电脑桌面
添加小米粒文库到电脑桌面
安装后可以在桌面快捷访问

九年级数学上册(二次根式)单元综合测试(无答案) 新人教版试卷VIP免费

九年级数学上册(二次根式)单元综合测试(无答案) 新人教版试卷_第1页
1/5
九年级数学上册(二次根式)单元综合测试(无答案) 新人教版试卷_第2页
2/5
九年级数学上册(二次根式)单元综合测试(无答案) 新人教版试卷_第3页
3/5
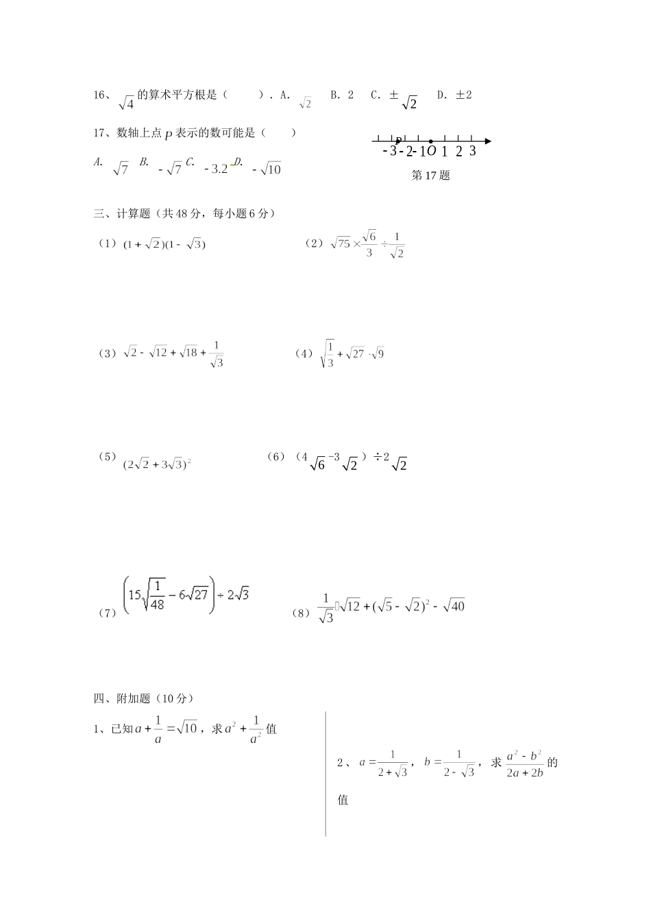
0ab湖南省宁乡县三仙坳初级中学九年级数学上册《二次根式》单元综合测试新人教版一、填空题(共30分,每空3分)1、当x______________时,在实数范围内有意义。2、=______;3、_____________。4、化简:=,5、化简:=。6、计算=。7、实数a、b在数轴上如图所示,则化简的结果是________.8、如果最简二次根式与是同类根式,那么a=9、如果,则________。10、观察并分析下列数据,寻找规律:0,,2,,2,,2,……那么第10个数据应是.二、选择题(共21分,每题3分)11、下列格式中一定是二次根式的是()A、B、C、D、12、下列二次根式中,是最简二次根式的是()A.B.C.D.13、下列二次根式中,与是同类二次根式的是()A、B、C、D、14、下列二次根式中,与能合并的是()A、B、C、D、15、下列计算正确的是()A.B.C.D.16、的算术平方根是().A.B.2C.±2D.±217、数轴上点表示的数可能是()A.B.C.D.三、计算题(共48分,每小题6分)(1)(2)(3)(4)(5)(6)(46-32)÷22(7)(8)四、附加题(10分)1、已知,求值2、,,求的值321O123P第17题0ab九年级数学上册《二次根式》单元测试B卷班级姓名评分一、填空题(共40分,每空4分)1、当x______________时,在实数范围内有意义。2、=_____________。3、化简:=,=,=。4、计算=。5、实数a、b在数轴上如图所示,则化简的结果是________.6、如果最简二次根式与是同类根式,那么a=7、使成立的条件是。8、观察并分析下列数据,寻找规律:0,,,3,2,,3,……那么第10个数据应是.二、选择题(共20分,每题4分)1、下列格式中一定是二次根式的是()A、B、C、D、2、如果是二次根式,那么应满足的条件是()A、B、C、≥D、≤3、下列计算正确的是()A.B.C.D.4、化简二次根式得()A、B、C、18D、65、数轴上点表示的数可能是()A.B.C.D.321O123P第5题三、计算题(共18分,每小题6分)(1)(2)(3)四、解答题(共22分,第1小题10分,第2小题12分)1、若,,求代数式的值。2、已知实数满足,求的值附加题(共10分),,求的值

1、当您付费下载文档后,您只拥有了使用权限,并不意味着购买了版权,文档只能用于自身使用,不得用于其他商业用途(如 [转卖]进行直接盈利或[编辑后售卖]进行间接盈利)。
2、本站所有内容均由合作方或网友上传,本站不对文档的完整性、权威性及其观点立场正确性做任何保证或承诺!文档内容仅供研究参考,付费前请自行鉴别。
3、如文档内容存在违规,或者侵犯商业秘密、侵犯著作权等,请点击“违规举报”。

碎片内容

九年级数学上册(二次根式)单元综合测试(无答案) 新人教版试卷

您可能关注的文档

慧源书店+ 关注
实名认证
内容提供者

从事历史教学,热爱教育,高度负责。

确认删除?
VIP
微信客服
  • 扫码咨询
会员Q群
  • 会员专属群点击这里加入QQ群
客服邮箱
回到顶部