电脑桌面
添加小米粒文库到电脑桌面
安装后可以在桌面快捷访问

南京市高三数学二轮专题复习讲义函数数列 人教版试卷VIP免费

南京市高三数学二轮专题复习讲义函数数列 人教版试卷_第1页
1/19
南京市高三数学二轮专题复习讲义函数数列 人教版试卷_第2页
2/19
南京市高三数学二轮专题复习讲义函数数列 人教版试卷_第3页
3/19
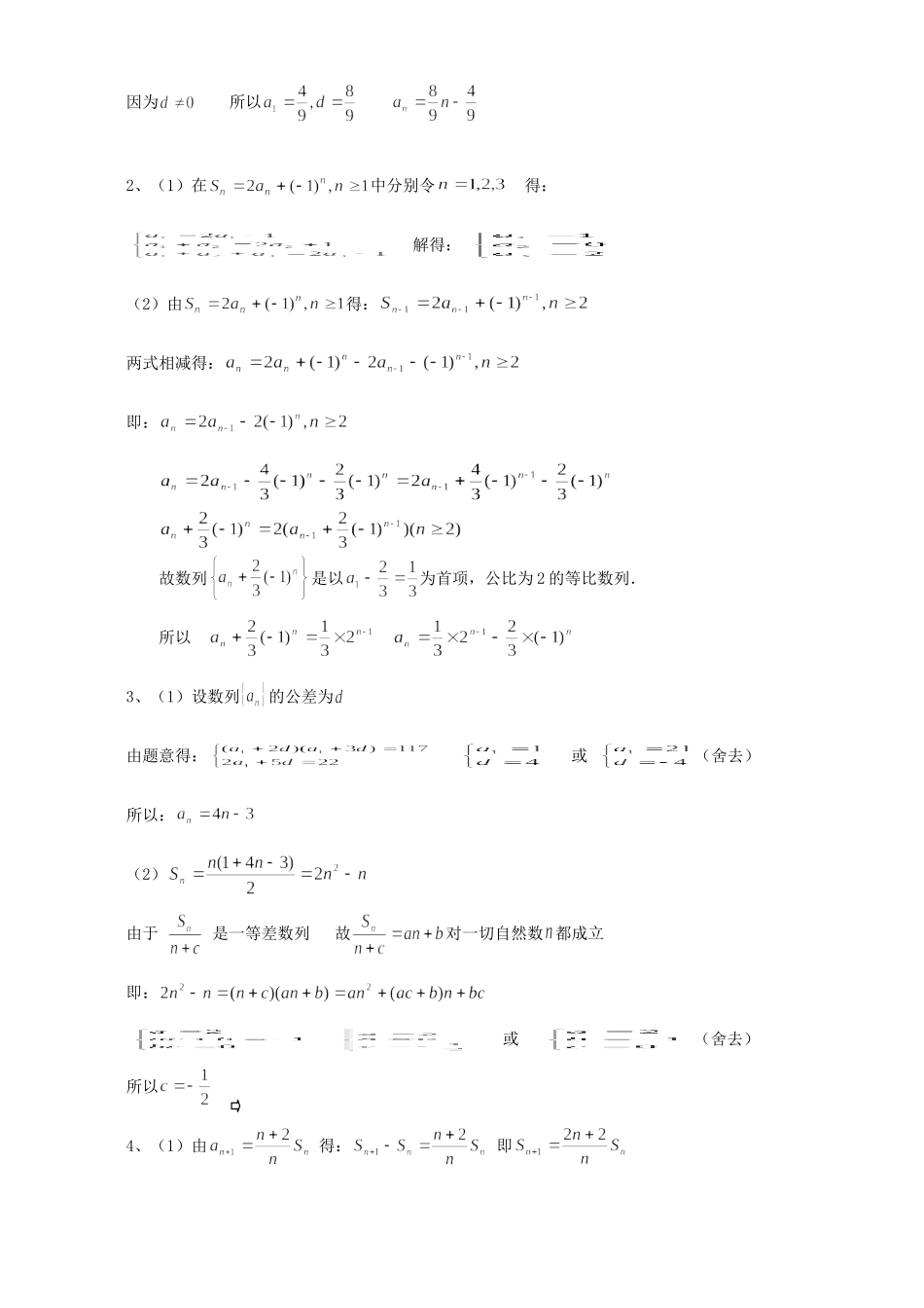
南京市高三数学二轮专题复习讲义函数数列数列专题第一课时1、设数列{an}是公差不为零的等差数列,Sn是数列{an}的前n项和,且=9S2,S4=4S2,求数列的通项公式.2、已知数列的前项和满足.(1)写出数列的前三项;(2)求证数列为等比数列,并求出的通项公式.3、已知公差大于零的等差数列的前项和为,且满足:(Ⅰ)求通项;(Ⅱ)若数列是等差数列,且,求非零常数;4、数列{an}的前n项和记为Sn,已知a1=1,an+1=Sn(n=1,2,3,…).证明:(i)数列{}是等比数列;(ii)Sn+1=4an.[参考答案]1、设数列的公差为由题意得:或因为所以2、(1)在中分别令得:解得:(2)由得:两式相减得:即:故数列是以为首项,公比为2的等比数列.所以3、(1)设数列的公差为由题意得:或(舍去)所以:(2)由于是一等差数列故对一切自然数都成立即:或(舍去)所以4、(1)由得:即所以所以数列是以1为首项,公比为2的等比数列.(2)由(1)得所以所以第二课时1、已知等差数列{an},公差大于0,且a2、a5是方程x2—12x+27=0的两个根,数列{bn}的前n项和为Tn,且Tn=1—.(1)求数列{an}、{bn}的通项公式;(2)记cn=an·bn,求证:.2、设是由正数组成的无穷数列,Sn是它的前n项之和,对任意自然数与2的等差中项等于Sn与2的等比中项.(1)写出;(2)求数列的通项公式(要有推论过程);2、已知数列}{na成等差数列,nS表示它的前n项和,且6531aaa,124S.⑴求数列}{na的通项公式na;⑵数列}{nnSa中,从第几项开始(含此项)以后各项均为负数?4、设数列{an}和{bn}满足a1=b1=6,a2=b2=4,a3=b3=3,且数列{an+1-an}(n∈N*)是等差数列,数列{bn-2}(n∈N*)是等比数列.(Ⅰ)求数列{an}和{bn}的通项公式;(Ⅱ)是否存在k∈N*,使ak-bk∈(0,)?若存在,求出k;若不存在,说明理由.[参考答案]1、(1)设的公差为由题意得:即:解得:所以:由得:两式相减:即:所以是以为公比为首项的等比数列.在中令得:所以所以(2)所以:因为了所以2、(1)由题意得:令得:解得:(2)将两边平方得:用代替得:两式相减得:即:即:由于所以所以是以2为首项公差为4的等差数列所以3、(1)设数列的公差为,由题意得:解得:所以:(2)令所以解不等式得:所以数列从第8项开始(含此项)以后各项均为负数.4、(1)由题意得:=所以()上式对也成立所以所以(2)当时当时故不存在正整数使第三课时1、设等差数列的前n项和为;设,问是否可能为一与n无关的常数?若不存在,说明理由.若存在,求出所有这样的数列的通项公式.2、已知等比数列及等差数列,其中,公差,将这两个数列对应项相加得到一个新的数列1,1,2,…,求这个新数列的前10项之和.3、设Sn为等差数列{an}的前n项和.(n∈N*).(Ⅰ)若数列{an}单调递增,且a2是a1、a5的等比中项,证明:(Ⅱ)设{an}的首项为a1,公差为d,且,问是否存在正常数c,使对任意自然数n都成立,若存在,求出c(用d表示);若不存在,说明理由.4、Ⅰ.已知数列,其中,且数列为等比数列,求常数.Ⅱ.设,是公比不相等的两个等比数列,,证明数列不是等比数列.答案:1、设等差数列的公差为,并假设存在使是与无关的常数令所以恒成立化简得:对一切自然数恒成立所以即解得:解得:故存在等差数列使是一与无关的常数2、设等比数列的公比为由题意得:解得:所以所以新数列的前10项的和为3、(1)设等差数列的公差为由题意得:即:解得:所以所以所以(2)假设存在正常数使得恒成立令,则有恒成立即:化简得:两边平方化简得:.以下证明当时,恒成立.故存在正常数使恒成立.4、(1)由题意得:恒成立.对一切正整数恒成立(为常数)即:化简得:对一切正整数恒成立所以:解得:或所以:或(2)设数列的公比分别为与,并假设数列是等比数列,其公比为则有:即:化简得:即对一切正整数恒成立所以:即:这与互相矛盾故不是等比数列.函数专题第一课时1、设函数(1)解不等式f(x)<0;(2)试推断函数f(x)是否存在最小值?若存在,求出其最小值;若不存在,说明理由.2、已知函数(a<0,,设关于x的方程的两根为,的两实根为、.(1)若,求a,b关系式(2)若a,b均为负整数...

1、当您付费下载文档后,您只拥有了使用权限,并不意味着购买了版权,文档只能用于自身使用,不得用于其他商业用途(如 [转卖]进行直接盈利或[编辑后售卖]进行间接盈利)。
2、本站所有内容均由合作方或网友上传,本站不对文档的完整性、权威性及其观点立场正确性做任何保证或承诺!文档内容仅供研究参考,付费前请自行鉴别。
3、如文档内容存在违规,或者侵犯商业秘密、侵犯著作权等,请点击“违规举报”。

碎片内容

南京市高三数学二轮专题复习讲义函数数列 人教版试卷

您可能关注的文档

确认删除?
VIP
微信客服
  • 扫码咨询
会员Q群
  • 会员专属群点击这里加入QQ群
客服邮箱
回到顶部