电脑桌面
添加小米粒文库到电脑桌面
安装后可以在桌面快捷访问

七年级数学下册一元一次不等式与不等式组测试题附答案VIP免费

七年级数学下册一元一次不等式与不等式组测试题附答案_第1页
1/2
七年级数学下册一元一次不等式与不等式组测试题附答案_第2页
2/2
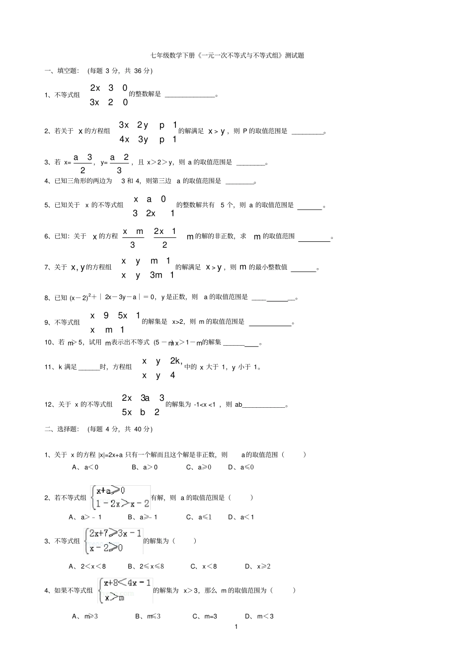
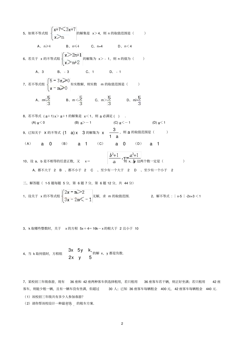
1七年级数学下册《一元一次不等式与不等式组》测试题一、填空题:(每题3分,共36分)1、不等式组023032xx的整数解是______________。2、若关于x的方程组134123pyxpyx的解满足x>y,则P的取值范围是_________。3、若x=23a,y=32a,且x>2>y,则a的取值范围是________。4、已知三角形的两边为3和4,则第三边a的取值范围是________。5、已知关于x的不等式组0321xax的整数解共有5个,则a的取值范围是。6、已知:关于x的方程mxmx2123的解的非正数,求m的取值范围。7、关于yx,的方程组131myxmyx的解满足x>y,则m的最小整数值。8、已知(x-2)2+|2x-3y-a|=0,y是正数,则a的取值范围是______。9、不等式组1159mxxx的解集是x>2,则m的取值范围是。10、若m>5,试用m表示出不等式(5-m)x>1-m的解集______。11、k满足______时,方程组4,2yxkyx中的x大于1,y小于1。12、关于x的不等式组25332bxax的解集为-1

1、当您付费下载文档后,您只拥有了使用权限,并不意味着购买了版权,文档只能用于自身使用,不得用于其他商业用途(如 [转卖]进行直接盈利或[编辑后售卖]进行间接盈利)。
2、本站所有内容均由合作方或网友上传,本站不对文档的完整性、权威性及其观点立场正确性做任何保证或承诺!文档内容仅供研究参考,付费前请自行鉴别。
3、如文档内容存在违规,或者侵犯商业秘密、侵犯著作权等,请点击“违规举报”。

碎片内容

七年级数学下册一元一次不等式与不等式组测试题附答案

爱的疯狂+ 关注
实名认证
内容提供者

该用户很懒,什么也没介绍

确认删除?
微信客服
  • 扫码咨询
会员Q群
  • 会员专属群点击这里加入QQ群