电脑桌面
添加小米粒文库到电脑桌面
安装后可以在桌面快捷访问

高二数学期末复习专题:圆锥曲线与方程苏教版选修1-1VIP免费

高二数学期末复习专题:圆锥曲线与方程苏教版选修1-1_第1页
1/15
高二数学期末复习专题:圆锥曲线与方程苏教版选修1-1_第2页
2/15
高二数学期末复习专题:圆锥曲线与方程苏教版选修1-1_第3页
3/15
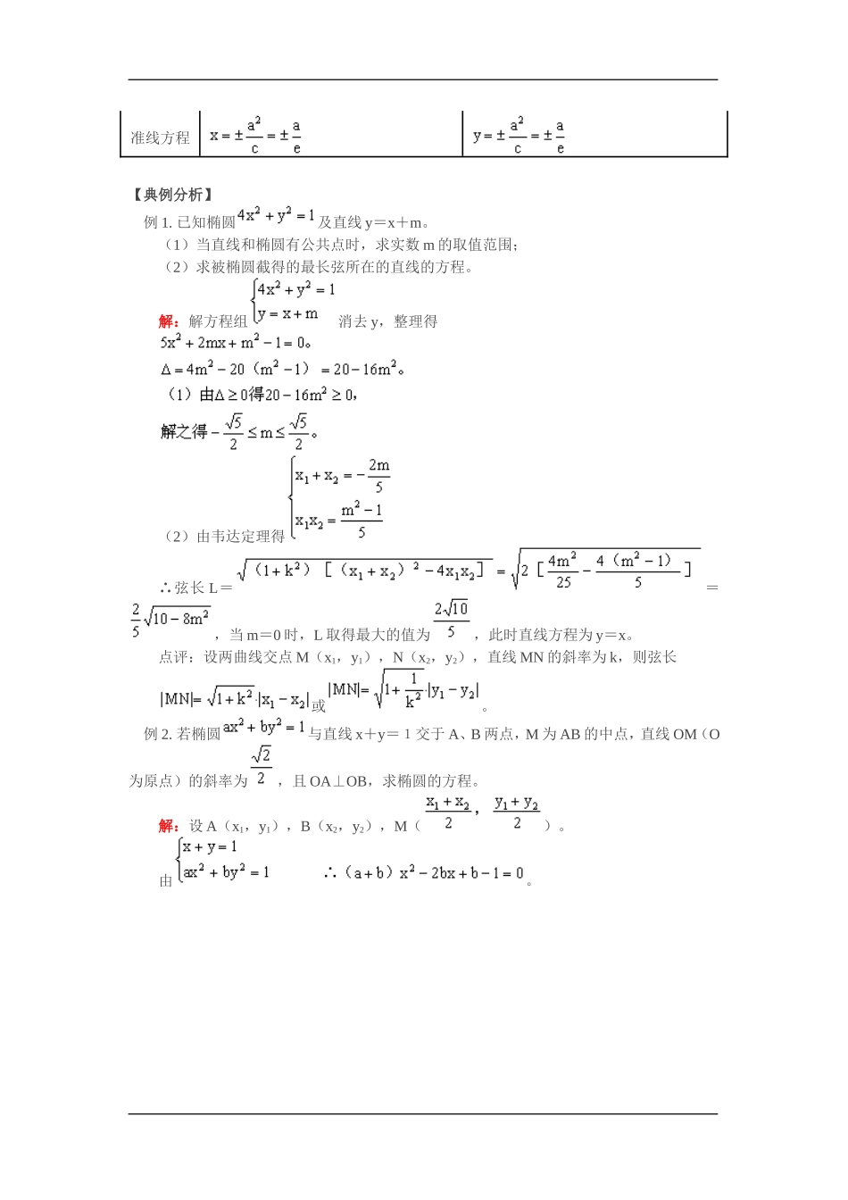
高二期末复习专题:圆锥曲线与方程一.教学内容:期末复习专题:圆锥曲线与方程二.知识分析:【本章知识网络】【学法点拨】圆锥曲线是解析几何的重点,也是高中数学的重点内容.圆锥曲线试题的类型、特点与学习的方法主要归结如下:1.求动点的轨迹方程问题,从来都是高考的热点,试题有一定的难度,学习时应注意一些求轨迹方程的基本方法。2.求指定的圆锥曲线的方程是高考命题的重点,试题一般涉及量较多,计算量大。要求较强的运算能力.在计算中,首先要明确运算方向,还要注意运算合理,运算的技巧,使运算简练。3.试题注重对解析几何基本方法的考查,要求会建立适当的直角坐标系,把平面几何问题转化为代数问题。4.注意用圆锥曲线的定义解题.有关圆锥曲线上的点到焦点的距离,到准线的距离,离心率的问题都可能用到圆锥曲线的定义去解。5.对称问题是高考的热点,注意关于原点、x轴、y轴,关于直线y=±x对称的两曲线方程的特点。6.在有关直线与圆锥曲线的问题中,注意韦达定理、弦长公式在解题中的应用。7.一些试题将解析几何问题与数列问题、极限问题、不等式问题、函数问题综合在一起,对解决数学综合问题的能力要求更高,此时要充分利用解析几何的特点,运用数形结合,用代数的方法解决几何的问题。【备考建议】在复习过程中抓住以下几点:1.在高考命题中,有关圆锥曲线的试题主要考查两大类问题。一是根据题设条件,求出圆锥曲线的方程;二是通过方程,研究圆锥曲线的性质。本章考题大多数是课本的变式题,即源于课本,因此掌握双基、精通课本是关键。2.加强直线与圆锥曲线的位置关系问题的复习由于直线与圆锥曲线的位置关系一直为高考的热点.这类问题常涉及到圆锥曲线的性质和直线的基本知识点、线段的中点、弦长、垂直问题,因此分析问题时利用数形结合思想来设。3.重视对数学思想、方法进行归纳提炼,达到优化解题思维、简化解题过程的目的,如下列思想和方法:(1)方程思想;(2)用好函数思想方法;(3)掌握坐标法;(4)对称思想;(5)参数思想;(6)转化思想。4.在注重解题方法、数学思想的应用的同时注意一些解题技巧,椭圆、双曲线、抛物线的定义揭示了各自存在的条件、性质及几何特征与圆锥曲线的焦点、准线、离心率有关量的关系问题,若能用定义法,可避免繁琐的推理与运算.涉及到原点和焦点距离问题用极坐标的极径表示.关于直线与圆锥曲线相交弦则结合韦达定理采用设而不求法.利用引入一个参数表示动点的坐标x、y,间接把它们联系起来,减少变量、未知量采用参数法.有些题目还常用它们与平面几何的关系,利用平面几何知识会化难为易,化繁为简,收到意想不到的解题效果。第一讲椭圆一.椭圆及其标准方程1.平面内与两个定点F1,F2的距离的和等于常数(大于|F1F2|)的点的轨迹叫做椭圆,这两个定点叫椭圆的焦点,两焦点间的距离叫做椭圆的焦距。一般的:集合,其中,且a、c为常数:(1)若a>c,则集合P为椭圆;(2)若a=c,则集合P为线段;(3)若a<c,则集合P为空集。2.椭圆的两种标准方程焦点在x轴上,焦点为;焦点在y轴上,焦点为。都有:(1)a>b>0;(2)。二.椭圆的几何性质方程范围对称性轴对称、中心对称轴对称、中心对称顶点(a,0),(-a,0),(0,b),(0,-b)(b,0),(-b,0),(0,a),(0,-a)离心率准线方程【典例分析】例1.已知椭圆及直线y=x+m。(1)当直线和椭圆有公共点时,求实数m的取值范围;(2)求被椭圆截得的最长弦所在的直线的方程。解:解方程组消去y,整理得(2)由韦达定理得∴弦长L==,当m=0时,L取得最大的值为,此时直线方程为y=x。点评:设两曲线交点M(x1,y1),N(x2,y2),直线MN的斜率为k,则弦长或。例2.若椭圆与直线x+y=1交于A、B两点,M为AB的中点,直线OM(O为原点)的斜率为,且OA⊥OB,求椭圆的方程。解:设A(x1,y1),B(x2,y2),M()。由。点评:直线与椭圆相交的问题,通常采取设而不求,即设出A(xl,yl),B(x2,y2),但不是真的求出xl,yl,x2,y2,而是借助于一元二次方程根与系数的关系来解决问题,由OA⊥OB得xlx2+yly2=0是解决本题的关键。例3.如图所示,...

1、当您付费下载文档后,您只拥有了使用权限,并不意味着购买了版权,文档只能用于自身使用,不得用于其他商业用途(如 [转卖]进行直接盈利或[编辑后售卖]进行间接盈利)。
2、本站所有内容均由合作方或网友上传,本站不对文档的完整性、权威性及其观点立场正确性做任何保证或承诺!文档内容仅供研究参考,付费前请自行鉴别。
3、如文档内容存在违规,或者侵犯商业秘密、侵犯著作权等,请点击“违规举报”。

碎片内容

高二数学期末复习专题:圆锥曲线与方程苏教版选修1-1

确认删除?
VIP
微信客服
  • 扫码咨询
会员Q群
  • 会员专属群点击这里加入QQ群
客服邮箱
回到顶部