电脑桌面
添加小米粒文库到电脑桌面
安装后可以在桌面快捷访问

整式的加减复习-(3)VIP免费

整式的加减复习-(3)_第1页
1/3
整式的加减复习-(3)_第2页
2/3
整式的加减复习-(3)_第3页
3/3
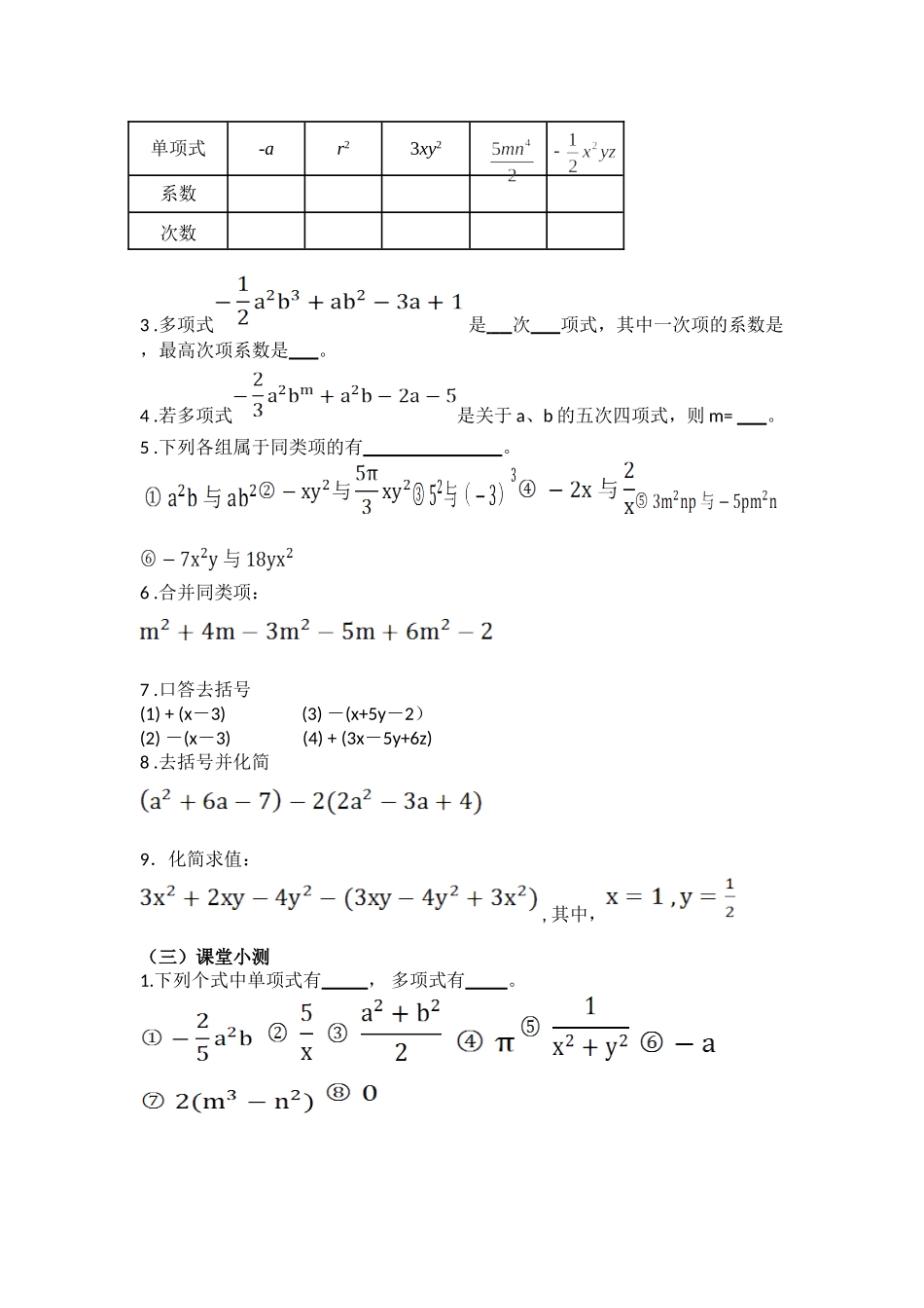
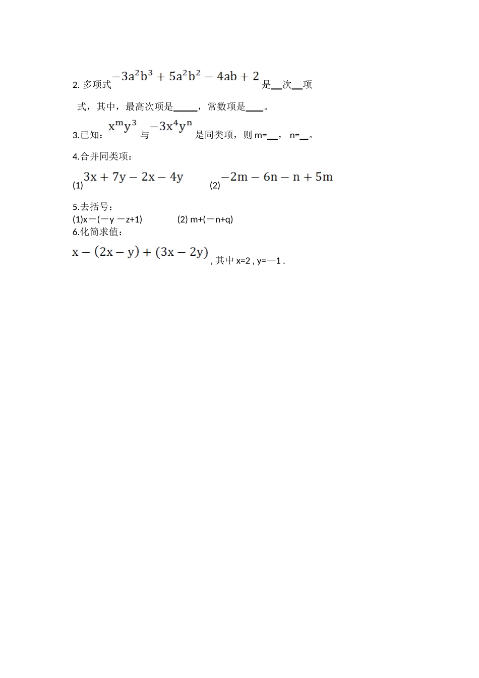
整式的加减复习设计方案一、学情分析学生已经学习完整式这一章所有的知识,对知识已经有所掌握,目前需要一个系统的串讲,将知识联系起来,做到结构化、系统化,针对这一需要,我设置了本节课程。二、三维目标(一)知识与技能:进一步理解整式、单项式、多项式、同类项的概念;熟练指出单项式的系数、次数和多项式的项数、次数;掌握合并同类项法则;能灵活应用去括号法则,进行整式加减运算。(二)过程与方法:通过回忆和交流,经历对已有知识的归纳;对本章内容的认识更全面、更系统化;通过应用与实践,提高分析问题、解决问题的能力;培养学生主动分析问题的习惯。(三)情感态度与价值观:在独立思考的基础上,积极参与对数学问题的讨论与交流,从中获益;体会数学来源于生活又作用于生活,从而获得成功的喜悦。三、教学过程(一)知识梳理1.单项式:数或字母的的式子叫做单项式,单独的一个或一个也是单项式。2.系数:单项式中的叫做单项式的系数。3.次数:单项式中所有字母的指数的叫做单项式的次数。4.多项式:几个单项式的叫做多项式。5.项:多项式中的每个叫做多项式的项。6.常数项:不含的项叫做常数项。7.次数:多项式里,次数最的项的叫做这个多项式的次数。8.同类项:所含相同,并且的也相同的项叫做同类项。9.合并同类项:把多项式中的合并成一项。10.合并同类项的法则:合并同类项后所得项的系数是合并前各同类项的系数的,且字母连同它的指数。11.去括号法则:(1)如果括号外的因数是正数,去括号后原括号内各项的符号与原来的符号。(2)如果括号外的因数是负数,去括号后原括号内各项的符号与原来的符号。12.整式加减的步骤:(1)去;(2)合并(二)练习1.在式子3m+n,-2mn,p,,0中,单项式的个数是()A.3B.4C.5D.62.填表3.多项式是次项式,其中一次项的系数是,最高次项系数是。4.若多项式是关于a、b的五次四项式,则m=。5.下列各组属于同类项的有。6.合并同类项:7.口答去括号(1)+(x-3)(3)-(x+5y-2)(2)-(x-3)(4)+(3x-5y+6z)8.去括号并化简9.化简求值:,其中,(三)课堂小测1.下列个式中单项式有,多项式有。单项式-ar23xy2系数次数2.多项式是次项式,其中,最高次项是,常数项是。3.已知:与是同类项,则m=,n=。4.合并同类项:(1)(2)5.去括号:(1)x-(-y-z+1)(2)m+(-n+q)6.化简求值:,其中x=2,y=—1.

1、当您付费下载文档后,您只拥有了使用权限,并不意味着购买了版权,文档只能用于自身使用,不得用于其他商业用途(如 [转卖]进行直接盈利或[编辑后售卖]进行间接盈利)。
2、本站所有内容均由合作方或网友上传,本站不对文档的完整性、权威性及其观点立场正确性做任何保证或承诺!文档内容仅供研究参考,付费前请自行鉴别。
3、如文档内容存在违规,或者侵犯商业秘密、侵犯著作权等,请点击“违规举报”。

碎片内容

整式的加减复习-(3)

您可能关注的文档

确认删除?
VIP
微信客服
  • 扫码咨询
会员Q群
  • 会员专属群点击这里加入QQ群
客服邮箱
回到顶部