电脑桌面
添加小米粒文库到电脑桌面
安装后可以在桌面快捷访问

力学第二版习题答案VIP免费

力学第二版习题答案_第1页
1/10
力学第二版习题答案_第2页
2/10
力学第二版习题答案_第3页
3/10
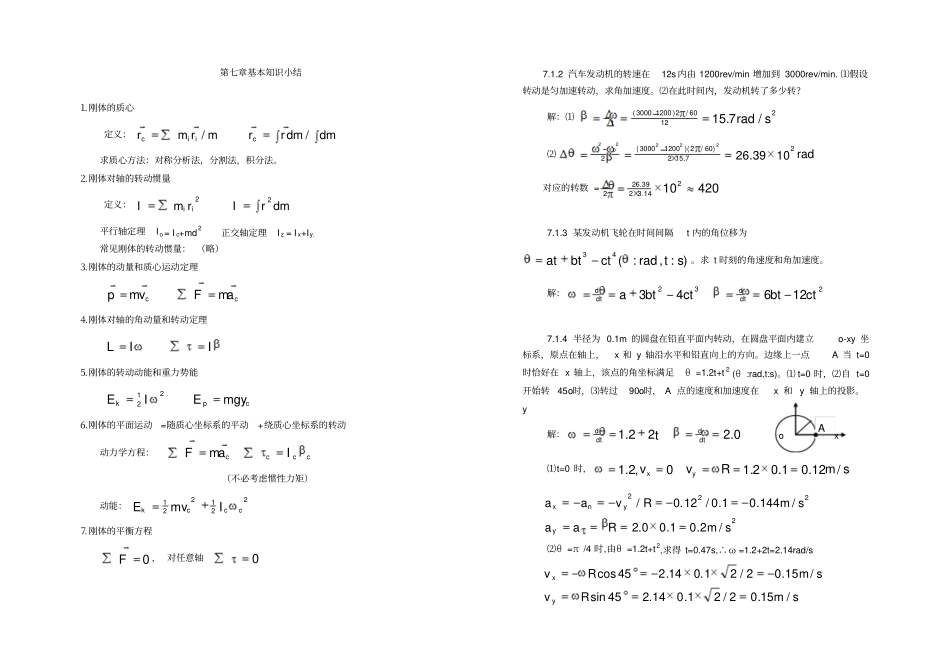
A 第七章基本知识小结⒈刚体的质心定义:dmdmrrmrmrciic//求质心方法:对称分析法,分割法,积分法。⒉刚体对轴的转动惯量定义:dmrIrmIii22平行轴定理I o = I c+md2正交轴定理I z = I x+Iy. 常见刚体的转动惯量: (略)⒊刚体的动量和质心运动定理ccamFvmp⒋刚体对轴的角动量和转动定理IIL⒌刚体的转动动能和重力势能cpkmgyEIE221⒍刚体的平面运动=随质心坐标系的平动+绕质心坐标系的转动动力学方程:ccccIamF(不必考虑惯性力矩)动能:221221ccckImvE⒎刚体的平衡方程0F, 对任意轴07.1.2 汽车发动机的转速在12s 内由 1200rev/min 增加到 3000rev/min. ⑴假设转动是匀加速转动,求角加速度。⑵在此时间内,发动机转了多少转?解:⑴21260/2)12003000(/7.15sradt⑵rad27.152)60/2)(12003000(21039.26222202对应的转数 =42010214.3239.2627.1.3 某发动机飞轮在时间间隔t 内的角位移为):,:(43stradctbtat。求 t 时刻的角速度和角加速度。解:23212643ctbtctbtadtddtd7.1.4 半径为 0.1m 的圆盘在铅直平面内转动,在圆盘平面内建立o-xy 坐标系,原点在轴上,x 和 y 轴沿水平和铅直向上的方向。边缘上一点A 当 t=0时恰好在 x 轴上,该点的角坐标满足θ =1.2t+t 2 (θ :rad,t:s)。⑴ t=0 时,⑵自 t=0开始转45o时,⑶转过90o时, A 点的速度和加速度在x 和 y 轴上的投影。y 解:0.222.1dtddtdto x ⑴t=0 时,smRvvyx/12.01.02.10,2.12222/2.01.00.2/144.01.0/12.0/smRaasmRvaayynx⑵θ =π /4 时,由θ =1.2t+t 2,求得 t=0.47s,∴ ω =1.2+2t=2.14rad/s smRvsmRvyx/15.02/21.014.245sin/15.02/21.014.245cos·222222222222/182.0)14.20.2(1.0)(45sin45sin45sin/465.0)14.20.2(1.0)(45cos45cos45cossmRRRasmRRRayx⑶ θ =π /2 时,由θ =1.2t+t 2,求得 t=0.7895s,ω =1.2+2t=2.78rad/s 2222/77.01.078.2/2.01.00.20/278.01.078.2smRasmRavsmRvyxyx7.1.5 钢制炉门由两个各长1.5m 的平行臂A C AB 和 CD 支承,以角速率 ω =10rad/s 逆时针转动,求臂与铅直成45o时门中心G 的速度和加B D 速度。解:因炉门在铅直面内作平动,所以门中G 心 G 的速度、加速度与B 点或 D 点相同,而B、D 两点作匀速圆周运动,因此smABvvBG/155.110,方向指向右下方,与水平方向成 45o;222/1505.110smABaaBG,方向指向右上方,与水平方向成45o7.1.6 收割机拨禾轮上面通常装4 到压...

1、当您付费下载文档后,您只拥有了使用权限,并不意味着购买了版权,文档只能用于自身使用,不得用于其他商业用途(如 [转卖]进行直接盈利或[编辑后售卖]进行间接盈利)。
2、本站所有内容均由合作方或网友上传,本站不对文档的完整性、权威性及其观点立场正确性做任何保证或承诺!文档内容仅供研究参考,付费前请自行鉴别。
3、如文档内容存在违规,或者侵犯商业秘密、侵犯著作权等,请点击“违规举报”。

碎片内容

力学第二版习题答案

文库当当响+ 关注
实名认证
内容提供者

该用户很懒,什么也没介绍

确认删除?
VIP
微信客服
  • 扫码咨询
会员Q群
  • 会员专属群点击这里加入QQ群
客服邮箱
回到顶部