电脑桌面
添加小米粒文库到电脑桌面
安装后可以在桌面快捷访问

数理统计教程课后重要答案习题VIP免费

数理统计教程课后重要答案习题_第1页
1/18
数理统计教程课后重要答案习题_第2页
2/18
数理统计教程课后重要答案习题_第3页
3/18
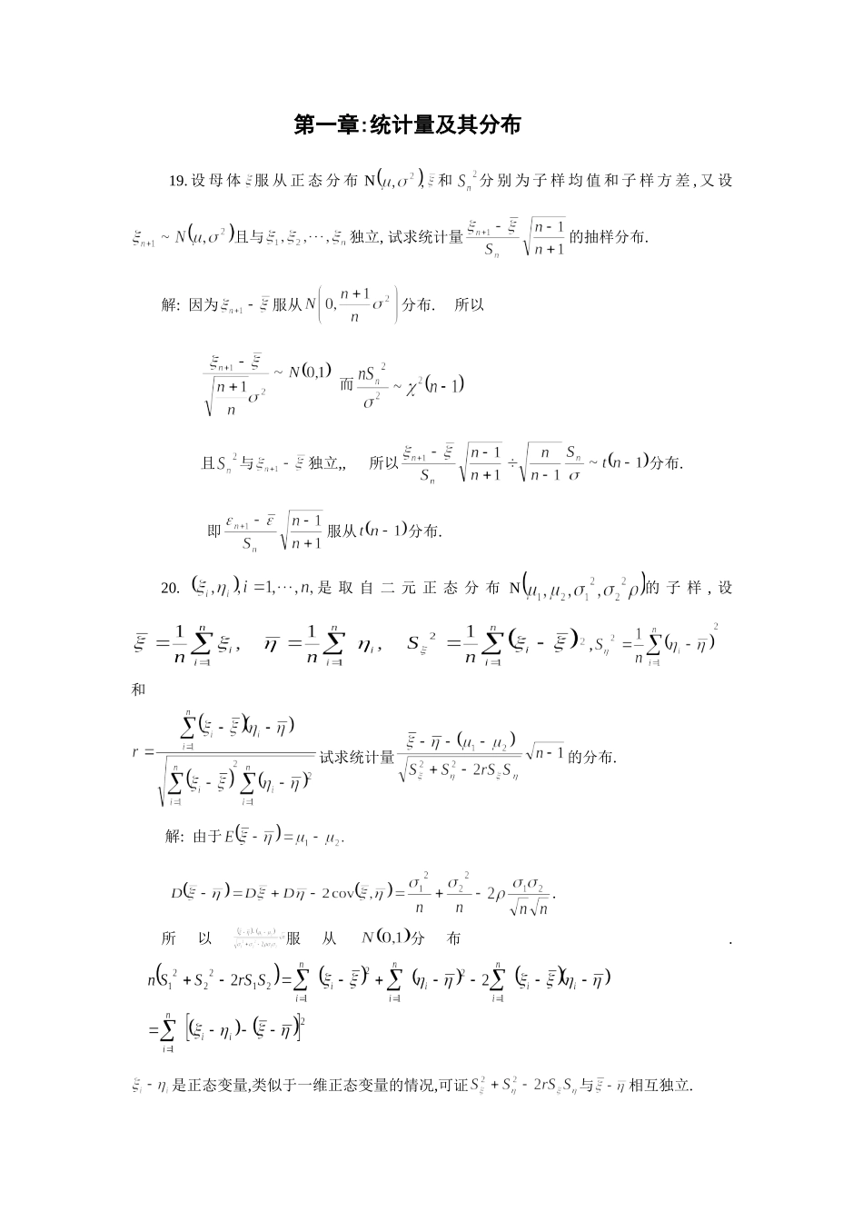
第一章:统计量及其分布19.设母体服从正态分布N和分别为子样均值和子样方差,又设且与独立,试求统计量的抽样分布.解:因为服从分布.所以而且与独立,,所以分布.即服从分布.20.是取自二元正态分布N的子样,设,和试求统计量的分布.解:由于.所以服从分布.是正态变量,类似于一维正态变量的情况,可证与相互独立.,所以统计量服从分布.第二章:估计量1.设是来自二点分布的一个子样,试求成功概率的矩法估计量.解:3.对容量为的子样,求密度函数中参数的矩法估计3.对容量为的子样,求密度函数中参数的矩法估计量.解:令得.4.在密度函数中参数的极大似然估计量是什么?矩法估计量是什么?解:(1)令,得。由于故是极大似然估计.(2)由令得14.设为取自参数为的普哇松分布的一个子样.试证子样平均和都是的无偏估计.并且对任一值也是的无偏估计.证:对普哇松分布有,从而故与都是的无偏估计.又故也是的无偏估计.15.设为取自正态母体的一个子样,试适当选择,使为的无偏估计.解:由且相互独立可知,从而.取时,为的无偏估计.17.设随机变量服从二项分布,n试求无偏估计量.解:由于故从而当抽得容量为N的一个子样后,的无偏估计为:量.解:令得.34.设是取自正态母体的一个子样,其中为已知,证明(i)是的有效估计;(ii)是的无偏估计,并求其有效率.证由知,,又的密度函数为,故对求导得:从而,故下界为。是的有效估计..由于故,即是的无偏估计.又而故C—R下界为,的有效率为。30.设是取自具有下列指数分布的一个子样.证明是的无偏、一致、有效估计。证:由于是的无偏估计.又,故从而,而故下界为因此是的有效估计.另外,由契比可夫不等式所以还是的一致估计.32.设是独立同分布随机变量,都服从,则是的充分统计量.证:由于的联合密度为取,则由因子分解定理知,是的充分统计量.33.设是独立同分布随机变量,都服从具参数为的普哇松分布,则是关于的充分统计量.证:由于的联合密度是取,,则由因子分解定理知:是充分统计量.第三章:假设检验1设取自正态母体其中为未知参数,为子样均值,对检验问题取检验的拒绝域:,试决定常数c使检验的显著性水平为0.05.解:因为所以在成立下,,所以C=1.176.2.设子样取自正态母体已知,对检验假设的问题,取临界域.(i)求此检验犯第一类错误的概率,犯第二类错误的概率,并讨论它们之间的关系.(ii)设,求时不犯第二类错误的概率.解:(i).在成立下,,其中是N(0,1)分布的分位点。在H1成立下,,=当增加时,减少,从而减少;反之当减少时,将导致增加。(ii)不犯第二类错误的概率为1-。=4,设某产品指标服从正态分布,它的根方差已知为150小时,今由一批产品中随机地抽查了26个,测得指标的平均值为1637小时,问在5%的显著性水平下,能否认为这批产品的指标为1600小时?解:母体,对假设采用U—检验法,在H0为真下,检验统计量观察值为时临界值。由于,所以接受,即不能否定这批产品指标为1600小时5某电器零件的平均电阻一直保持在2.64均方差保持在0.06.改变加工工艺后测的100个零件,其平均电阻为2.62,均方差不变.问新工艺对此零件的电阻有无显著差异?取显著性水平。解:设改变工艺后,电器零件电阻为随机变量,则未知,。检验假设。从母体中取了容量为100子样,近似服从正态分布,即:。因而对假设可采用u—检验计算检验统计量观察值,。由于。所以拒绝原假设即改革工艺后零件的电阻一有显著差异。6.有一种新安眠剂,据说在一定剂量下能比某种就旧安眠剂平均增加睡眠时间3小时,根据资料用某种旧安眠剂时平均睡眠时间为20.8小时,均方差为1.8小时,为了检验新安眠剂的这种说法是否正确,收集到一种使用新安眠剂的睡眠时间(以小时为单位)为:26.7,22.0,24.1,21.0,27.2,25.0,23.4试问这组数据能否说明新安眠剂已达到新的疗效?()解:设新安眠剂疗效为随机变量,则未知,。检验假设,从母体中取了容量为7子样,近似服从正态分布,即:。因而对假设可采用u—检验计算检验统计量观察值,。由于。所以接收原假设,即新安眠剂未达到新的疗效。15.设X1,X2,---,Xn为取自总体X~的简单随机样本,其中0为已知常数,选择统计量U=,求的1-的置信区间。解:由于U=服从(n),于是故的1-的置信区间。16.在某校的一个班体检记录中,随意抄录25...

1、当您付费下载文档后,您只拥有了使用权限,并不意味着购买了版权,文档只能用于自身使用,不得用于其他商业用途(如 [转卖]进行直接盈利或[编辑后售卖]进行间接盈利)。
2、本站所有内容均由合作方或网友上传,本站不对文档的完整性、权威性及其观点立场正确性做任何保证或承诺!文档内容仅供研究参考,付费前请自行鉴别。
3、如文档内容存在违规,或者侵犯商业秘密、侵犯著作权等,请点击“违规举报”。

碎片内容

数理统计教程课后重要答案习题

您可能关注的文档

确认删除?
VIP
微信客服
  • 扫码咨询
会员Q群
  • 会员专属群点击这里加入QQ群
客服邮箱
回到顶部