电脑桌面
添加小米粒文库到电脑桌面
安装后可以在桌面快捷访问

四川省泸县第四中学2020 2021学年高二数学上学期开学考试试卷 文VIP免费

四川省泸县第四中学2020 2021学年高二数学上学期开学考试试卷 文_第1页
1/13
四川省泸县第四中学2020 2021学年高二数学上学期开学考试试卷 文_第2页
2/13
四川省泸县第四中学2020 2021学年高二数学上学期开学考试试卷 文_第3页
3/13
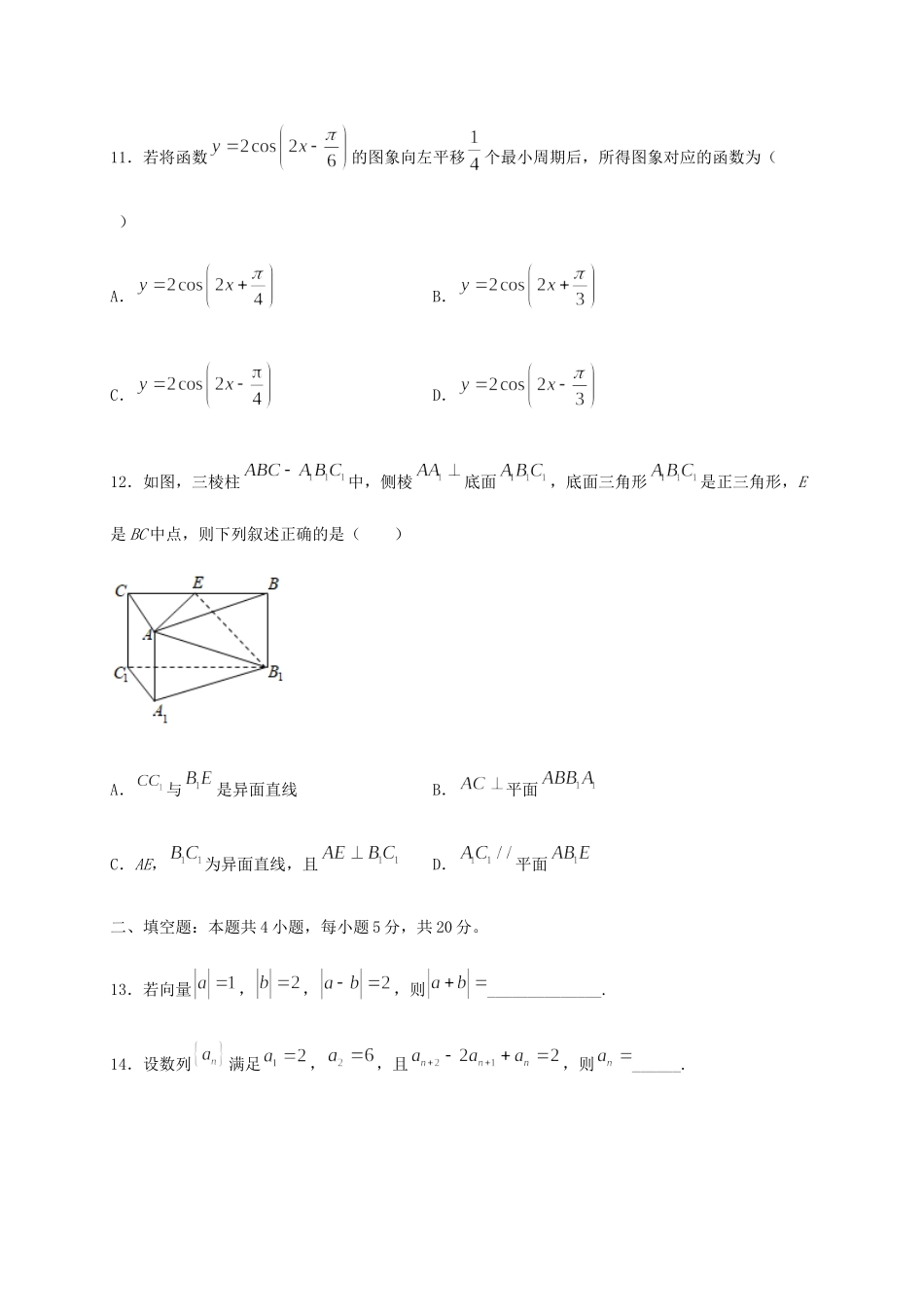
四川省泸县第四中学2020-2021学年高二数学上学期开学考试试题文一、选择题:本题共12小题,每小题5分,共60分。在每小题给出的四个选项中,只有一项是符合题目要求的。1.不等式的解集是()A.B.C.D.2.直线的斜率为()A.1B.C.D.23.下列说法正确的是()A.有两个面平行,其余各面都是四边形的几何体叫棱柱B.过空间内不同的三点,有且只有一个平面C.棱锥的所有侧面都是三角形D.用一个平面去截棱锥,底面与截面之间的部分组成的几何体叫棱台4.在中,,,,则A.B.C.D.5.已知等比数列的前n项和为,且,,则=().A.90B.125C.155D.1806.已知直线l过点,且与x,y轴的正半轴分别交于A,B两点.若的面积为12(O为坐标原点),则直线l的方程为()A.B.C.D.7.已知向量,不共线,=+,=2-(λ-1),若∥,则()A.B.C.D.8.不等式x2+ax+4<0的解集不为空集,则a的取值范围是()A.[-4,4]B.(-4,4)C.(-∞,-4]∪[4,+∞)D.(-∞,-4)∪(4,+∞)9.已知直线,与平行,则的值是()A.0或1B.1或C.0或D.10.已知某几何体的三视图如图所示,则该几何体的表面积为()A.B.C.D.11.若将函数的图象向左平移个最小周期后,所得图象对应的函数为()A.B.C.D.12.如图,三棱柱中,侧棱底面,底面三角形是正三角形,E是BC中点,则下列叙述正确的是()A.与是异面直线B.平面C.AE,为异面直线,且D.平面二、填空题:本题共4小题,每小题5分,共20分。13.若向量,,,则______________.14.设数列满足,,且,则______.15.已知中,,,,若点满足,则__________.16.在中,角A,B,C所对的边分别为a,b,c,,的平分线交AC于点D,且,则的最小值为________.三、解答题:共70分。解答应写出文字说明、证明过程或演算步骤。第17~21题为必考题,每个试题考生都必须作答。17.(10分)在中,角,,所对的边分别为,,,且,.(1)若,求的值;(2)若的面积,求,的值.18.(12分)在中,,点D在边上,,且.(1)若的面积为,求;(2)设,若,求.19.(12分)如图,在四棱锥中,底面ABCD是正方形点E是棱PC的中点,平面ABE与棱PD交于点F.求证:;若,且平面平面ABCD,求证:平面PCD.20.(12分)已知向量,,点P在x轴上.(1)使最小,求P点坐标(2)若∠APB为钝角,求P横坐标的取值范围21.(12分)在等比数列中,为的前项和,且,=,(1)求.(2)求数列的前n项和.22.(12分)已知函数.(1)当时,求;(2)求解关于的不等式;(3)若恒成立,求实数的取值范围.2020年秋四川省泸县第四中学高二开学考试文科数学参考答案1.B2.C3.C4.D5.C6.A7.C8.D9.C10.B11.B12.C13.14.15.16.3217.(1)∵,且,∴.由正弦定理得,∴.(2)∵,所以由余弦定理得∴.18.解法一:(1)因为,即,又因为,,所以.在中,由余弦定理得,即,解得.(2)在中,,因为,则,又,由正弦定理,有,所以.在中,,,由正弦定理得,,即,化简得因为,所以,,所以或,解得或.解法二:(1)同解法一.(2)证明:因为,所以.取中点E,连结,所以.设,因为,所以.在中,.以下同解法一.19.(1)证明:底面ABCD是正方形,AB∥CD,又AB⊄平面PCD,CD⊂平面PCD,AB∥平面PCD,又A,B,E,F四点共面,且平面ABEF∩平面PCD=EF,AB∥EF;(2)证明:在正方形ABCD中,CD⊥AD,又平面PAD⊥平面ABCD,且平面PAD∩平面ABCD=AD,CD⊂平面ABCD,CD⊄平面PADCD⊥平面PAD,又AF⊂平面PAD,CD⊥AF,由(1)可知,AB∥EF,又AB∥CD,C,D,E,F在同一平面内,CD∥EF,点E是棱PC中点,点F是棱PD中点,在△PAD中,PA=AD,AF⊥PD,又PD∩CD=D,PD、CD⊂平面PCD,AF⊥平面PCD.20.解:(1)设点的坐标为,可得,.因此.二次函数,当时取得最小值为.当时,取得最小值,此时;(2)若为钝角,即有,且有,不共线.设,即有,,则,解得.由,共线,可得,解得则有的横坐标的范围是.21.(1)设等比数列的公比为,当q=1时,不合题意,舍去;当时,由题意,,解得,,所以;(2)由题意,所以①,②,由①②得,所以.22.(1)当时,(2)由得:或当时,解不等式可得:或当时,解不等式可得:或综上所述:当时,的解集为;当时,的解集为(3)由得:或①当时,,或,解得:②当时,,或,解得:综上所述:的取值范围为

1、当您付费下载文档后,您只拥有了使用权限,并不意味着购买了版权,文档只能用于自身使用,不得用于其他商业用途(如 [转卖]进行直接盈利或[编辑后售卖]进行间接盈利)。
2、本站所有内容均由合作方或网友上传,本站不对文档的完整性、权威性及其观点立场正确性做任何保证或承诺!文档内容仅供研究参考,付费前请自行鉴别。
3、如文档内容存在违规,或者侵犯商业秘密、侵犯著作权等,请点击“违规举报”。

碎片内容

四川省泸县第四中学2020 2021学年高二数学上学期开学考试试卷 文

确认删除?
VIP
微信客服
  • 扫码咨询
会员Q群
  • 会员专属群点击这里加入QQ群
客服邮箱
回到顶部