电脑桌面
添加小米粒文库到电脑桌面
安装后可以在桌面快捷访问

人卫版有机化学第八版测试题答案VIP免费

人卫版有机化学第八版测试题答案_第1页
1/2
人卫版有机化学第八版测试题答案_第2页
2/2
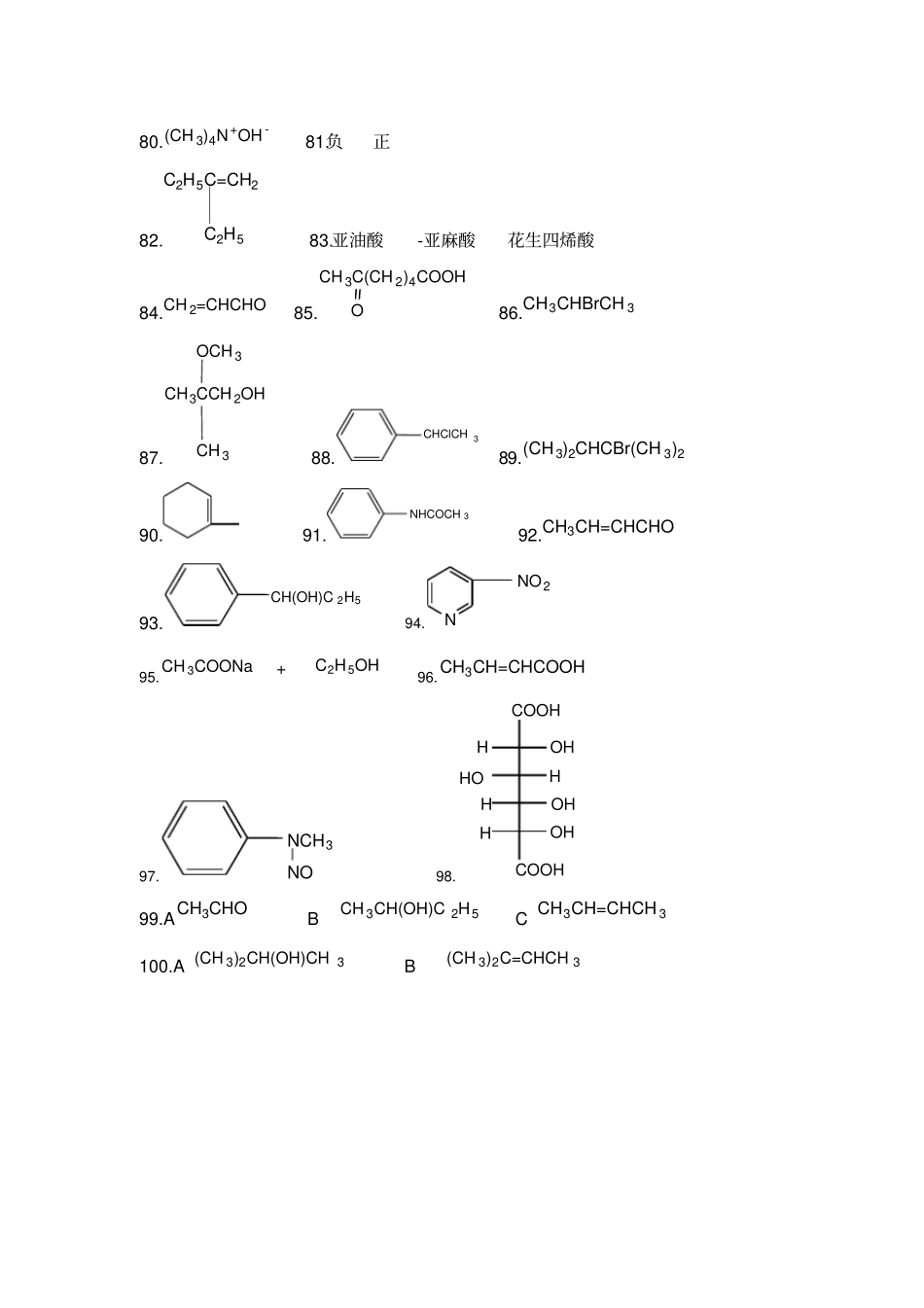
测试题答案1—20BCDBAACACBBACDDDCCAC21.链引发,链增长,链终止22.由下而上、下进上出23.(CH3)3COH24.NCH3H25.硝基苯,苯,苯酚26.N-乙基苯胺27.CH3CH(Cl)CHO28.CH3OCH(CH3)229.亚油酸,α-亚麻酸,花生四烯(也可亚油酸,亚麻酸,花生四烯酸)30.CH2=CHCH2CH331.Br2水32.硝化,氧化33.β-丁酮酸,β-羟基丁酸34.CH3CH2MgBr35.C2H536.CH3C(Br)2CH337.CH3CH2CN38.CH339.CH3CH=CHCHO40.+CH3IOH41.CH3CH(Br)CH=CH242.CH3COC2H5OHH43.CH3CH=CHCH2OH44.NHCOCH345.CH3CH=CHCOOH46.NNO247.CH3NCH2CH3NO48.RCH2NH2+CO249.ACH3CH2CH2BrBCH3CH=CH250.ACH3CH(OH)CH(CH3)2BCH3COCH(CH3)2CCH3CH=C(CH3)251.ACH3CHOBCH3CH(OH)C2H5CCH3CH=CHCH352.A(CH3)2CH(OH)CH3B(CH3)2C=CHCH353—72CBDCDBCBCBACACBDBDBC73.下、上左、右74.亲电取代(离子型)、自由基75.BAC76.N,N-二甲基丙酰胺77.(Z)-3-甲基-3-庚烯78.稀碱性79.白色80.(CH3)4N+OH-81.负正82.C2H5C=CH2C2H583.亚油酸-亚麻酸花生四烯酸84.CH2=CHCHO85.CH3C(CH2)4COOHO86.CH3CHBrCH387.CH3CCH2OHOCH3CH388.CHClCH389.(CH3)2CHCBr(CH3)290.91.NHCOCH392.CH3CH=CHCHO93.CH(OH)C2H594.NNO295.CH3COONa+C2H5OH96.CH3CH=CHCOOH97.NCH3NO98.HCOOHHHHOHOHOHHOCOOH99.ACH3CHOBCH3CH(OH)C2H5CCH3CH=CHCH3100.A(CH3)2CH(OH)CH3B(CH3)2C=CHCH3

1、当您付费下载文档后,您只拥有了使用权限,并不意味着购买了版权,文档只能用于自身使用,不得用于其他商业用途(如 [转卖]进行直接盈利或[编辑后售卖]进行间接盈利)。
2、本站所有内容均由合作方或网友上传,本站不对文档的完整性、权威性及其观点立场正确性做任何保证或承诺!文档内容仅供研究参考,付费前请自行鉴别。
3、如文档内容存在违规,或者侵犯商业秘密、侵犯著作权等,请点击“违规举报”。

碎片内容

人卫版有机化学第八版测试题答案

确认删除?
VIP
微信客服
  • 扫码咨询
会员Q群
  • 会员专属群点击这里加入QQ群
客服邮箱
回到顶部