电脑桌面
添加小米粒文库到电脑桌面
安装后可以在桌面快捷访问

优化设计孙靖民课后答案第6节习题解答VIP免费

优化设计孙靖民课后答案第6节习题解答_第1页
1/7
优化设计孙靖民课后答案第6节习题解答_第2页
2/7
优化设计孙靖民课后答案第6节习题解答_第3页
3/7
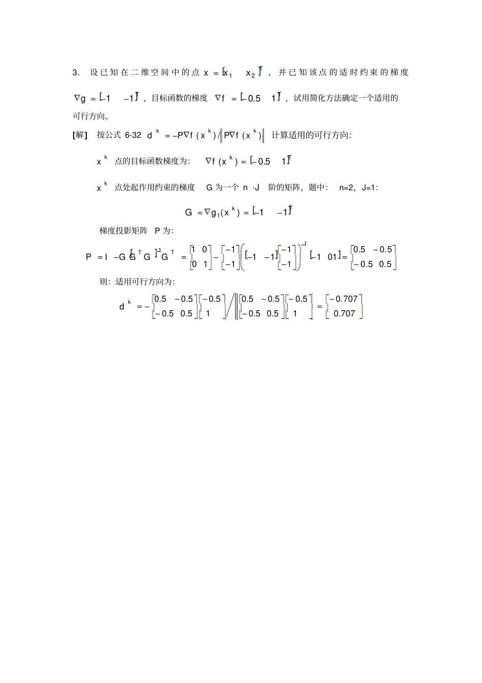
第六章习题解答1.已知约束优化问题:02)(0)()1()2()(min21222112221xxxgxxxgtsxxxf试从第k次的迭代点Tkx21)(出发,沿由(-11)区间的随机数0.562和-0.254所确定的方向进行搜索,完成一次迭代,获取一个新的迭代点)1(kx。并作图画出目标函数的等值线、可行域和本次迭代的搜索路线。[解]1)确定本次迭代的随机方向:TTRS0.4120.9110.2540.5620.2540.2540.5620.56222222)用公式:RkkSxx)()1(计算新的迭代点。步长α取为搜索到约束边界上的最大步长。到第二个约束边界上的步长可取为2,则:176.1)412.0(22822.0911.0212212111RkkRkkSxxSxx176.1822.01kX即:该约束优化问题的目标函数的等值线、可行域和本次迭代的搜索路线如下图所示。2.已知约束优化问题:0)(0)(025)(124)(min231222211221xxgxxgxxxgtsxxxf试以TTTxxx33,14,12030201为复合形的初始顶点,用复合形法进行两次迭代计算。[解]1)计算初始复合形顶点的目标函数值,并判断各顶点是否为可行点:935120101030302023314fxfxfx经判断,各顶点均为可行点,其中,为最坏点。为最好点,0203xx2)计算去掉最坏点02x后的复合形的中心点:3325.2211321003312iiicxLx3)计算反射点1Rx(取反射系数3.1)20.693.30.551422.51.322.5)(1102001RRccRfxxxxx值为可行点,其目标函数经判断4)去掉最坏点1R0301xxxx和,,由02构成新的复合形,在新的复合形中为最坏点为最好点,011Rxx,进行新的一轮迭代。5)计算新的复合形中,去掉最坏点后的中心点得:3.151.7753.30.5533211cx6)计算新一轮迭代的反射点得:,完成第二次迭代。值为可行点,其目标函数经判断413.145.9451.4825123.151.7751.33.151.775)(1201112RRccRfxxxxx3.设已知在二维空间中的点Txxx21,并已知该点的适时约束的梯度Tg11,目标函数的梯度Tf15.0,试用简化方法确定一个适用的可行方向。[解]按公式6-32计算适用的可行方向:)(kkkxfPxfPd/)(kx点的目标函数梯度为:Tkxf15.0)(kx点处起作用约束的梯度G为一个Jn阶的矩阵,题中:n=2,J=1:TkxgG11)(1梯度投影矩阵P为:5.05.05.05.0011111111100111TTGGGGIP则:适用可行方向为:707.0707.010.50.50.50.50.510.50.50.50.50.5kd4.已知约束优化问题:000)(34)(min3322113)43(222121xgxgxgtsxxxxxxf试求在Tkx1/21/40点的梯度投影方向。[解]按公式6-32计算适用的可行方向:)(kkkxfPxfPd/)(kx点的目标函数梯度为:Tkxf125.0125.0)(kx点处起作用约束的梯度G为一个Jn阶的矩阵,题中:n=3,J=1:TkxgG001)(1梯度投影矩阵P为:10001000000100100100110001000111TTGGGGIP则:适用可行方向为:97.0243.00125.0100010.250.1251000100000.12500100kd5.用内点法求下列问题的最优解:0312)(2112221xgtsxxxxfmin(提示:可构造惩罚函数21)(ln)(),(uuxgrxfrx,然后用解析法求解。)[解]构造内点惩罚函数:21)()(),(uuxrxxxxgrxfrx)3ln(12ln212221令惩罚函数对x的极值等于零:0)3/()(222221xrxxdxd得:48366121rxx舍去负根后,得483662rx当Txxr31302该问题的最优解为,时,。6.用外点法求下列问题的最优解:00)(min12221121xgxxgtsxxxf[解]将上述问题按规定写成如下的数学模型:subroutineffx(n,x,fx)dimensionx(n)fx=x(1)+x(2)endsubroutineggx(n,kg,x,gx)dimensionx(n),gx(kg)gx(1)=x(1)*x(1)-x(2)gx(2)=-x(1)endsubroutinehhx(n,kh,x,hx)domensionx(n),hx(kh)hx(1)=0.0end然后,利用惩罚函数法计算,即可得到如下的最优解:==============PRIMARYDATA==============N=2KG=2KH=0X:.1000000E+01.2000000E+01FX:.3000000E+01GX:-.1000000E+01-.1000000E+01X:.1000000E+01.2000000E+01FX:.3000000E+01GX:-.1000000E+01-.1000000E+01PEN=.5000000E+01R=.1000000E+01C=.2000000E+00T0=.1000000E-01EPS1=.1000000E-05EPS2=.1000000E-05===============OPTIMUMSOLUTION==============IRC=21ITE=54ILI=117NPE=3759NFX=0NGR=0R=.1048577E-13PEN=.4229850E-06X:.9493056E-07.7203758E-07FX:.1669681E-06GX:-.7203757E-07-.9493056E-077.用混合惩罚函数法求下列问题的最优解:01)(0)()(2121112xxxhxxgtsxxxflnmin[解]将上述问题按规定写成如下的数学模型:subroutineffx(n,x,fx)dimensionx(n)fx=x(2)-x(1)endsubroutineggx(n,kg,x,gx)dimensionx(n),gx(kg)gx(1)=-log(x(1))]gx(2)=-x(1)gx(3)=-x(2)endsubroutinehhx(n,kh,x,hx)domensionx(n),hx(kh)hx(1)=x(1)+x(2)-1end然后,利用惩罚函数法计算,即可得到如下的最优解:==============PRIMARYDATA==============N=2KG=3KH=1X:.2000000E+01.1000000E+01FX:-.1000000E+01GX:-.6931472E+00-.2000000E+01-.1000000E+01X:.2000000E+01.1000000E+01FX:-.1000000E+01GX:-.6931472E+00-.2000000E+01-.1000000E+01HX:.2000000E+01PEN=.5942695E+01R=.1000000E+01C=.4000000E+00T0=.1000000E-01EPS1=.1000000E-05EPS2=.1000000E-05===============OPTIMUMSOLUTION==============IRC=29ITE=143ILI=143NPE=1190NFX=0NGR=172R=.7205765E-11PEN=-.9999720E+00X:.1000006E+01.3777877E-05FX:-.1000012E+01GX:-.5960447E-05-.1000006E+01.6222123E-05HX:-.2616589E-06

1、当您付费下载文档后,您只拥有了使用权限,并不意味着购买了版权,文档只能用于自身使用,不得用于其他商业用途(如 [转卖]进行直接盈利或[编辑后售卖]进行间接盈利)。
2、本站所有内容均由合作方或网友上传,本站不对文档的完整性、权威性及其观点立场正确性做任何保证或承诺!文档内容仅供研究参考,付费前请自行鉴别。
3、如文档内容存在违规,或者侵犯商业秘密、侵犯著作权等,请点击“违规举报”。

碎片内容

优化设计孙靖民课后答案第6节习题解答

确认删除?
VIP
微信客服
  • 扫码咨询
会员Q群
  • 会员专属群点击这里加入QQ群
客服邮箱
回到顶部