电脑桌面
添加小米粒文库到电脑桌面
安装后可以在桌面快捷访问

四川省南充市高三数学第二次(3月)适应性考试试卷 理答案 四川省南充市届高三数学第二次(3月)适应性考试试卷 理(pdf) 四川省南充市届高三数学第二次(3月)适应性考试试卷 理(pdf)VIP免费

四川省南充市高三数学第二次(3月)适应性考试试卷 理答案 四川省南充市届高三数学第二次(3月)适应性考试试卷 理(pdf) 四川省南充市届高三数学第二次(3月)适应性考试试卷 理(pdf)_第1页
1/5
四川省南充市高三数学第二次(3月)适应性考试试卷 理答案 四川省南充市届高三数学第二次(3月)适应性考试试卷 理(pdf) 四川省南充市届高三数学第二次(3月)适应性考试试卷 理(pdf)_第2页
2/5
四川省南充市高三数学第二次(3月)适应性考试试卷 理答案 四川省南充市届高三数学第二次(3月)适应性考试试卷 理(pdf) 四川省南充市届高三数学第二次(3月)适应性考试试卷 理(pdf)_第3页
3/5
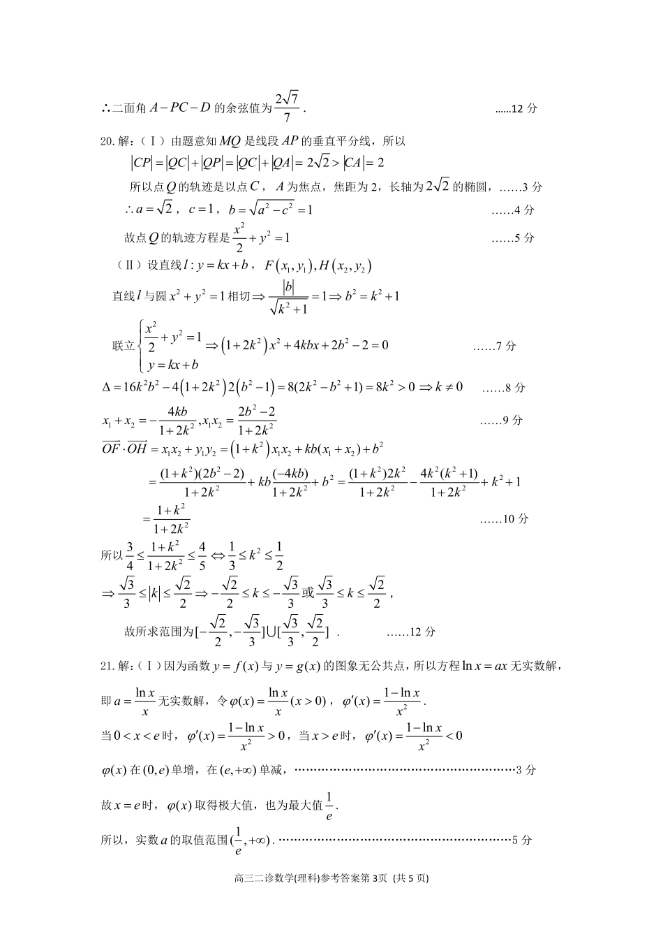
高三二诊数学(理科)参考答案第1页(共5页)南充市高2018届第二次高考适应性考试数学试题(理科)参考答案一、选择题:1.C2.B3.A4.B5.A6.D7.C8.B9.C10.A11.B12.D二、填空题:13.82514.3215.316.3m三、解答题:17.解:(Ⅰ)因为ABC,所以sin()sin()sinABCC,…………2分即sinsinsinCabABac,由正弦定理可得cababac,即222acbac……4分则由余弦定理有2221cos22acbBac,又(0,)B,所以3B.……………6分(Ⅱ)2222cos23bacacacacac,当且仅当ac时取等号,即3ac.………………………………………………………9分故133sin234Sac.故S的最大值为334………………………………………12分18.解:(Ⅰ)22联表如下:文科生理科生合计获奖53540不获奖45115160合计50150200………………………………3分由表中数据可得:2200(51153545)254.1673.84140160501506k所以有超过95%的把握认为“获奖与学生的文理科有关”……………………………6分(Ⅱ)由表中数据可知,抽到获奖学生的概率为15…………………………………8分将频率视为概率,所以X可取0,1,2,3且1~(3,)5XB3311()()(1)(0,1,2,3)55kkkPXkCk…………………………………………10分X0123P6412548125121251125高三二诊数学(理科)参考答案第2页(共5页)期望64481213()01231251251251255EX……………………………12分19.解:(Ⅰ)取AB中点O,连接AC、CO、PO, 四边形ABCD是边长为2的菱形,∴2ABBC. 60ABC,∴ABC是等边三角形.∴COAB,3OC.……2分 PAPB,∴112POAB. 2PC,∴222OPOCPC.∴COPO.………………………………..…4分 ABPOOI,∴CO平面PAB. CO平面ABCD,∴平面PAB平面ABCD.………………………………..…5分(Ⅱ) PAPB,O为AB的中点∴POAO.由(Ⅰ)知,平面PAB平面ABCD,∴PO平面ABCD,∴直线,,OCOBOP两两垂直.以O为原点建立空间直角坐标系Oxyz,如图,则(0,0,0),(0,1,0),(0,1,0),(3,0,0),(3,2,0),(0,0,1)OABCDP.∴(0,1,1),(3,0,1),(0,2,0)APPCDC.……6分设平面APC的法向量为(,,)xyzm,由00APPCmm,得030yzxz,取1x,得(1,3,3)m,……8分设平面PCD的法向量为(,,)xyzn,由00PCDCnn,得3020xzy,取1x,得(1,0,3)n,……10分∴27cos,7mnmnmn,由图可知二面角APCD为锐二面角,高三二诊数学(理科)参考答案第3页(共5页)∴二面角APCD的余弦值为277.……12分20.解:(Ⅰ)由题意知MQ是线段AP的垂直平分线,所以222CPQCQPQCQACA所以点Q的轨迹是以点C,A为焦点,焦距为2,长轴为22的椭圆,……3分2a,1c,221bac……4分故点Q的轨迹方程是2212xy……5分(Ⅱ)设直线:lykxb,1122,,,FxyHxy直线l与圆221xy相切222111bbkk联立2212xyykxb222124220kxkbxb……7分222222216412218(21)80kbkbkbk0k……8分2121222422,1212kbbxxxxkk……9分22121212121()OFOHxxyykxxkbxxb22222(1)(22)(4)1212kbkbkbbkk2222222(1)24(1)11212kkkkkkk22112kk……10分所以223144125kk21132k322332322332kkk或,故所求范围为2332[,][,]2332U.……12分21.解:(Ⅰ)因为函数()yfx与()ygx的图象无公共点,所以方程lnxax无实数解,即lnxax无实数解,令ln()(0)xxxx,21ln()xxx.当0xe时,21ln()0xxx,当xe时,21ln()0xxx()x在(0,)e单增,在(,)e单减,…………………………………………………3分故xe时,()x取得极大值,也为最大值1e.所以,实数a的取值...

1、当您付费下载文档后,您只拥有了使用权限,并不意味着购买了版权,文档只能用于自身使用,不得用于其他商业用途(如 [转卖]进行直接盈利或[编辑后售卖]进行间接盈利)。
2、本站所有内容均由合作方或网友上传,本站不对文档的完整性、权威性及其观点立场正确性做任何保证或承诺!文档内容仅供研究参考,付费前请自行鉴别。
3、如文档内容存在违规,或者侵犯商业秘密、侵犯著作权等,请点击“违规举报”。

碎片内容

四川省南充市高三数学第二次(3月)适应性考试试卷 理答案 四川省南充市届高三数学第二次(3月)适应性考试试卷 理(pdf) 四川省南充市届高三数学第二次(3月)适应性考试试卷 理(pdf)

您可能关注的文档

确认删除?
VIP
微信客服
  • 扫码咨询
会员Q群
  • 会员专属群点击这里加入QQ群
客服邮箱
回到顶部