电脑桌面
添加小米粒文库到电脑桌面
安装后可以在桌面快捷访问

11.KITCHEN(ALL KITCHEN STAFF2)所有厨师须知154-185VIP免费

11.KITCHEN(ALL KITCHEN STAFF2)所有厨师须知154-185_第1页
1/32
11.KITCHEN(ALL KITCHEN STAFF2)所有厨师须知154-185_第2页
2/32
11.KITCHEN(ALL KITCHEN STAFF2)所有厨师须知154-185_第3页
3/32
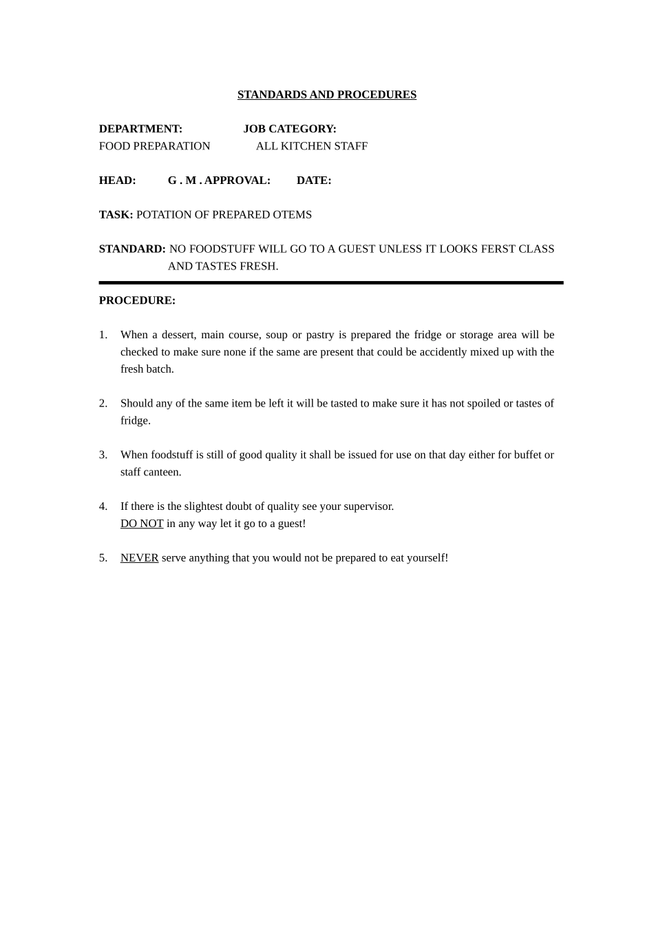
STANDARDS AND PROCEDURES DEPARTMENT: JOB CATEGORY:FOOD PREPARATION ALL KITCHEN STAFF HEAD: G . M . APPROVAL: DATE:TASK: POTATION OF PREPARED OTEMS STANDARD: NO FOODSTUFF WILL GO TO A GUEST UNLESS IT LOOKS FERST CLASS AND TASTES FRESH.PROCEDURE:1.When a dessert, main course, soup or pastry is prepared the fridge or storage area will be checked to make sure none if the same are present that could be accidently mixed up with the fresh batch.2.Should any of the same item be left it will be tasted to make sure it has not spoiled or tastes of fridge.3.When foodstuff is still of good quality it shall be issued for use on that day either for buffet or staff canteen.4.If there is the slightest doubt of quality see your supervisor.DO NOT in any way let it go to a guest!5.NEVER serve anything that you would not be prepared to eat yourself!STANDARDS AND PROCEDURESDEPARTMENT: JOB CATEGORY:FOOD PREPARATION ALL KITCHEN STAFF HEAD: G. M. APPROVAL: DATE:TASK: GUEST GREETING STANDARD: guests will be greeted in a warm, friendly, genuine and welcoming manner as first impressions are very important, the guest’s name will always be used if at all possible.PROCEDURE:1.When meeting a guest at the buffet or in passageways, Banquets etc., be positive, stand straight, do not slouch. Smile!2.Welcome the guest with a proper greeting.a)Say “Bula Good Morning,””Bula Good Afternoon,” or “Bula Good Evening.”b)If at all possible, call the guest by name “”Bula, Good Morning, Mrs.··············, Mr.··············”c)If you do not know the guest’s name you may say “Bula Good Morning, Sir/Madam.”REMEMBER:First impressions are very important. Well groomed appearance is a necessity. Personal hygiene, ha...

1、当您付费下载文档后,您只拥有了使用权限,并不意味着购买了版权,文档只能用于自身使用,不得用于其他商业用途(如 [转卖]进行直接盈利或[编辑后售卖]进行间接盈利)。
2、本站所有内容均由合作方或网友上传,本站不对文档的完整性、权威性及其观点立场正确性做任何保证或承诺!文档内容仅供研究参考,付费前请自行鉴别。
3、如文档内容存在违规,或者侵犯商业秘密、侵犯著作权等,请点击“违规举报”。

碎片内容

11.KITCHEN(ALL KITCHEN STAFF2)所有厨师须知154-185

北斗星书店+ 关注
实名认证
内容提供者

热爱教学事业,对互联网知识分享很感兴趣

确认删除?
VIP
微信客服
  • 扫码咨询
会员Q群
  • 会员专属群点击这里加入QQ群
客服邮箱
回到顶部