巩固卷】1.若a=2,b=3,c=-2,则(ac)b的值是_______________.2.已知3a=2,3b=5,则32a-b=_______________.3.将下列根式改写成分数指数幂的形式:=________=____________.4.计算:____________4_________________________________5.用分数指数幂表示下列各式(其中各式字母均为正数).①②③26.求下列各式的值:①121②(③100007.化简:;;(3)(4)8.利用指数的运算法则,解下列方程:(1)2×4x=16(2)43x+2=256×81-x(3)2x-1=15(4)2x+2-6×2x-1-8=039、已知,求下列各式的值(1)(2)4

1、当您付费下载文档后,您只拥有了使用权限,并不意味着购买了版权,文档只能用于自身使用,不得用于其他商业用途(如 [转卖]进行直接盈利或[编辑后售卖]进行间接盈利)。
2、本站所有内容均由合作方或网友上传,本站不对文档的完整性、权威性及其观点立场正确性做任何保证或承诺!文档内容仅供研究参考,付费前请自行鉴别。
3、如文档内容存在违规,或者侵犯商业秘密、侵犯著作权等,请点击“违规举报”。

碎片内容

江苏省射阳县第二中学高中数学 第11课时分数指数幂(2)自主预习案 新人教A版必修1

确认删除?
VIP
微信客服
  • 扫码咨询
会员Q群
  • 会员专属群点击这里加入QQ群
客服邮箱
回到顶部