电脑桌面
添加小米粒文库到电脑桌面
安装后可以在桌面快捷访问

整式的加减(四) (2)VIP免费

整式的加减(四) (2)_第1页
1/13
整式的加减(四) (2)_第2页
2/13
整式的加减(四) (2)_第3页
3/13
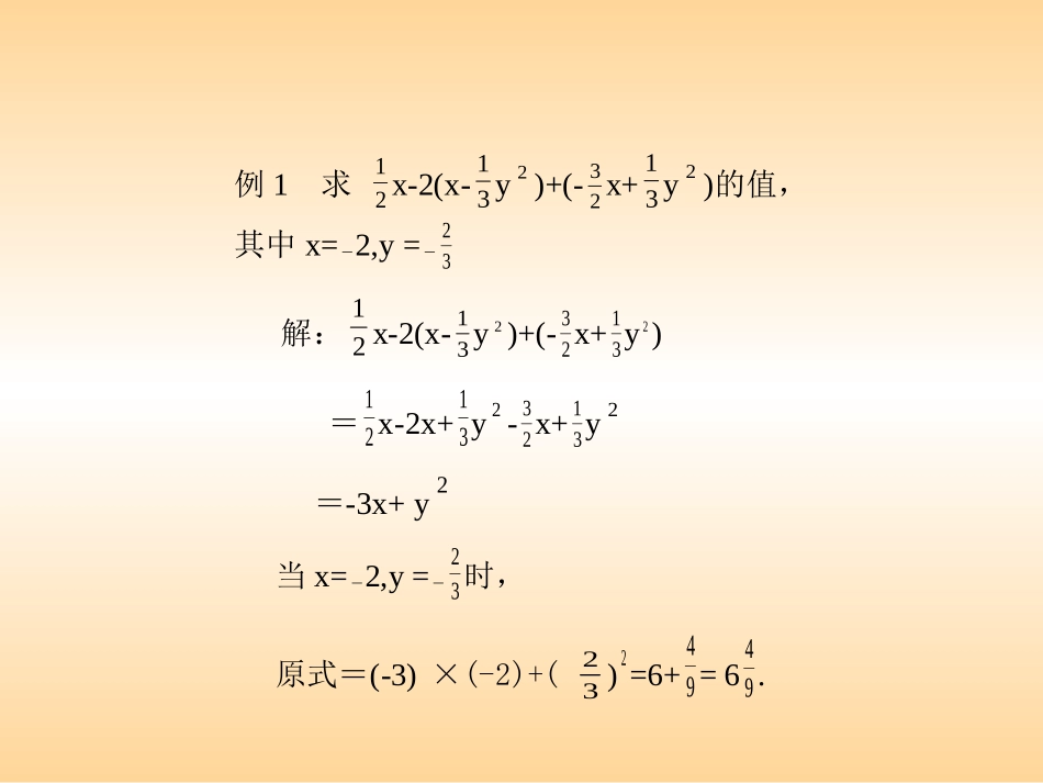
整式的加减(四)整式的加减(四)让我们一起来回答让我们一起来回答11、什么叫同类项?什么叫合并同类项?、什么叫同类项?什么叫合并同类项?22、去括号法则是、去括号法则是33、整式加减运算法则是、整式加减运算法则是例1求21x-2(x-31y2)+(-23x+31y2)的值,其中x=2,y=32解:21x-2(x-31y2)+(-23x+31y2)=21x-2x+31y2-23x+31y2=-3x+y2当x=2,y=32时,原式=(-3)×(-2)+(32)2=6+94=694.试一试按照下面的步骤做一做1、任意写两位数;2、交换这个两位数的十位数字和个位数字,字又得到一个两位数;3、求这两个数的和。再写几个两位数按上面的过程试一试,这些和有什么规律?如果用a、b分别表示一个两位数的十位数字和个位数字,那么这个两位数可以表示为;交换这个两位数的十位数字和个位数字,得到的数是。10a+b10b+a那么:(10a+b)+(10b+a)=。11a+11b你发现的规律是什么?做一做任意写一个三位数交换它的百位数字与个位数字,又得到一个数两个数相减想一想两个数相减后的结果有什么规律,这个规律对任意一个三位数都成立吗?议一议在上面的两个问题中,分别涉及了整式的什么运算?说一说你是如何运算的。需要注意什么?试一试计算:(1)2x²-3x+1与-3x²+5x-7的和;(2)-x²+3xy-y²与-x²+4xy-y²的差。212123数学活动数学活动PP7373————7474活动1(1)2个三角形需个要3+2=5=2×2+1根火柴棍3个三角形需个要3+2+2=2×3+1根火柴棍4个三角形需个要3+2+2+2=2×4+1根火柴棍……n个三角形需个要3+2+2+2+…+2=2n+1根火柴棍(2)由图2可知,第(n-1)个正方形需要个小正方形,第n个正方形需要个小正方形,所以第n个正方形比第(n-1)个正方形多个正方形。n2)1(2nnn22)1(活动2P732.3n(0≤n≤100)买n本笔记本所需钱={2.2n(n>100)(1)按照这种售价规定,会出现多买比少买反而付钱少的情况。(2)如果需要100本笔记本,可以买101本,这样省钱。活动活动33PP7474(1)浅色方框中的9个数之和等于方框正中心的数的9倍;(2)结论和(1)一样(3)在日历中任意圈出3×3个数,这9个数的和是方框正中心的数的9倍;能证明设圈出的9个数如图a-8a-7a-6a-1aa+1a+6a+7a+8则有(a-8)+(a-7)+(a-6)+(a-1)+a+(a+1)+(a+6)+(a+7)+(a+8)=9a(4)这个结论对于任何一个月的月历都成立.(5)对角线之和相等;或四数之和是对角线和的2倍.(6)对角线之和相等;或四数之和是对角线和的2倍.作业:P70练习3P71——727、9、10

1、当您付费下载文档后,您只拥有了使用权限,并不意味着购买了版权,文档只能用于自身使用,不得用于其他商业用途(如 [转卖]进行直接盈利或[编辑后售卖]进行间接盈利)。
2、本站所有内容均由合作方或网友上传,本站不对文档的完整性、权威性及其观点立场正确性做任何保证或承诺!文档内容仅供研究参考,付费前请自行鉴别。
3、如文档内容存在违规,或者侵犯商业秘密、侵犯著作权等,请点击“违规举报”。

碎片内容

整式的加减(四) (2)

您可能关注的文档

中小学文库+ 关注
实名认证
内容提供者

精品资料应用尽有

相关文档

相关标签

确认删除?
VIP
微信客服
  • 扫码咨询
会员Q群
  • 会员专属群点击这里加入QQ群
客服邮箱
回到顶部