电脑桌面
添加小米粒文库到电脑桌面
安装后可以在桌面快捷访问

安徽省黄山市屯溪一中高二数学下学期入学考试试卷 理(PDF)答案 安徽省黄山市屯溪一中高二数学下学期入学考试试卷 理(PDF) 安徽省黄山市屯溪一中高二数学下学期入学考试试卷 理(PDF)VIP免费

安徽省黄山市屯溪一中高二数学下学期入学考试试卷 理(PDF)答案 安徽省黄山市屯溪一中高二数学下学期入学考试试卷 理(PDF) 安徽省黄山市屯溪一中高二数学下学期入学考试试卷 理(PDF)_第1页
1/5
安徽省黄山市屯溪一中高二数学下学期入学考试试卷 理(PDF)答案 安徽省黄山市屯溪一中高二数学下学期入学考试试卷 理(PDF) 安徽省黄山市屯溪一中高二数学下学期入学考试试卷 理(PDF)_第2页
2/5
安徽省黄山市屯溪一中高二数学下学期入学考试试卷 理(PDF)答案 安徽省黄山市屯溪一中高二数学下学期入学考试试卷 理(PDF) 安徽省黄山市屯溪一中高二数学下学期入学考试试卷 理(PDF)_第3页
3/5
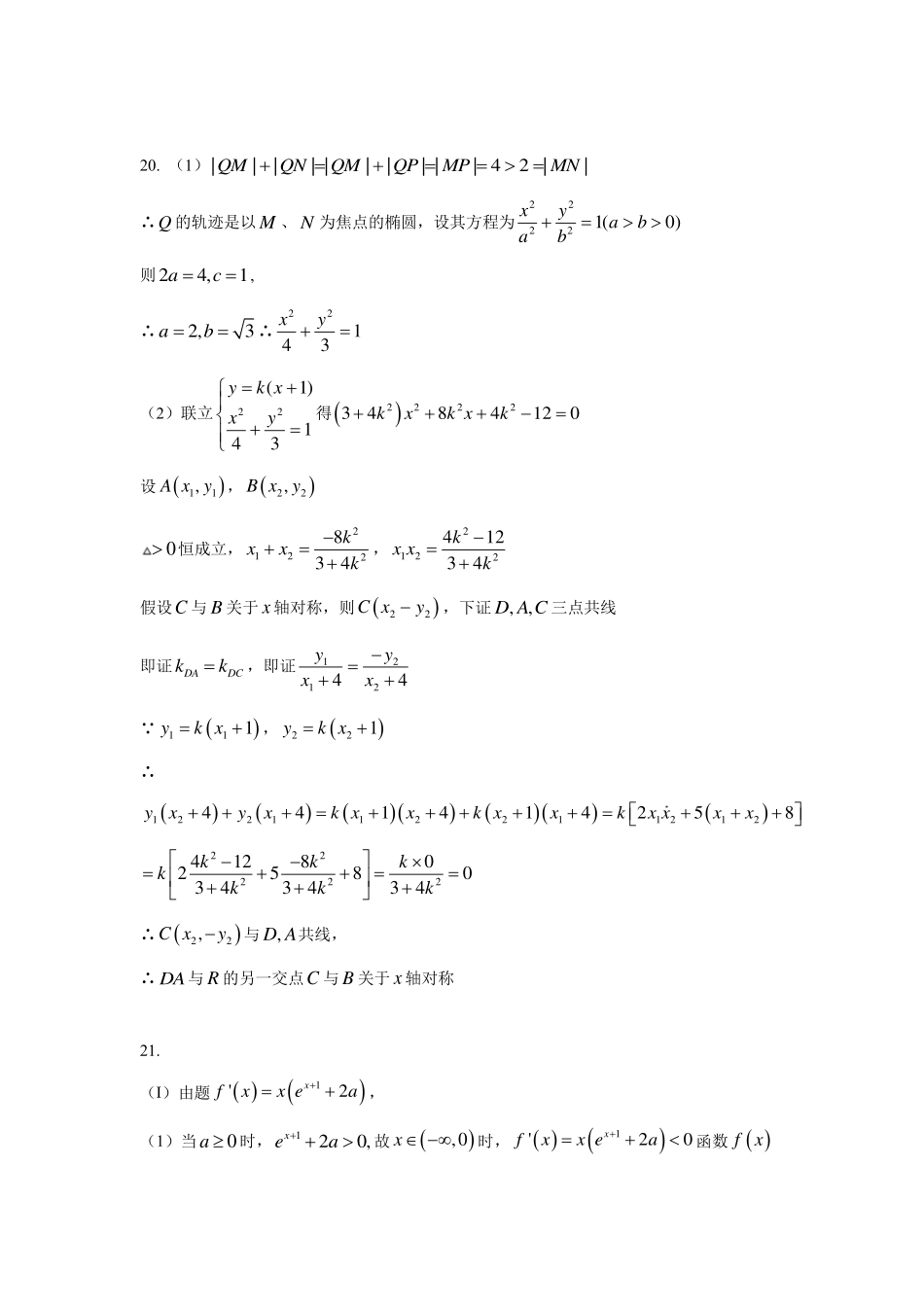
高二下学期开学考试(理科数学)一、选择题1-5:CABDA6-10:DBBCC11-12:AB二、填空题13:36+14:982+15:12m−16:1134aee三、解答题17.(1)(2)假设111,,abc成等差数列,则211acbacac+=+=由于,,abc成等差数列,得2bac=+①那么22acbbacac+==,即2bac=②由①、②得abc==与,,abc是不全相等的实数矛盾.故111,,abc不成等差数列.18.解:(1)在如图所示的直角坐标系中,因为曲线C的方程为242(19)yxxx=+,所以点P坐标为242(,)xxx+,直线OB的方程为0xy−=,则点P到直线0xy−=的距离为2224242|()|||422xxxxx−+==,又PM的造价为5万元/百米,PN的造价为40万元/百米.则两条道路总造价为22432()5405()(19)fxxxxxx=+=+.(2)因为22432()5405()(19)fxxxxxx=+=+,所以333645(64)()5(1)xfxxx−=−=,令()0fx=,得4x=,列表如下:x(1,4)4(4,9)()fx−0−()fx单调递减极小值单调递增所以当4x=时,函数()fx有最小值,最小值为232(4)5(4)304f=+=.19.20.(1)||||||||||42||QMQNQMQPMPMN+=+===∴Q的轨迹是以M、N为焦点的椭圆,设其方程为22221(0)xyabab+=则24,1ac==,∴2,3ab==∴22143xy+=(2)联立22(1)143ykxxy=++=得()22223484120kxkxk+++−=设()11,Axy,()22,Bxy0恒成立,2122834kxxk−+=+,212241234kxxk−=+假设C与B关于x轴对称,则()22Cxy−,下证,,DAC三点共线即证DADCkk=,即证121244yyxx−=++∵()111ykx=+,()221ykx=+∴()()()()()()()122112211212441414258yxyxkxxkxxkxxxx+++=+++++=+++22222412802580343434kkkkkkk−−=++==+++∴()22,Cxy−与,DA共线,∴DA与R的另一交点C与B关于x轴对称21.(Ⅰ)由题()()1'2xfxxea+=+,(1)当0a时,120,xea++故(),0x−时,()()1'20xfxxea+=+函数()fx单调递减,()0,+x时,()()1'20xfxxea+=+函数()fx单调递增;(2)当02ea−时,故()(),ln21xa−−−时,()()1'20xfxxea+=+,函数()fx单调递增,()()ln21,0xa−−时,()()1'20xfxxea+=+,函数()fx单调递减,()0,x+时,()()1'20xfxxea+=+,函数()fx单调递增;(3)当2ea=−时,()()1'20xfxxea+=+恒成立,函数()fx单调递增;(4)当2ea−时,故(),0x−时,()()1'20xfxxea+=+函数()fx单调递增,()()0,ln21xa−−时,()()1'20xfxxea+=+函数()fx单调递减,()()ln21,xa−−+时,()()1'20xfxxea+=+函数()fx单调递增;(Ⅱ)当0a=时,()()0xfxexee=−=有唯一零点1,x=不符合题意;由(Ⅰ)知:当0a时,故(),0x−时,函数()fx单调递减,()0,x+时,函数()fx单调递增,x→−时,()fx→+;x→+时,()fx→+,()00fe=−必有两个零点;当02ea−时,故()(),ln21xa−−−时,函数()fx单调递增,()()ln21,0xa−−时,函数()fx单调递减,()0,x+时,函数()fx单调递增,()()()()()()()2ln212ln21ln210,00faaaaafe−−=−−−+−−=−,函数()fx至多有一个零点;当2ea=−时,函数()fx单调递增,函数()fx至多有一个零点;当2ea−时,故(),0x−时,函数()fx单调递增,()()0,ln21xa−−时,函数()fx单调递减,()()ln21,xa−−+时,函数()fx单调递增,()00fe=−,函数()fx至多有一个零点;综上所述:当0a时,函数()fx有两个零点.22.

1、当您付费下载文档后,您只拥有了使用权限,并不意味着购买了版权,文档只能用于自身使用,不得用于其他商业用途(如 [转卖]进行直接盈利或[编辑后售卖]进行间接盈利)。
2、本站所有内容均由合作方或网友上传,本站不对文档的完整性、权威性及其观点立场正确性做任何保证或承诺!文档内容仅供研究参考,付费前请自行鉴别。
3、如文档内容存在违规,或者侵犯商业秘密、侵犯著作权等,请点击“违规举报”。

碎片内容

安徽省黄山市屯溪一中高二数学下学期入学考试试卷 理(PDF)答案 安徽省黄山市屯溪一中高二数学下学期入学考试试卷 理(PDF) 安徽省黄山市屯溪一中高二数学下学期入学考试试卷 理(PDF)

您可能关注的文档

;绿洲书城+ 关注
实名认证
内容提供者

从事历史教学,热爱教育,高度负责。

相关文档

确认删除?
VIP
微信客服
  • 扫码咨询
会员Q群
  • 会员专属群点击这里加入QQ群
客服邮箱
回到顶部