电脑桌面
添加小米粒文库到电脑桌面
安装后可以在桌面快捷访问

元积分几何应用与重积分VIP免费

元积分几何应用与重积分_第1页
1/10
元积分几何应用与重积分_第2页
2/10
元积分几何应用与重积分_第3页
3/10
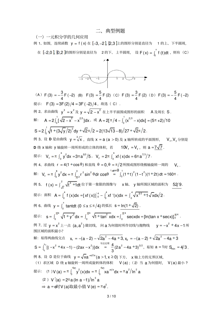
1/10一元积分学的几何应用与重积分计算一、考试内容(一)一元积分学的几何应用1、平面图形的面积{(,),()()}[()()]baDXDxyaxbgxyfxSdxdyfxgxdx型区域的面积为;(),(),()()bayfxygxxaxbaSfxgxdx由曲线与直线所围图型的面积为;{(,)()(),}[()()]dcDYDxygyxfycydSdxdyfygydy型区域的面积为;(),(),()()dcxfyxgyycydcSfygydy由曲线与直线所围图型的面积为;221{(,),()()}[()()]2DDgfSddfgd型区域的面积为;2、旋转体体积22{(,),0()()}[()()]bxaXDxyaxbgxyfxxVfxgxdx型区域绕轴旋转一周的=;22()0,()0,,()()bxayfxygxxaxbaxVfxgxdx所围图形绕轴旋转一周的=;22{(,)0()(),}[()()]dycYDxygyxfycydyVfygydy型区域绕轴旋转一周的=;22()0,()0,()()dycxfyxgyycydcyVfygydy,所围图形绕轴旋转一周的=;{(,)0,()()}2[()()]byaXDxyaxbgxyfxyVxfxgxdx型区域绕轴旋转一周的=;(),(),,02()()byayfxygxxaxbayVxfxgxdx所围图形绕轴旋转一周生成的=;{(,)()(),0}2[()()]dxcYDxygyxfycydxVyfygydy型区域绕轴旋转一周的=;(),(),02()()dxcxfyxgyycydcxVyfygydy,所围图形绕轴旋转一周的=;22{(,),()()}{[()][()]}baDxyaxbkgxyfxykVfxkgxkdx绕旋转一周的=;22(),(),,[()][()]bayfxkygxkxaxbaykVfxkgxkdx所围图形绕旋转一周的=;{(,),()()}2()[()()]baDxykaxbgxyfxxkVxkfxgxdx绕旋转一周的=;注:利用平面图形的面积与旋转体体积公式时,有时可借助参数方程或极坐标表示,xy3、曲线的弧长(数三不要求)22:(),(),[,]'()'()btLaLxftygttabLdsftgtdt的弧长=;22:(),[,]()'()LLfLdsffd的弧长=;4、旋转体的侧面积(数三不要求)2:()0,[,]2()2()1'()bxLaLyfxxabxSfxdsfxfxdx绕轴旋转一周的侧面积=;()(){(,),0()()}2()()xyfxygxDxyaxbgxyfxxSfxdsgxds绕轴旋转一周的=222[()1'()()1'()]bafxfxgxgxdx2/10(二)重积分计算法则1、记忆以下二重积分奇偶对称性性质:(1)当积分域D对称于x轴时,令D是D关于x轴某一侧的部分,则有(,)'2(,),(,)(,)(,)0,(,)(,)fxyDDfxydfxyfxyyfxydfxyfxyy连续若关于为偶若关于为奇上述性质可类似地应用于关于y轴的对称性与函数关于x的奇偶性(3)当积分域关于原点对称时,若),(),(yxfyxf,则有.0),(Ddyxf(4)若将,xy互换,积分域D不变,(D关于yx对称)则1(,)(,)[(,)(,)]2DDDfxydfyxdfxyfyxd(轮换性)2、记忆以下三重积分奇偶对称性性质:(数一)(1)当积分域对称于xoy面时,令'是关于xoy面某一侧的部分,则有(,,)'2(,,),(,,)(,,)(,,)0,(,,)(,,)fxyzfxyzdvfxyzfxyzzfxyzdvfxyzfxyzz连续若关于为偶若关于为奇上述性质可类似地应用于关于其它坐标面的对称性与函数的奇偶性(2)若将,,xyz互换,积分域不变,则(,,)(,,)(,,)fxyzdvfxzydvfyzxdv(轮换性)3、记忆重积分算法对{(,),()()}XDxyaxbgxyhx型区域,()()(,)(,)bhxagxDfxyddxfxydy对{(,)()(),}YDxygyxhycyd型区域,()()(,)(,)dhycgyDfxyddyfxydx对{(,),()()}Dgh型区域,()()(,)(cos,sin)(cos,sin)hgDDfxydfdddfd特别地,2211(cos,sin)(cos,sin)rrrrdfddfd对{(,,)(,),(,)(,)}xyzxyDgxyzhxy(疑似)柱体区域,D为在xoy面的投影则(,)(,)(,,)(,,)hxygxyDfxyzdvdxdyfxyzdz,此为先二后一法(数一)对(,)00Fyzx绕z轴(azb)的旋转体区域,zD为在z处的横截面区域,则(,,)(,,)zbaDfxyzdvdzfxyzdxdy,此为先一后二法(数一)特别地,截面面积为已知的立体体积()()bbaaDxVAxdxdxdydzdv=对由球面与锥面所围成的区域,可利用球坐标法计算:2(,,)(sincos,sinsin,cos)sinfxyzdvfrrrrdrdd(数一)3/10二、典型例题(一)一元积分学的几何应用例1、如图,连续函数()yfx在3,2,2,3上的图形分别是直径为1的上、下半圆周,在2,0,0,2的图形分别是直径为2的下、上半圆周,设0()()dxFxftt,则有(C)(A)3(3)(2)4FF(B)5(3)(2)4FF(C)3(3)(2)4FF(D)5(3)(2)4FF提示:(3)3(2)43(2)4FFF,故选(C).例2、求由曲线23xy及22xy在上半平面围成图形的面积A及周长S.解:122302[2]Axxdx,或12302[4()](5+2)10Axxdx12021(32)22Sydy2(13138)2722.例3、设D是由曲线3xy,直线ax)0(a及x轴所转成的平面图形,yxVV,分别是D绕x轴和y轴旋转一周所形成的立体的体积,若yxVV10,则77a.提示:2530...

1、当您付费下载文档后,您只拥有了使用权限,并不意味着购买了版权,文档只能用于自身使用,不得用于其他商业用途(如 [转卖]进行直接盈利或[编辑后售卖]进行间接盈利)。
2、本站所有内容均由合作方或网友上传,本站不对文档的完整性、权威性及其观点立场正确性做任何保证或承诺!文档内容仅供研究参考,付费前请自行鉴别。
3、如文档内容存在违规,或者侵犯商业秘密、侵犯著作权等,请点击“违规举报”。

碎片内容

元积分几何应用与重积分

爱的疯狂+ 关注
实名认证
内容提供者

该用户很懒,什么也没介绍

确认删除?
VIP
微信客服
  • 扫码咨询
会员Q群
  • 会员专属群点击这里加入QQ群
客服邮箱
回到顶部