电脑桌面
添加小米粒文库到电脑桌面
安装后可以在桌面快捷访问

高二数学 三角函数式的化简与求值同步练习 苏教版VIP免费

高二数学 三角函数式的化简与求值同步练习 苏教版_第1页
1/3
高二数学 三角函数式的化简与求值同步练习 苏教版_第2页
2/3
高二数学 三角函数式的化简与求值同步练习 苏教版_第3页
3/3
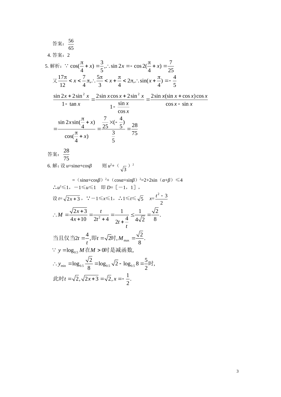
高二数学三角函数式的化简与求值同步练习苏教版(答题时间:30分钟)1.已知方程x2+4ax+3a+1=0(a>1)的两根均tanα、tanβ,且α,β∈(-2,2),则tan2的值是()A.21B.-2C.34D.21或-22.已知sinα=53,α∈(2,π),tan(π-β)=21,则tan(α-2β)=______。3.设α∈(43,4),β∈(0,4),cos(α-4)=53,sin(43+β)=135,则sin(α+β)=_________。4.不查表求值:.10cos1)370tan31(100sin130sin25.已知cos(4+x)=53,(1217<x<47=,求xxxtan1sin22sin2的值。6.已知cosα+sinβ=3,sinα+cosβ的取值范围是D,x∈D,求函数y=10432log21xx的最小值,并求取得最小值时x的值。1【试题答案】1.解析:∵a>1,tanα+tanβ=-4a<0新疆源头学子小屋特级教师王新敞http://www.xjktyg.com/wxc/wxckt@126.comwxckt@126.comhttp://www.xjktyg.com/wxc/王新敞特级教师源头学子小屋新疆tanα+tanβ=3a+1>0,又α、β∈(-2,2)∴α、β∈(-2,0),则2∈(-2,0),又tan(α+β)=342tan12tan2)tan(,34)13(14tantan1tantan2又aa,整理得2tan222tan32=0,解得tan2=-2答案:B2.解析:∵sinα=53,α∈(2,π),∴cosα=-54则tanα=-43,又tan(π-β)=21可得tanβ=-212212()2tan42tan2.11tan31()2答案:2473.解析:α∈(43,4),α-4∈(0,2),又cos(α-4)=531312)43cos(135)43sin(),43(43)4,0(,54)4sin(6556)sin(655613554)1312(53)43sin()4sin()43cos()4cos()]43()4cos[(]2)43()4sin[()sin(即2答案:65564.答案:25.解析:257)4(2cos2sin,53)4cos(xxx又54)4sin(,2435,471217xxx752853)54(257)4cos()4sin(2sinsincoscos)cos(sinsin2cossin1sin2cossin2tan1sin22sin22xxxxxxxxxxxxxxxxx答案:75286.解:设u=sinα+cosβ则u2+(3)2=(sinα+cosβ)2+(cosα+sinβ)2=2+2sin(α+β)≤4∴u2≤1,-1≤u≤1即D=[-1,1],设t=32x,∵-1≤x≤1,∴1≤t≤5x=232t2max0.5min0.50.50.523112.4410248422422,2,.8log0,25loglog2log8,8212,232,.2xtMxtttttMtyMMytxx当且仅当即时在时是减函数时此时3

1、当您付费下载文档后,您只拥有了使用权限,并不意味着购买了版权,文档只能用于自身使用,不得用于其他商业用途(如 [转卖]进行直接盈利或[编辑后售卖]进行间接盈利)。
2、本站所有内容均由合作方或网友上传,本站不对文档的完整性、权威性及其观点立场正确性做任何保证或承诺!文档内容仅供研究参考,付费前请自行鉴别。
3、如文档内容存在违规,或者侵犯商业秘密、侵犯著作权等,请点击“违规举报”。

碎片内容

高二数学 三角函数式的化简与求值同步练习 苏教版

您可能关注的文档

远洋启航书店+ 关注
实名认证
内容提供者

从事历史教学,热爱教育,高度负责。

相关文档

确认删除?
VIP
微信客服
  • 扫码咨询
会员Q群
  • 会员专属群点击这里加入QQ群
客服邮箱
回到顶部