电脑桌面
添加小米粒文库到电脑桌面
安装后可以在桌面快捷访问

有理数乘法教案VIP免费

有理数乘法教案_第1页
1/4
有理数乘法教案_第2页
2/4
有理数乘法教案_第3页
3/4
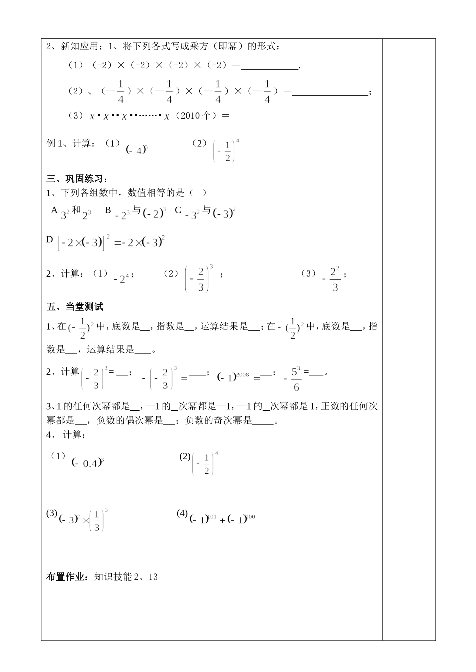
靖远县三滩中学七年级数学科学案学习内容有理数的乘方课时第一课时学习目标1、理解有理数乘方的意义;2、掌握有理数乘方运算;3、经历探索有理数乘方的运算,获得解决问题经验;学习重点有理数乘方的运算学习难点有理数乘方的运算学习过程学习内容及步骤措施要求【上节目标检测】1、计算(1)(-8)÷(-4);(2)(-9)÷3;(3)(—0.1)÷×(—100)2.有理数的除法法则:【目标展示及解析】一、知识链接1、看下面的故事:从前,有个“聪明的乞丐”他要到了一块面包。他想,天天要饭太辛苦,如果我第一天吃这块面包的一半,第二天再吃剩余面包的一半,……依次每天都吃前一天剩余面包的一半,这样下去,我就永远不要去要饭了!请你们交流讨论,再算一算,如果把整块面包看成整体“1”,那第十天他将吃到面包。2、拉面馆的师傅用一根很粗的面条,把两头捏合在一起拉伸,再捏合,再拉伸,反复多次,就能把这根很粗的面条,拉成许多很细的面条.想想看,捏合次后,就可以拉出32根面条.二、合作探究1、分小组合作学习58页内容,然后再完成好下面的问题1)叫乘方,叫做幂,在式子an中,a叫做,n叫做2)式子an表示的意义是3)从运算上看式子an,可以读作,从结果上看式子an,可以读作;2、新知应用:1、将下列各式写成乘方(即幂)的形式:(1)(-2)×(-2)×(-2)×(-2)=.(2)、(—)×(—)×(—)×(—)=;(3)•••••……•(2010个)=例1、计算:(1)(2)三、巩固练习:1、下列各组数中,数值相等的是()A和B与C与D2、计算:(1);(2);(3);五、当堂测试1、在中,底数是,指数是,运算结果是;在中,底数是,指数是,运算结果是。2、计算=;;;=。3、1的任何次幂都是,—1的次幂都是—1,—1的次幂都是1,正数的任何次幂都是,负数的偶次幂是;负数的奇次幂是。4、计算:(1)(2)(3)(4)布置作业:知识技能2、132012年月日星期课型新授设计审核学习内容及步骤措施要求

1、当您付费下载文档后,您只拥有了使用权限,并不意味着购买了版权,文档只能用于自身使用,不得用于其他商业用途(如 [转卖]进行直接盈利或[编辑后售卖]进行间接盈利)。
2、本站所有内容均由合作方或网友上传,本站不对文档的完整性、权威性及其观点立场正确性做任何保证或承诺!文档内容仅供研究参考,付费前请自行鉴别。
3、如文档内容存在违规,或者侵犯商业秘密、侵犯著作权等,请点击“违规举报”。

碎片内容

有理数乘法教案

您可能关注的文档

确认删除?
VIP
微信客服
  • 扫码咨询
会员Q群
  • 会员专属群点击这里加入QQ群
客服邮箱
回到顶部