电脑桌面
添加小米粒文库到电脑桌面
安装后可以在桌面快捷访问

高二数学周末练习(四)(理科)VIP免费

高二数学周末练习(四)(理科)_第1页
1/4
高二数学周末练习(四)(理科)_第2页
2/4
高二数学周末练习(四)(理科)_第3页
3/4
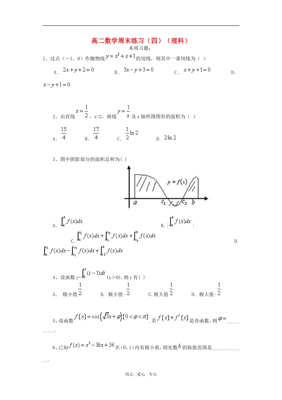
高二数学周末练习(四)(理科)本周习题:1、过点(-1,0)作抛物线的切线,则其中一条切线为()A.B.C.D.2、由直线,x=2,曲线及x轴所围图形的面积为()A.B.C.D.3、图中阴影部分的面积总和为()A.B.||C.D.4、设函数y=(x>0),则y有()A.极小值B.极小值-C.极大值D.极大值-5、设函数.若是奇函数,则__________.6、已知在(0,1)内有极小值,则实数的取值范围是_____________.用心爱心专心7、已知弹簧每拉长0.02m,要用9.8N的力,则把弹簧拉长0.1m所作的功为W=_____________.8、(1)=_____________.(2)_____________.(3)=_____________.9、在等差数列中,若,则有等式成立,类比上述性质,相应地:在等比数列中,若,则有等式_____________成立.10、由曲线C1:y2=x和曲线C2:y=x2所围成的图形的面积是_____________.11、若函数f(x)=loga(x3-ax)(a>0,a≠1)在区间单调递增,求a的取值范围.12、已知a为实数,f(x)=(x2-4)(x-a).①求导数;②若=0,求f(x)在[-2,2]上的最大值和最小值;③若f(x)在和都是单调递增的,求a的取值范围.参考答案:1、D2、D3、D4、B5、6、(0,1)7、2.45焦耳8、(1);(2)0;(3)1用心爱心专心9、.10、11、解析:设,(1)当时,在区间单调递增,则在区间单调递减,即;(2)当时,在区间单调递增,则在区间单调递增,有,不合题意;(3)当时,,,符合题意,综上,.12、解析:(1),(2),,用心爱心专心,,如下表,-2-12+0-0+00则在[-2,2]上的最大值和最小值分别为和.(3),在和都是单调递增的,即有在和上成立,令,方程[1]总有两个不等实根,只需要:用心爱心专心

1、当您付费下载文档后,您只拥有了使用权限,并不意味着购买了版权,文档只能用于自身使用,不得用于其他商业用途(如 [转卖]进行直接盈利或[编辑后售卖]进行间接盈利)。
2、本站所有内容均由合作方或网友上传,本站不对文档的完整性、权威性及其观点立场正确性做任何保证或承诺!文档内容仅供研究参考,付费前请自行鉴别。
3、如文档内容存在违规,或者侵犯商业秘密、侵犯著作权等,请点击“违规举报”。

碎片内容

高二数学周末练习(四)(理科)

您可能关注的文档

海博书城+ 关注
实名认证
内容提供者

从事历史教学,热爱教育,高度负责。

确认删除?
VIP
微信客服
  • 扫码咨询
会员Q群
  • 会员专属群点击这里加入QQ群
客服邮箱
回到顶部