电脑桌面
添加小米粒文库到电脑桌面
安装后可以在桌面快捷访问

专题圆锥曲线的定义性质方程教师版VIP免费

专题圆锥曲线的定义性质方程教师版_第1页
1/8
专题圆锥曲线的定义性质方程教师版_第2页
2/8
专题圆锥曲线的定义性质方程教师版_第3页
3/8
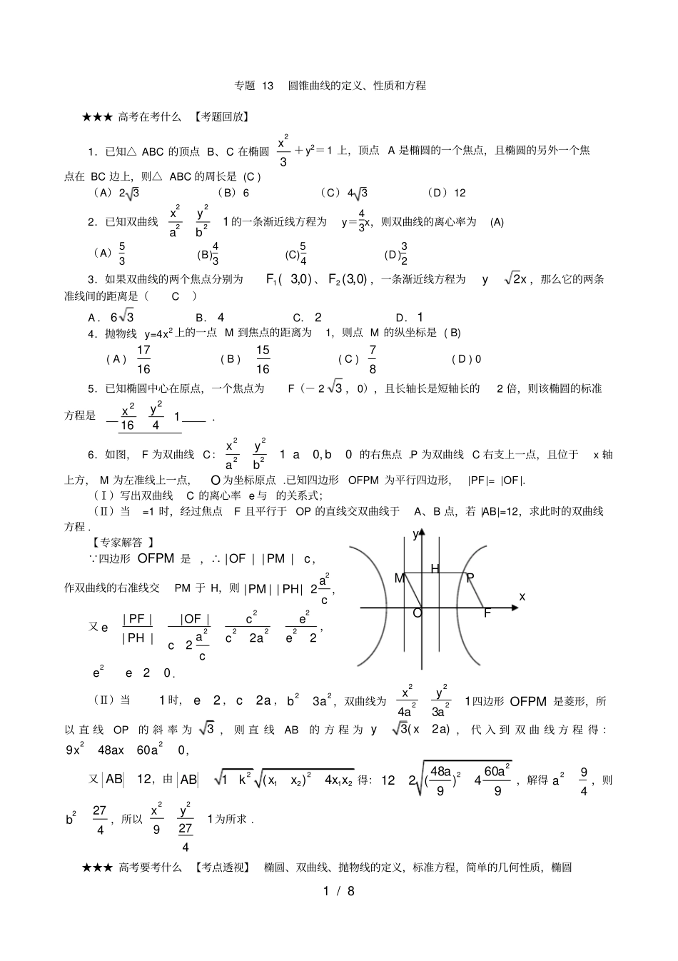
1/8OFxyPMH专题13圆锥曲线的定义、性质和方程★★★高考在考什么【考题回放】1.已知△ABC的顶点B、C在椭圆23x+y2=1上,顶点A是椭圆的一个焦点,且椭圆的另外一个焦点在BC边上,则△ABC的周长是(C)(A)23(B)6(C)43(D)122.已知双曲线22221xyab的一条渐近线方程为y=43x,则双曲线的离心率为(A)(A)53(B)43(C)54(D)323.如果双曲线的两个焦点分别为)0,3(1F、)0,3(2F,一条渐近线方程为xy2,那么它的两条准线间的距离是(C)A.36B.4C.2D.14.抛物线y=4x2上的一点M到焦点的距离为1,则点M的纵坐标是(B)(A)1617(B)1615(C)87(D)05.已知椭圆中心在原点,一个焦点为F(-23,0),且长轴长是短轴长的2倍,则该椭圆的标准方程是221164yx.6.如图,F为双曲线C:222210,0xyabab的右焦点.P为双曲线C右支上一点,且位于x轴上方,M为左准线上一点,O为坐标原点.已知四边形OFPM为平行四边形,|PF|=|OF|.(Ⅰ)写出双曲线C的离心率e与的关系式;(Ⅱ)当=1时,经过焦点F且平行于OP的直线交双曲线于A、B点,若|AB|=12,求此时的双曲线方程.【专家解答】 四边形OFPM是,∴||||OFPMc,作双曲线的右准线交PM于H,则2||||2aPMPHc,又222222||||||222PFOFceeaPHcaecc,220ee.(Ⅱ)当1时,2e,2ca,223ba,双曲线为2222143xyaa四边形OFPM是菱形,所以直线OP的斜率为3,则直线AB的方程为3(2)yxa,代入到双曲线方程得:22948600xaxa,又12AB,由2212121()4ABkxxxx得:224860122()499aa,解得294a,则2274b,所以2212794xy为所求.★★★高考要考什么【考点透视】椭圆、双曲线、抛物线的定义,标准方程,简单的几何性质,椭圆2/8xy0MABA1A2M1M2B1B2的参数方程.【热点透析】主要题型:(1)定义及简单几何性质的灵活运用;(2)求曲线方程(含指定圆锥曲线方程及轨迹方程).题型一般为二小一大,小题基础灵活,解答题一般在中等难度以上,一般具有较高的区分度.★★★突破重难点【范例1】过椭圆左焦点F,倾斜角为60的直线交椭圆于A、B两点,若|FA|=2|FB|,则椭圆的离心率为(B)(A)23(B)23(C)12(D)22解:设点A、B到椭圆左准线的距离分别为d1,d2,|FA|=r1,|FB|=r2,则12112rrdd=e,即d1=22re,同理d2=2re,两式相减得212rdde.因为直线AB的倾斜角为60,2|d1-d2|=|AB|=3r2,e=23【点晴】本题关键在于利用椭圆的第二定义将60倾斜角、|FA|=2|FB|这两个条件与椭圆的离心率建立联系.【文】若F1、F2为双曲线12222byax的左、右焦点,O为坐标原点,点P在双曲线的左支上,点M在双曲线的右准线上,且满足:)(,111OMOMOFOFOPPMOF)0(,则该双曲线的离心率为()A.2B.3C.2D.3解:由PMOF1知四边形F1OMP是平行四边形,又11(OFOFOP)OMOM知OP平分∠F1OM,即F1OMP是菱形,设|OF1|=c,则|PF1|=c.又|PF2|-|PF1|=2a,∴|PF2|=2a+c,由双曲线的第二定义知122eccae,且e>1,∴e=2,故选C.【范例2】定长为3的线段AB的两个端点在y=x2上移动,AB中点为M,求点M到x轴的最短距离.分析:(1)可直接利用抛物线设点,如设A(x1,x12),B(x2,x22),又设AB中点为M(x0,y0)用弦长公式及中点公式得出y0关于x0的函数表达式,用函数思想求出最短距离.(2)M到x轴的距离是一种“点线距离”,可先考虑M到准线的距离,想到用定义.解法一:设A(x1,x12),B(x2,x22),AB中点M(x0,y0)则0222102122221221229)()(yxxxxxxxxx由①得(x1-x2)2[1+(x1+x2)2]=9,即[(x1+x2)2-4x1x2]·[1+(x1+x2)2]=9④由②、③得2x1x2=(2x0)2-2y0=4x02-2y0代入④得[(2x0)2-(8x02-4y0)]·[1+(2x0)2]=9∴2020041944xxy,2200022009944(41)14141yxxxx≥,5192450y当4x02+1=3即220x时,45)(min0y此时)45,22(M法2:如图32222ABBFAFBBAAMM∴232MM,即23411MM,∴451MM,当AB经过焦点F时取得最小值.①②3/8∴M到x轴的最短距离为45【点晴】解法一是列出方程组,利用整体消元思想消x1,x2,从而形成y0关于x0的函数,这是一种“设而不求”的方法.而解法二充分利用了抛物线的定义,巧妙地将中点M到x轴的距离转化为它到准线的距离,再利用梯形的中位线,转化为A、B到准线的距离和,结合定义与三角形中两边之和大于第三边(当三角形“压扁”时,两边之和等于第三边)的属...

1、当您付费下载文档后,您只拥有了使用权限,并不意味着购买了版权,文档只能用于自身使用,不得用于其他商业用途(如 [转卖]进行直接盈利或[编辑后售卖]进行间接盈利)。
2、本站所有内容均由合作方或网友上传,本站不对文档的完整性、权威性及其观点立场正确性做任何保证或承诺!文档内容仅供研究参考,付费前请自行鉴别。
3、如文档内容存在违规,或者侵犯商业秘密、侵犯著作权等,请点击“违规举报”。

碎片内容

专题圆锥曲线的定义性质方程教师版

您可能关注的文档

确认删除?
VIP
微信客服
  • 扫码咨询
会员Q群
  • 会员专属群点击这里加入QQ群
客服邮箱
回到顶部