电脑桌面
添加小米粒文库到电脑桌面
安装后可以在桌面快捷访问

云南师范大学热力学统计物理期末复习讲解VIP免费

云南师范大学热力学统计物理期末复习讲解_第1页
1/16
云南师范大学热力学统计物理期末复习讲解_第2页
2/16
云南师范大学热力学统计物理期末复习讲解_第3页
3/16
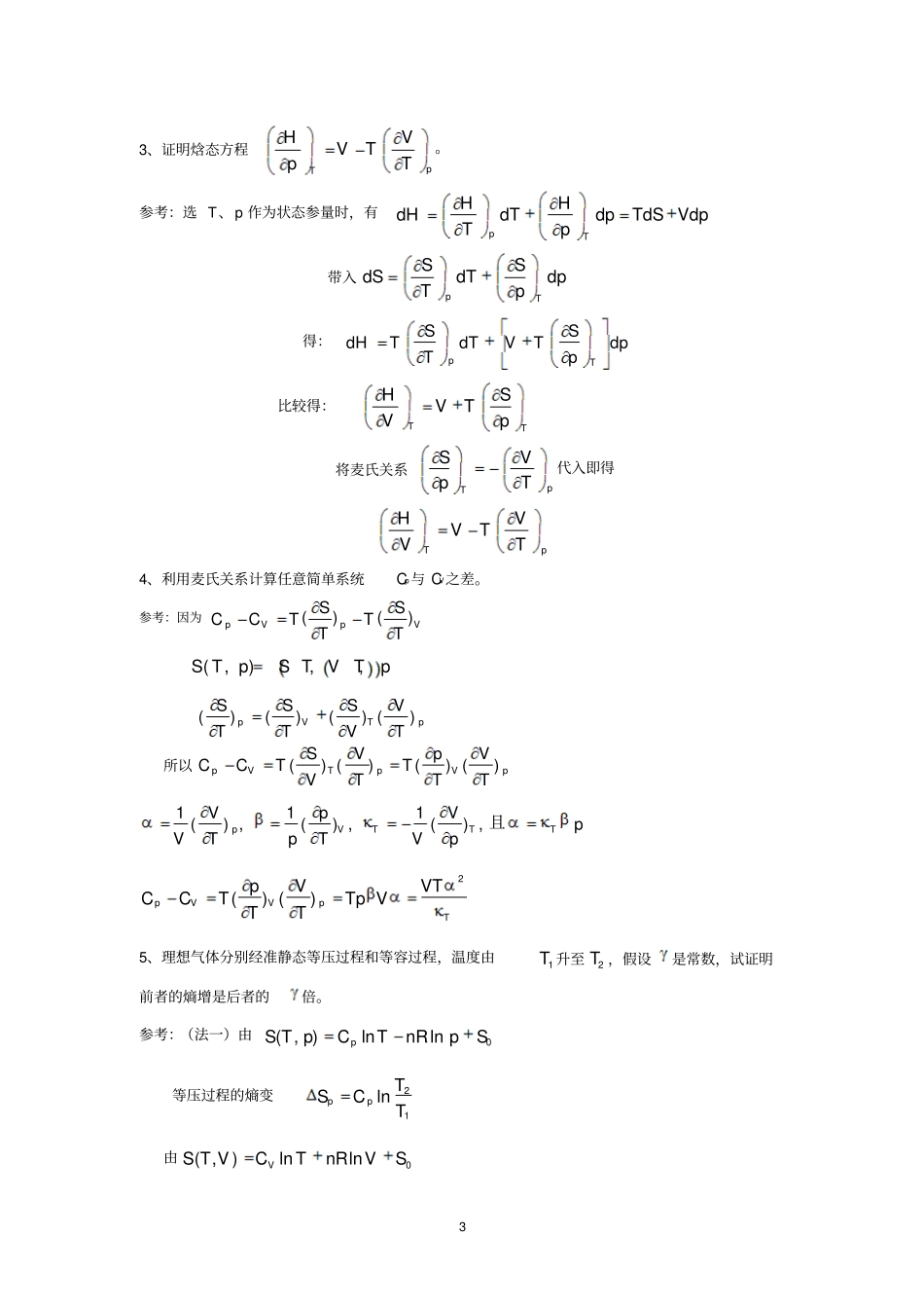
1各章知识点整理和复习第一章热力学的基本定律知识点1、热力学第一定律dUdQdW2、热力学第二定律3、热力学基本方程dUTdSpdV4、热力学第二定律的数学表述dUTdSpdV5、克劳修斯熵BRBAAdQSST,玻尔兹曼熵lnSk6、熵增加原理。复习题1、简述热力学第二定律及其统计解释。参考:热力学第二定律的开尔文表述:热不可能全部转变为功而不引起其他变化。热力学第二定律的克劳修斯表述:热量不能自动地从低温物体传向高温物体。或第二类永动机不可能。热力学第二定律的微观意义是,一切自然过程总是沿着分子热运动的无序性(或混乱度)增大的方向进行,系统对应的微观状态数增大,根据玻尔兹曼熵lnSk,因此系统的熵值增加,即熵增加原理。2、简述熵增加原理及其统计解释。参考:孤立系统中所进行的自然过程总是沿着熵增大的方向进行。根据玻尔兹曼熵公式lnSk,可知孤立系统中所进行的自然过程总是向着微观状态数(或混乱度)增大的方向进行。第二章均匀物质的热力学性质知识点1、基本热力学函数的全微分和麦氏关系的得出。2dUTdSpdVdHTdSVdpdFSdTpdVdGSdTVdp()()()()()()()()SVSpTVTpTpVSTVpSSpVTSVpT2、麦氏关系的应用。2、气体的节流过程。3、特性函数的应用。4、热辐射(平衡辐射)的热力学结果,斯特方玻尔兹曼定律。复习题1、写出焦汤系数的数学表达式,简述节流过程的特点;利用焦汤系数分析通过节流产生致冷效应、致温效应和零效应的原理。(P57)2、证明能态方程TVUpTpVT。参考:选T、V作为状态参量时,有VTUUdUdTdVTdSpdVTVVTSSdSdTdVTV得:VTSSdUTdTTpdVTV比较得:TTUSTpVV将麦氏关系TVSpVT代入,即得TVUpTpVT33、证明焓态方程pTHVVTpT。参考:选T、p作为状态参量时,有pTHHdHdTdpTdSVdpTp带入pTSSdSdTdpTp得:pTSSdHTdTVTdpTp比较得:TTHSVTVp将麦氏关系pTSVpT代入即得TpHVVTVT4、利用麦氏关系计算任意简单系统Cp与CV之差。参考:因为()()pVpVSSCCTTTT(,),,STpSTVTp()()()()pVTpSSSVTTVT所以()()pVTpSVCCTVT()()VppVTTT111(),(),(),pVTTTVpVpVTpTVp且2()()pVVpTpVVTCCTTpVTT5、理想气体分别经准静态等压过程和等容过程,温度由1T升至2T,假设是常数,试证明前者的熵增是后者的倍。参考:(法一)由0(,)lnlnpSTpCTnRpS等压过程的熵变21lnppTSCT由0(,)lnlnVSTVCTnRVS4等容过程的熵变21lnVVTSCTppVVSCSC(法二)由RdQdST理想气体准静态等压过程21lnlnpppppdQCdTTdSSCTTT理想气体准静态等容过程21lnlnVVVVVdQCdTTdSSCTTT所以ppVVSCSC6、求证等温压缩系数与绝热压缩系数之比等于定压热容量与定容热容量之比。参考:因为1()TTVVp,1()SSVVp所以1()1()TTSSVVpVVp(,)(,)(,)(,)VTpTVSpS(,)(,)(,)(,)pSpTVSVT()()pVSTSTpVCC7、试证明在相同的压强降落下,气体在准静态绝热膨胀中的温度降落大于在节流过程中的温度降落。参考:气体在准静态节流过程中()()1()[]()TpHpppHVVTTpTTVVHpCCT气体在准静态绝热膨胀过程中()()()/()TpSpppSVTTVpTSpCTCT所以()()0pSHCTTppT即在相同的压强降落下气体在准静态绝热膨胀中的温度降落大于在节流过程中的温度降落。8、已知简单热力学系统的吉布斯函数为(,)GTp,求系统的熵、物态方程、内能、焓和自5由能。参考:因为()()pTGGdGSdTVdpdTdpTp可得熵和物态方程(),()pTGGSVTp内能()()TpGGUGpVTSGpTpT焓()pGHGTSGTT自由能()TGFGpVGpp9、已知简单热力学系统的特性函数自由能为(,)FTV,求系统的熵、物态方程、内能和焓。参考:自由能的全微分()(),VTFFdFdTdVTV比较热力学方程dFSdTpdV得熵和物态方程()VFST()TFpV内能FUFSTFTT焓FFHUpVFTVTV吉布斯函数FFFFGHSTFTVTFVTVTV10、已知简单热力学系统的特性函数内能U,利用特性函数的性质确定其它热力学函数。11、已知简单热力学系统的特性函数焓H,利用特性函数的性质确定其它热力学函数。第三章单元系的相变知识点1、热动平衡判据(熵判据、自由能判据、吉布斯函数判据等)2、单元系的复相平衡条件3、单元系的复相平衡性质(相图、相平衡曲线、克拉伯龙方程)4、相变的分类(艾伦费斯特的分类)复习题1、写出均匀系统平衡的稳定性条件;假如子系统的温度由于涨落或某种外界影响而略高于媒质(T↑),或者子系统的体积发生收缩...

1、当您付费下载文档后,您只拥有了使用权限,并不意味着购买了版权,文档只能用于自身使用,不得用于其他商业用途(如 [转卖]进行直接盈利或[编辑后售卖]进行间接盈利)。
2、本站所有内容均由合作方或网友上传,本站不对文档的完整性、权威性及其观点立场正确性做任何保证或承诺!文档内容仅供研究参考,付费前请自行鉴别。
3、如文档内容存在违规,或者侵犯商业秘密、侵犯著作权等,请点击“违规举报”。

碎片内容

云南师范大学热力学统计物理期末复习讲解

爱的疯狂+ 关注
实名认证
内容提供者

该用户很懒,什么也没介绍

确认删除?
VIP
微信客服
  • 扫码咨询
会员Q群
  • 会员专属群点击这里加入QQ群
客服邮箱
回到顶部