电脑桌面
添加小米粒文库到电脑桌面
安装后可以在桌面快捷访问

四川省宜宾市高一数学3月月考试卷VIP免费

四川省宜宾市高一数学3月月考试卷_第1页
1/10
四川省宜宾市高一数学3月月考试卷_第2页
2/10
四川省宜宾市高一数学3月月考试卷_第3页
3/10
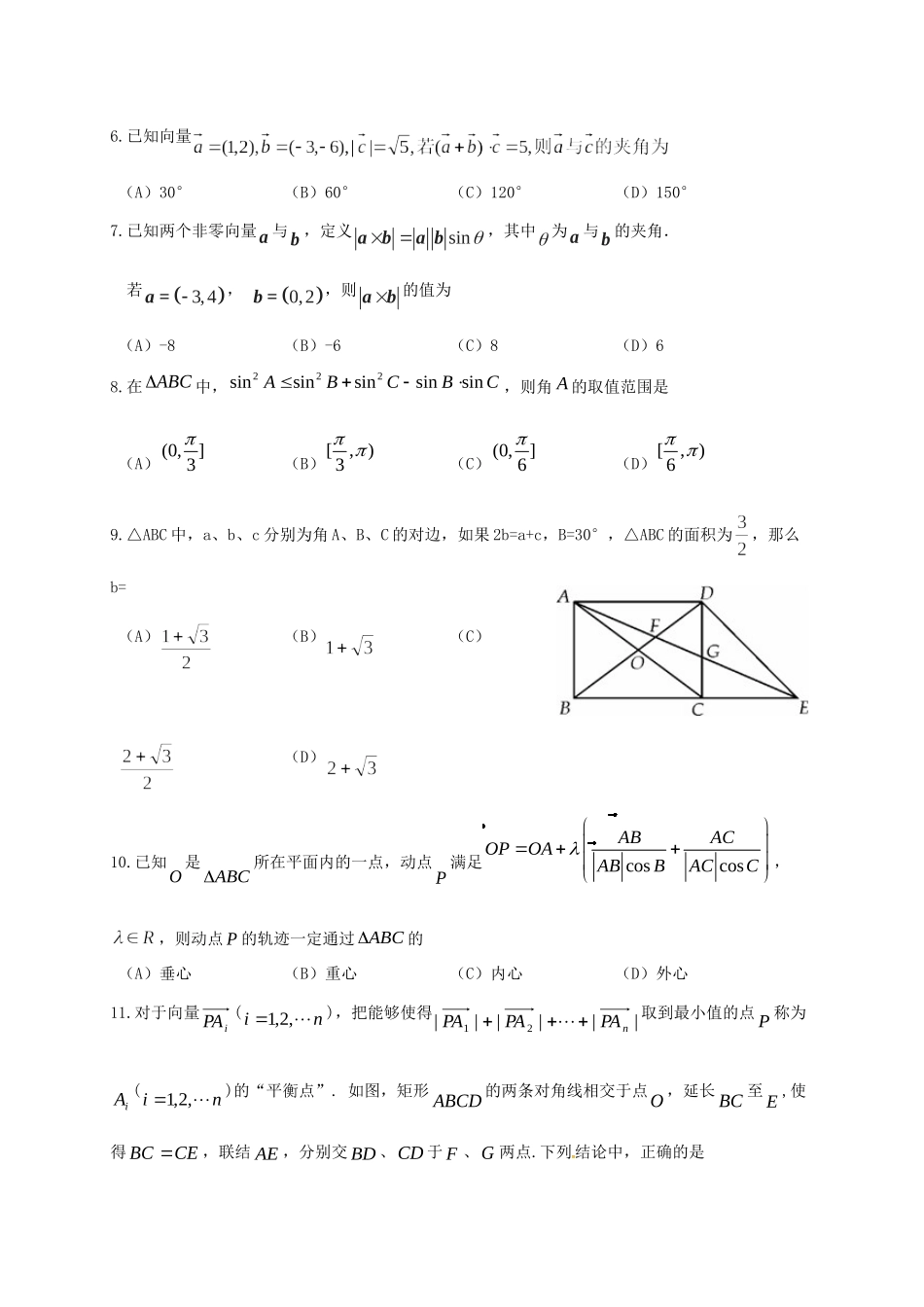
四川省宜宾市2016-2017学年高一数学3月月考试题一、选择题(本大题共12小题,每小题5分,共60分.在每小题给出的四个选项中,只有一项是符合题目要求的.)1.设向量,,且方向相反,则的值是(A)2(B)-2(C)(D)02.在锐角中,角所对的边长分别为.若(A)(B)(C)(D)3.设D为ABC所在平面内一点,则(A)(B)(C)(D)4.如图,M是以AB为直径的圆上一点,且AM=3,则(A)(B)3(C)(D)95.在△ABC中,角A,B,C所对的边分别是a,b,c,若1c,45B,3cos5A,则b(A)53(B)107(C)57(D)5214ABM6.已知向量(A)30°(B)60°(C)120°(D)150°7.已知两个非零向量a与b,定义sinabab,其中为a与b的夹角.若3,4a=,0,2b=,则ab的值为(A)-8(B)-6(C)8(D)68.在ABC中,222sinsinsinsinsinABCBC,则角A的取值范围是(A)(0,]3(B)[,)3(C)(0,]6(D)[,)69.△ABC中,a、b、c分别为角A、B、C的对边,如果2b=a+c,B=30°,△ABC的面积为,那么b=(A)(B)(C)(D)10.已知O是ABC所在平面内的一点,动点P满足coscosABACOPOAABBACC���,,则动点P的轨迹一定通过ABC的(A)垂心(B)重心(C)内心(D)外心11.对于向量iPA(ni,2,1),把能够使得||||||21nPAPAPA取到最小值的点P称为iA(ni,2,1)的“平衡点”.如图,矩形ABCD的两条对角线相交于点O,延长BC至E,使得CEBC,联结AE,分别交BD、CD于F、G两点.下列结论中,正确的是(A)A、C的“平衡点”必为O(B)D、C、E的“平衡点”为D、E的中点(C)A、F、G、E的“平衡点”存在且唯一(D)A、B、E、D的“平衡点”必为F12.在△ABC中,分别是,的中点,且,若恒成立,则的最小值为(A)(B)(C)1(D)二、填空题(本大题共4小题,每小题5分,共20分).13.在平面直角坐标系xOy中,已知(1,)OAt�,(2,2)OB�,若90oABO,则实数t的值为______.14.已知a,b,c分别是△ABC的三个内角A,B,C所对的边,若a=1,b=,且A+C=2B,则∠C=________.15.设为单位向量,且的夹角为,若,,则向量在方向上的投影为___________.16.在中,D为AC中点,,直线BD交CE于点M,过M的动直线l分别交线段CD、BE于P、Q两点,若,则的最大值为______.三、解答题(本大题共6小题,共70分,解答应写出文字说明、证明过程或演算步骤.)17.(本小题满分10分)已知△顶点的直角坐标分别为.(I)若,求sin∠的值;(II)若∠是钝角,求的取值范围.18.(本小题满分12分)已知cba,,分别是ABC的三个内角CBA,,所对的边,且满足AcCabcoscos)2(.(I)求角C的大小;(II)求的最大值,并判断此时ABC的形状.19.(本小题满分12分)如图,甲船以每小时海里的速度向正北方航行,乙船按固定方向匀速直线航行,当甲船位于处时,乙船位于甲船的北偏西方向的处,此时两船相距海里,当甲船航行分钟到达处时,乙船航行到甲船的北偏西方向的处,此时两船相距海里,问乙船每小时航行多少海里?(结论保留根号形式)20.(本小题满分12分)设△的内角所对的边分别为,且,,.(I)求的值;北1B2B1A2A120105乙甲(II)求的值.21.(本小题满分12分)设△ABC三个内角A、B、C所对的边分别为a,b,c.已知C=3,acosA=bcosB.(I)求角B的大小;(II)如图,在△ABC内取一点P,使得PB=2.过点P分别作直线BA、BC的垂线PM、PN,垂足分别是M、N.设∠PBA=,求PM+PN的最大值及此时的取值.22.(本小题满分12分)在ABC中,33(cos,sin)22xxAB�,(cos,sin)22xxAC�,其中.(I)若,求||BC�;(II)记ABC的边BC上的高为h,若函数2()||fxBCh�的最大值是5,求常数的值.MN高2016级高一下期3月月考数学参考答案一、选择题(本大题共12小题,每小题5分,共60分.)题号123456789101112答案BAADCCDABADB二、填空题(本大题共4小题,每小题5分,共20分).13.5;14.;15.16..三、解答题(本大题共6小题,共70分.)17.解:(I),,若c=5,则,………2分∴,………4分又.∴sin∠A=.………5分(II)若∠A为钝角,则且与不共线,即,解得,∴c的取值范围是....

1、当您付费下载文档后,您只拥有了使用权限,并不意味着购买了版权,文档只能用于自身使用,不得用于其他商业用途(如 [转卖]进行直接盈利或[编辑后售卖]进行间接盈利)。
2、本站所有内容均由合作方或网友上传,本站不对文档的完整性、权威性及其观点立场正确性做任何保证或承诺!文档内容仅供研究参考,付费前请自行鉴别。
3、如文档内容存在违规,或者侵犯商业秘密、侵犯著作权等,请点击“违规举报”。

碎片内容

四川省宜宾市高一数学3月月考试卷

星河书苑+ 关注
实名认证
内容提供者

从事历史教学,热爱教育,高度负责。

确认删除?
VIP
微信客服
  • 扫码咨询
会员Q群
  • 会员专属群点击这里加入QQ群
客服邮箱
回到顶部