电脑桌面
添加小米粒文库到电脑桌面
安装后可以在桌面快捷访问

九年级数学上册 二次根式检测作业7-9 新人教版试卷VIP免费

九年级数学上册 二次根式检测作业7-9 新人教版试卷_第1页
1/3
九年级数学上册 二次根式检测作业7-9 新人教版试卷_第2页
2/3
九年级数学上册 二次根式检测作业7-9 新人教版试卷_第3页
3/3
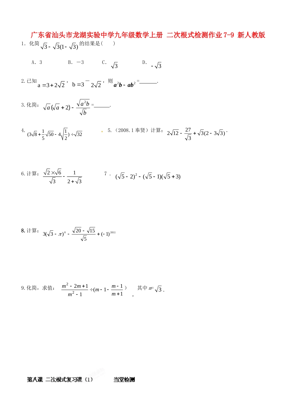
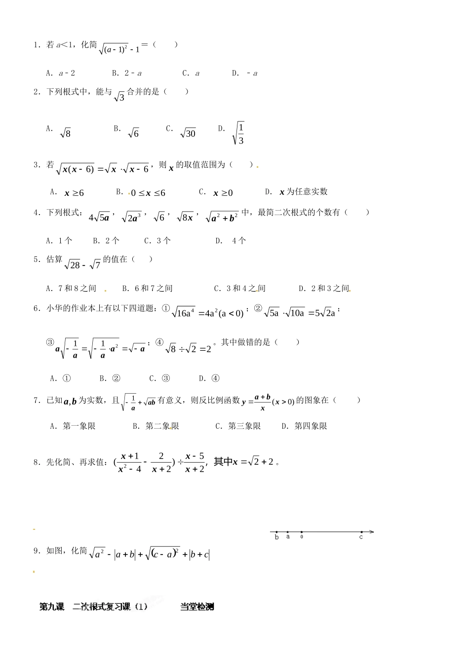
广东省汕头市龙湖实验中学九年级数学上册二次根式检测作业7-9新人教版1.化简33(13)的结果是()A.3B.-3C.3D.32.已知a322,b3-22,则22abba=.3.化简:bbaaa22)(=.4.11(38504)32525.(2008.1奉贤)计算:)332(3327122.6.计算:2613237.)35)(15()25(28.计算:20110)1(51520)3(39.化简,求值:111(11222mmmmmm),其中m=3.1.若a<1,化简2(1)1a=()A.a﹣2B.2﹣aC.aD.﹣a2.下列根式中,能与3合并的是()A.8B.6C.30D.313.若6)6(xxxx,则x的取值范围为()A.6xB.60xC.0xD.x为任意实数4.下列根式:a54,32a,6,x8,22ba中,最简二次根式的个数有()A.1个B.2个C.3个D.4个5.估算728的值在()A.7和8之间B.6和7之间C.3和4之间D.2和3之间6.小华的作业本上有以下四道题:①4216a4a(a0);②a25a10a5;③aaaaa211;④228。其中做错的是()A.①B.②C.③D.④7.已知ba,为实数,且aba1有意义,则反比例函数)0(xxbay的图象在()A.第一象限B.第二象限C.第三象限D.第四象限8.先化简、再求值:2225)2241(2xxxxxx,其中。9.如图,化简cbacbaa221.计算:81428=.2.计算:705213=.3.计算:122=_________.4.计算:15÷(52)=____________.5.化简:555.6.计算:2(232)_____________.10.先化简,再求值:12)113(2xxxxxx,其中23x.11.(1)有这样一个问题:2与下列哪些数相乘,结果是有理数?A.32B.22C.23D.32E.0(1)问题的答案是(只需填字母):;(2)如果一个数与2相乘的结果是有理数,则这个数的一般形式是什么(用代数式表示).

1、当您付费下载文档后,您只拥有了使用权限,并不意味着购买了版权,文档只能用于自身使用,不得用于其他商业用途(如 [转卖]进行直接盈利或[编辑后售卖]进行间接盈利)。
2、本站所有内容均由合作方或网友上传,本站不对文档的完整性、权威性及其观点立场正确性做任何保证或承诺!文档内容仅供研究参考,付费前请自行鉴别。
3、如文档内容存在违规,或者侵犯商业秘密、侵犯著作权等,请点击“违规举报”。

碎片内容

九年级数学上册 二次根式检测作业7-9 新人教版试卷

您可能关注的文档

;绿洲书城+ 关注
实名认证
内容提供者

从事历史教学,热爱教育,高度负责。

确认删除?
VIP
微信客服
  • 扫码咨询
会员Q群
  • 会员专属群点击这里加入QQ群
客服邮箱
回到顶部