电脑桌面
添加小米粒文库到电脑桌面
安装后可以在桌面快捷访问

向量与圆锥曲线 公开课课件及教案向量与圆锥曲线 公开课课件及教案向量与圆锥曲线VIP免费

向量与圆锥曲线 公开课课件及教案向量与圆锥曲线 公开课课件及教案向量与圆锥曲线_第1页
1/5
向量与圆锥曲线 公开课课件及教案向量与圆锥曲线 公开课课件及教案向量与圆锥曲线_第2页
2/5
向量与圆锥曲线 公开课课件及教案向量与圆锥曲线 公开课课件及教案向量与圆锥曲线_第3页
3/5
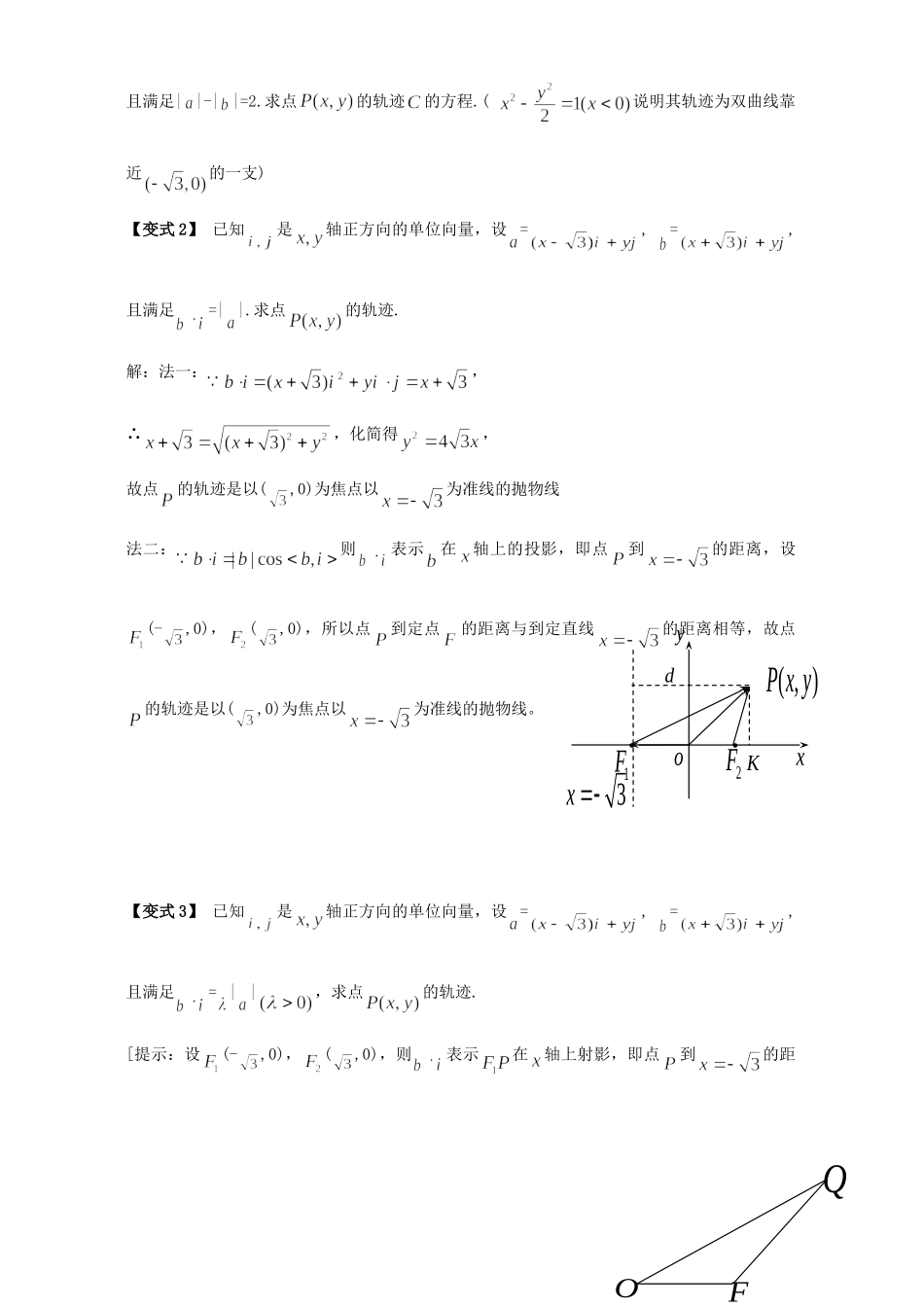
向量与圆锥曲线黄冈中学教学内容:1.利用平面向量的运算的几何意义及圆锥曲线的定义求轨迹;2.利用向量的坐标运算解决圆锥曲线中的相关问题。教学目标:1.灵活运用平面向量的运算的几何意义及圆锥曲线的统一定义; 2.掌握平面向量的坐标运算及圆锥曲线的基本解题方法; 3.通过运用向量解题,培养学生生善于思考、乐于探究、敢于创新的思想品质。 教学重点:平面向量的运算的几何意义及坐标运算教学难点:平面向量的数量积的几何意义的理解。教学过程:向量具有代数与几何形式的双重身份,故它是联系多项知识的媒介,成为中学数学知识的一个交汇点,数学高考重视能力立意,在知识网络的交汇点上设计试题,因此,解析几何与平面向量的融合交汇是新课程高考命题改革的发展方向和创新的必然趋势。我们在解析几何复习时应适时融合平面向量的基础知识,渗透平面向量的基本方法。本节课就以下两方面对平面向量与圆锥曲线交汇综合的问题进行复习:1、以向量为载体,求轨迹方程为命题切入点,综合考查平面向量的加法与减法及其几何意义,平面向量的数量积及其几何意义,圆锥曲线的定义。2、以向量作为工具考查圆锥曲线的标准方程和几何性质,直线与圆锥曲线位置关系,曲线和方程的关系等解析几何的基本思想方法和综合解题能力。一、例题讲解例 1.已知是轴正方向的单位向量,设=, =,且满足| |+| |=4,求点的轨迹的方程.解: ,且| |+| |=4.点到点(,0),(-,0)的距离之和为 4,故点的轨迹方程为【变式 1】已知是轴正方向的单位向量,设=, =,且满足| |-| |=2.求点的轨迹的方程.( 说明其轨迹为双曲线靠近的一支) 【变式 2】 已知是轴正方向的单位向量,设 =, =,且满足=| |.求点的轨迹. 解:法一:,∴,化简得,故点的轨迹是以(,0)为焦点以为准线的抛物线法二:则表示在轴上的投影,即点到的距离,设(-,0),(,0),所以点到定点的距离与到定直线的距离相等,故点的轨迹是以(,0)为焦点以为准线的抛物线。【变式 3】 已知是轴正方向的单位向量,设 =, =,且满足= | |,求点的轨迹.[提示:设(-,0),(,0),则表示在轴上射影,即点到的距OFQxy( , )P x yo1F2F Kd3x 离,所以点到定点的距离与到定直线的距离比为,当即时,点 P 的轨迹是以(,0)为焦点,以为相应准线的椭圆;当时,点的轨迹是以(,0)为焦点,以为相应准线的抛物线;当即时,点的轨迹是以(,0)为焦点,以为相应准线的双曲线的右支;若想得到双曲线的两支应满足...

1、当您付费下载文档后,您只拥有了使用权限,并不意味着购买了版权,文档只能用于自身使用,不得用于其他商业用途(如 [转卖]进行直接盈利或[编辑后售卖]进行间接盈利)。
2、本站所有内容均由合作方或网友上传,本站不对文档的完整性、权威性及其观点立场正确性做任何保证或承诺!文档内容仅供研究参考,付费前请自行鉴别。
3、如文档内容存在违规,或者侵犯商业秘密、侵犯著作权等,请点击“违规举报”。

碎片内容

向量与圆锥曲线 公开课课件及教案向量与圆锥曲线 公开课课件及教案向量与圆锥曲线

您可能关注的文档

远洋启航书店+ 关注
实名认证
内容提供者

从事历史教学,热爱教育,高度负责。

相关文档

确认删除?
VIP
微信客服
  • 扫码咨询
会员Q群
  • 会员专属群点击这里加入QQ群
客服邮箱
回到顶部