电脑桌面
添加小米粒文库到电脑桌面
安装后可以在桌面快捷访问

安徽省铜陵市高二下学期期中考试数学文答案 安徽省铜陵市高二数学下学期期中试卷 文(PDF) 安徽省铜陵市高二数学下学期期中试卷 文(PDF)VIP免费

安徽省铜陵市高二下学期期中考试数学文答案 安徽省铜陵市高二数学下学期期中试卷 文(PDF) 安徽省铜陵市高二数学下学期期中试卷 文(PDF)_第1页
1/2
安徽省铜陵市高二下学期期中考试数学文答案 安徽省铜陵市高二数学下学期期中试卷 文(PDF) 安徽省铜陵市高二数学下学期期中试卷 文(PDF)_第2页
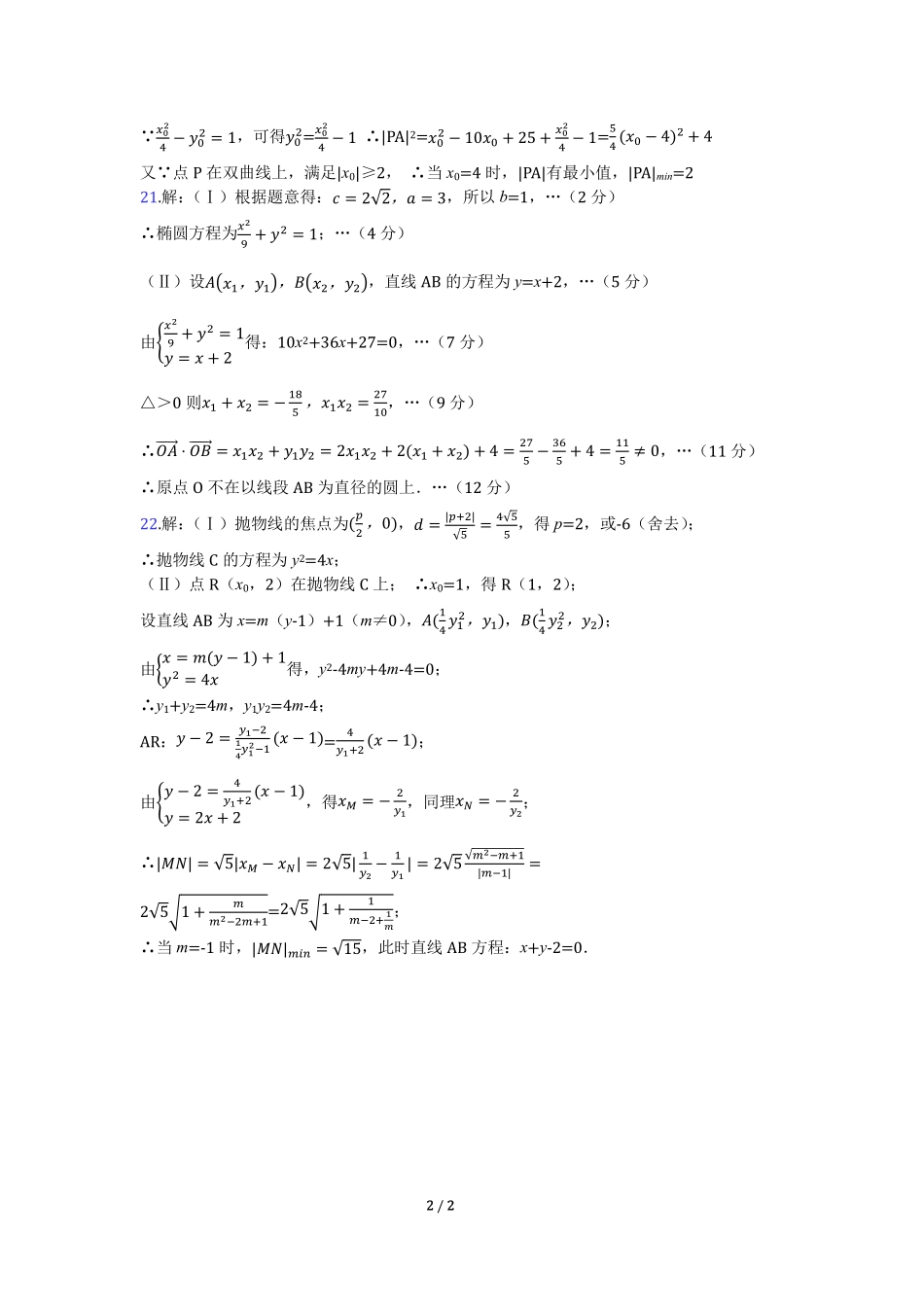
2/2
1/2高二文科数学参考答案1.D2.B3.D4.D5.B6.C7.D8.B9.A10.A11.D12.C13.∀x>0,x2-4x+1≥014.215.充分不必要16.[��,��]17.解:∵原命题是“若x2-3x+2≠0,则x≠1且x≠2”,∴它的逆命题是:若x≠1且x≠2,则x2-3x+2≠0,是真命题;------(3分)否命题是:若x2-3x+2=0,则x=1或x=2,是真命题;------(3分)逆否命题是:若x=1或x=2,则x2-3x+2=0,是真命题.-------(4分)18.解:∵方程�����+�����=1表示焦点在y轴上的椭圆,∴0<m+1<3-m,解得:-1<m<1,∴若命题p为真命题,求实数m的取值范围是(-1,1);若关于x的方程x2+2mx+2m+3=0无实根,则判别式△=4m2-4(2m+3)<0,即m2-2m-3<0,得-1<m<3.若“p∧q”为假命题,“p∨q”为真命题,则p,q为一个真命题,一个假命题,若p真q假,则�−1<�<1�≥3,或�≤−1�,此时无解,若p假q真,则�−1<�<3�≥1,或�≤−1�,得1≤m<3.综上,实数m的取值范围是[1,3).19.解:(Ⅰ)由题意知动点P的轨迹是以M(-1,0)为焦点,顶点为坐标原点的抛物线…所以P点轨迹方程为��=−4�(Ⅱ)设A(x1,y1),B(x2,y2),由方程组���=−4��+�+1=0�消去x得:y2-4y-4=0⇒y1+y2=4,y1y2=-4所以|��|=�1+(−1)�⋅�(��+��)�−4����=81282222OABS20.解:(1)设P(x0,y0),P到两准线的距离记为d1,d2∵两准线为x-2y=0,x+2y=0…..2'∴��⋅��=|������|√�⋅|������|√�=��|���−4���|又∵点P在曲线C上,∴|���−4���|=���−4���=4,得��⋅��=��(常数)即点P到双曲线C的两条渐近线的距离的乘积是一个常数(2)设P(x0,y0),由平面内两点距离公式得|PA|2=(��−5)�+���(��−5)�+���=���−10��+25+����−12/2∵����−���=1,可得���=����−1∴|PA|2=���−10��+25+����−1=��(��−4)�+4又∵点P在双曲线上,满足|x0|≥2,∴当x0=4时,|PA|有最小值,|PA|min=221.解:(Ⅰ)根据题意得:�=2√2,�=3,所以b=1,…(2分)∴椭圆方程为���+��=1;…(4分)(Ⅱ)设����,���,����,���,直线AB的方程为y=x+2,…(5分)由����+��=1�=�+2�得:10x2+36x+27=0,…(7分)△>0则��+��=−���,����=����,…(9分)∴�������⃗⋅��������⃗=����+����=2����+2(��+��)+4=���−���+4=���≠0,…(11分)∴原点O不在以线段AB为直径的圆上.…(12分)22.解:(Ⅰ)抛物线的焦点为(��,0),�=|���|√�=�√��,得p=2,或-6(舍去);∴抛物线C的方程为y2=4x;(Ⅱ)点R(x0,2)在抛物线C上;∴x0=1,得R(1,2);设直线AB为x=m(y-1)+1(m≠0),�(�����,��),�(�����,��);由��=�(�−1)+1��=4��得,y2-4my+4m-4=0;∴y1+y2=4m,y1y2=4m-4;AR:�−2=�����������(�−1)=�����(�−1);由��−2=�����(�−1)�=2�+2�,得��=−���,同理��=−���;∴|��|=√5|��−��|=2√5|���−���|=2√5√������|���|=2√5�1+��������=2√5�1+�������;∴当m=-1时,|��|���=√15,此时直线AB方程:x+y-2=0.

1、当您付费下载文档后,您只拥有了使用权限,并不意味着购买了版权,文档只能用于自身使用,不得用于其他商业用途(如 [转卖]进行直接盈利或[编辑后售卖]进行间接盈利)。
2、本站所有内容均由合作方或网友上传,本站不对文档的完整性、权威性及其观点立场正确性做任何保证或承诺!文档内容仅供研究参考,付费前请自行鉴别。
3、如文档内容存在违规,或者侵犯商业秘密、侵犯著作权等,请点击“违规举报”。

碎片内容

安徽省铜陵市高二下学期期中考试数学文答案 安徽省铜陵市高二数学下学期期中试卷 文(PDF) 安徽省铜陵市高二数学下学期期中试卷 文(PDF)

;绿洲书城+ 关注
实名认证
内容提供者

从事历史教学,热爱教育,高度负责。

确认删除?
VIP
微信客服
  • 扫码咨询
会员Q群
  • 会员专属群点击这里加入QQ群
客服邮箱
回到顶部