电脑桌面
添加小米粒文库到电脑桌面
安装后可以在桌面快捷访问

四川遂宁高中2018届零诊考试高三数学文科答案VIP免费

四川遂宁高中2018届零诊考试高三数学文科答案_第1页
1/7
四川遂宁高中2018届零诊考试高三数学文科答案_第2页
2/7
四川遂宁高中2018届零诊考试高三数学文科答案_第3页
3/7
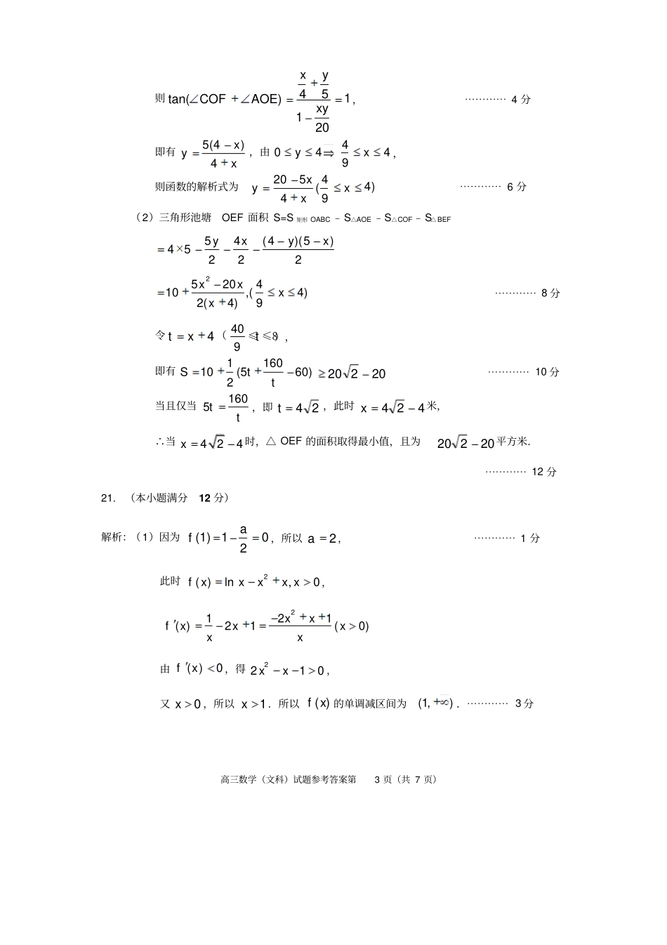
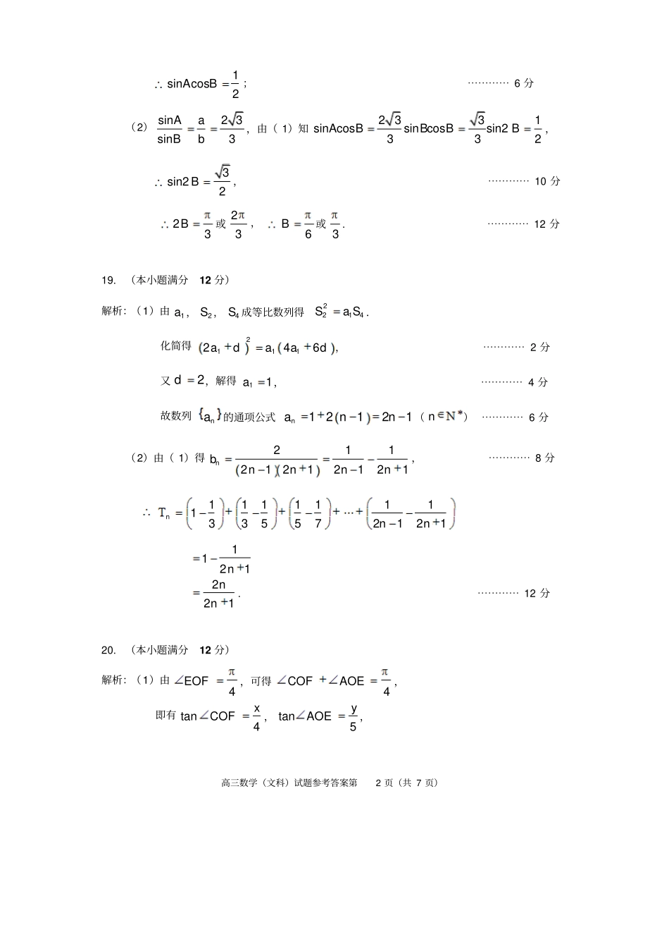
高三数学(文科)试题参考答案第1 页(共 7 页)遂 宁 市 高 中 2018 届 零 诊 考 试数学 (文科) 试题参考答案及评分意见一、选择题: 本大题共 12 小题,每小题5 分,共 60 分。题号1 2 3 4 5 6 7 8 9 10 11 12 答案B C A A C B B C D C D A 二、填空题: 本大题共 4 个小题,每小题5 分,共 20 分。13. 114. {01}xx15. (2,3) 16. ②④三、解答题: 本大题 70 分。解答应写出文字说明、证明过程或演算步骤。17. (本小题满分12 分)解析:(1)32xxA,当21a时,4921xxB, ⋯⋯⋯⋯ 4 分所以21xxBCU或49x所以ABCU)(349xx⋯⋯⋯⋯ 6 分(2)若 p 是 q 的充分条件,则BA,⋯⋯⋯⋯ 8 分而aa22,故22axaxB,所以3222aa,⋯⋯⋯ 10 分解得1a或21a⋯⋯⋯⋯ 12 分18. (本小题满分12 分)解析:(1) sin1cos1sin1sin2sin cos12ABCCABAB,高三数学(文科)试题参考答案第2 页(共 7 页)1sin cos2AB;⋯⋯⋯⋯ 6 分(2) sin2 3sin3AaBb,由( 1)知2 331sin cossin cossin2332ABBBB,3sin22B,⋯⋯⋯⋯ 10 分23B或 23,6B或3. ⋯⋯⋯⋯ 12 分19. (本小题满分12 分)解析:(1)由1a ,2S ,4S 成等比数列得2214Sa S .化简得2111246adaad,⋯⋯⋯⋯ 2 分又2d,解得11a,⋯⋯⋯⋯ 4 分故数列na的通项公式12121nann( n) ⋯⋯⋯⋯ 6 分(2)由( 1)得21121212121nbnnnn,⋯⋯⋯⋯ 8 分11111111335572121nnn1121n221nn. ⋯⋯⋯⋯ 12 分20. (本小题满分12 分)解析:(1)由4EOF,可得4AOECOF,即有4tanxCOF,5tanyAOE,高三数学(文科)试题参考答案第3 页(共 7 页)则120154)tan(xyyxAOECOF,⋯⋯⋯⋯ 4 分即有xxy4)4(5,由40449yx,则函数的解析式为)494(4520xxxy⋯⋯⋯⋯ 6 分(2)三角形池塘OEF 面积 S=S 矩形 OABC ﹣S△AOE ﹣S△COF﹣S△ BEF2)5)(4(242554xyxy2520410,(4)2(4)9xxxx⋯⋯⋯⋯ 8 分令4xt(940 ≤t ≤8),即有116010(560)2Stt20220⋯⋯⋯⋯ 10 分当且仅当tt1605,即24t,此时424x米,∴当424x时,△ OEF 的面积取得最小值,且为20220平方米.⋯⋯⋯⋯ 12 分21. (本小题满分12 分)解析:(1)因为(1)102af,所以2a,⋯⋯⋯⋯ 1 分此时2( )ln,0f xxxx x,2121( )21(0)xxfxxxxx由( )0fx,得2210xx,又0x,所以1x.所以( )f x 的单调减区间为(1,) .⋯⋯⋯⋯ 3...

1、当您付费下载文档后,您只拥有了使用权限,并不意味着购买了版权,文档只能用于自身使用,不得用于其他商业用途(如 [转卖]进行直接盈利或[编辑后售卖]进行间接盈利)。
2、本站所有内容均由合作方或网友上传,本站不对文档的完整性、权威性及其观点立场正确性做任何保证或承诺!文档内容仅供研究参考,付费前请自行鉴别。
3、如文档内容存在违规,或者侵犯商业秘密、侵犯著作权等,请点击“违规举报”。

碎片内容

四川遂宁高中2018届零诊考试高三数学文科答案

您可能关注的文档

确认删除?
VIP
微信客服
  • 扫码咨询
会员Q群
  • 会员专属群点击这里加入QQ群
客服邮箱
回到顶部