电脑桌面
添加小米粒文库到电脑桌面
安装后可以在桌面快捷访问

浙江省奉化中学高中数学 1.2.1任意角的三角函数(二)课时作业 新人教A版必修4VIP免费

浙江省奉化中学高中数学 1.2.1任意角的三角函数(二)课时作业 新人教A版必修4_第1页
1/3
浙江省奉化中学高中数学 1.2.1任意角的三角函数(二)课时作业 新人教A版必修4_第2页
2/3
浙江省奉化中学高中数学 1.2.1任意角的三角函数(二)课时作业 新人教A版必修4_第3页
3/3
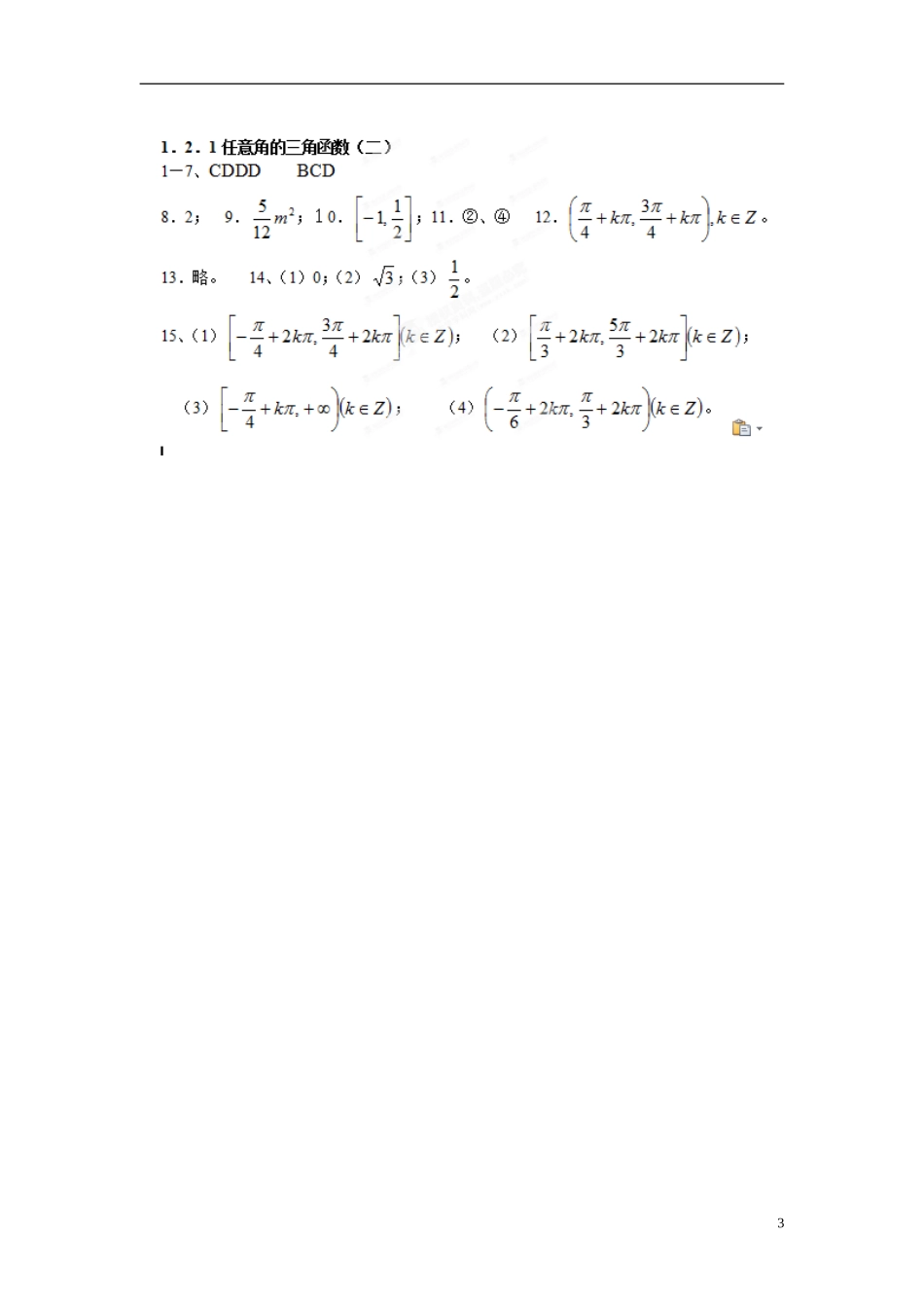
1.2.1任意角的三角函数(二)1.()A.B.C.D.2.角α(0<α<2π)的正、余弦线的长度相等,且正、余弦符号相异.那么α的值为()A.B.C.D.或3.若0<α<2π,且sinα<,cosα>.利用三角函数线,得到α的取值范围是()A.(-,)B.(0,)C.(,2π)D.(0,)∪(,2π)4.的值为()A.B.C.D.5.的值为()A.1B.C.D.6.若<θ<,则下列不等式中成立的是()A.sinθ>cosθ>tanθB.cosθ>tanθ>sinθC.tanθ>sinθ>cosθD.sinθ>tanθ>cosθ7.函数的值域是()A.{1}B.{1,3}C.{-1}D.{-1,3}8.sin(-1770°)·cos1500°+cos(-690°)·sin780°+tan405°=.9.化简:=.10.若-≤θ≤,利用三角函数线,可得sinθ的取值范围是.11.依据三角函数线,作出如下四个判断:①sin=sin;②cos(-)=cos;③tan>tan;④sin>sin.其中判断正确的有(填写正确的序号)12.若∣cosα∣<∣sinα∣,则.13.试作出角α=正弦线、余弦线、正切线.123

1、当您付费下载文档后,您只拥有了使用权限,并不意味着购买了版权,文档只能用于自身使用,不得用于其他商业用途(如 [转卖]进行直接盈利或[编辑后售卖]进行间接盈利)。
2、本站所有内容均由合作方或网友上传,本站不对文档的完整性、权威性及其观点立场正确性做任何保证或承诺!文档内容仅供研究参考,付费前请自行鉴别。
3、如文档内容存在违规,或者侵犯商业秘密、侵犯著作权等,请点击“违规举报”。

碎片内容

浙江省奉化中学高中数学 1.2.1任意角的三角函数(二)课时作业 新人教A版必修4

您可能关注的文档

海博书城+ 关注
实名认证
内容提供者

从事历史教学,热爱教育,高度负责。

相关文档

确认删除?
VIP
微信客服
  • 扫码咨询
会员Q群
  • 会员专属群点击这里加入QQ群
客服邮箱
回到顶部