电脑桌面
添加小米粒文库到电脑桌面
安装后可以在桌面快捷访问

初三数学计算专练VIP免费

初三数学计算专练_第1页
1/11
初三数学计算专练_第2页
2/11
初三数学计算专练_第3页
3/11
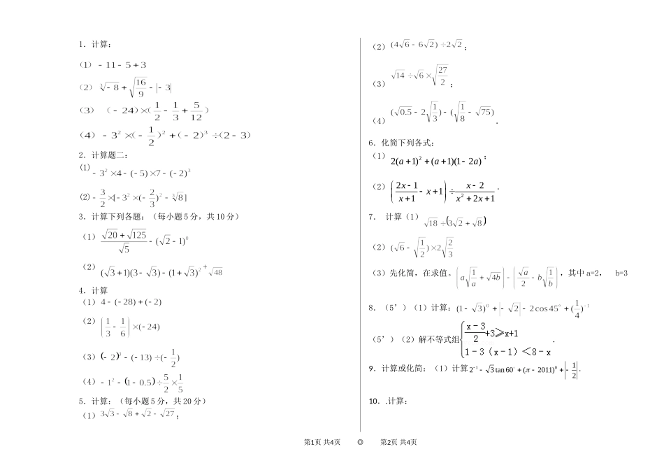
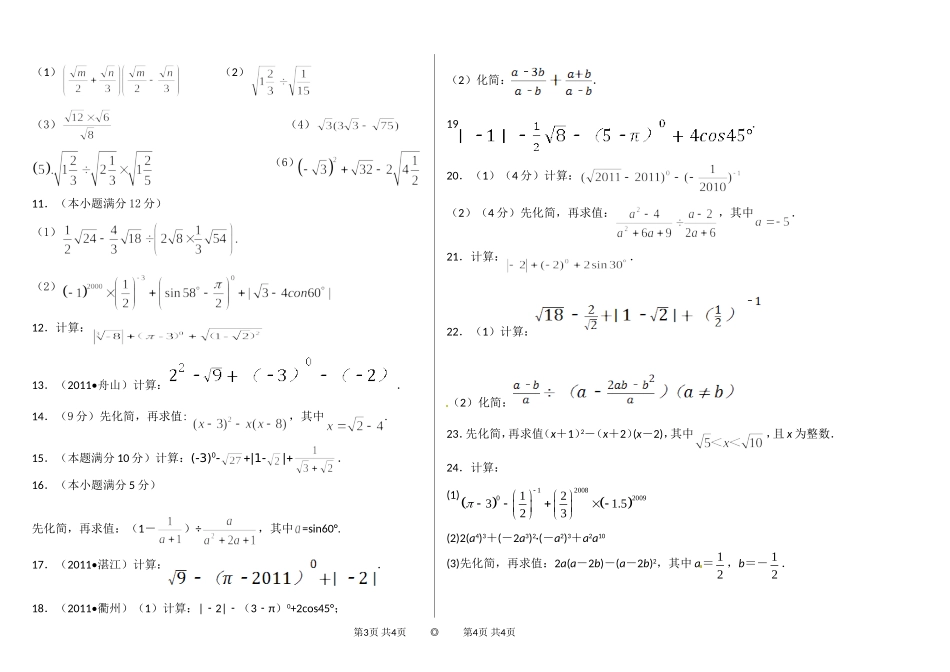
1.计算:2.计算题二:(1)(2)3.计算下列各题:(每小题5分,共10分)(1)(2)+4.计算(1)(2)(3)(4)5.计算:(每小题5分,共20分)(1);(2);(3);(4).6.化简下列各式:(1)22(1)(1)(12)aaa;(2)22121121xxxxxx.7.计算(1)(2)(3)先化简,在求值。,其中a=2,b=38.(5’)(1)计算:(5’)(2)解不等式组.9.计算或化简:(1)计算21)2011(60tan3201.10..计算:第1页共4页◎第2页共4页(1)(2)(3)(4)(6)11.(本小题满分12分)(1)(2)12.计算:13.(2011•舟山)计算:.14.(9分)先化简,再求值:,其中.15.(本题满分10分)计算:(3)0|1|.16.(本小题满分5分)先化简,再求值:(1-)÷,其中=sin60°.17.(2011•湛江)计算:.18.(2011•衢州)(1)计算:|2|﹣﹣(3π﹣)0+2cos45°;(2)化简:.19.20.(1)(4分)计算:(2)(4分)先化简,再求值:,其中.21.计算:.22.(1)计算:(2)化简:23.先化简,再求值(x+1)2-(x+2)(x-2),其中,且x为整数.24.计算:(1)12008020091231.523(2)2(a4)3+(-2a3)2·(-a2)3+a2a10(3)先化简,再求值:2a(a-2b)-(a-2b)2,其中a=12,b=-12.第3页共4页◎第4页共4页本卷由系统自动生成,请仔细校对后使用,答案仅供参考。参考答案1.(1)、-13;(2)、-3;(3)、-14;(4)、【解析】试题分析:(1)、根据有理数加减法的计算法则进行计算;(2)、首先根据根式和绝对值的计算法则求出各式的值,然后进行求和;(3)、利用乘法分配律进行简便计算;(4)、首先根据平方的计算法则得出各式的值,然后进行求和得出答案.试题解析:(1)、原式=(-16)+3=-13(2)、原式=(-2)+-3=-3(3)、原式=(-24)×-(-24)×+(-24)×=-12+8-10=-14(4)、原式=-9×+(-8)÷(-1)=-+8=考点:实数的计算2.(1)、7;(2)、9【解析】试题分析:(1)、首先根据幂的计算法则得出各式的值,然后进行求和得出答案;(2)、首先根据幂的计算法则和立方根的计算法则求出各式的值,然后进行计算.试题解析:(1)、原式=-9×4+35+8=7(2)、原式=×(-9×-2)=×(-6)=9.考点:实数的计算3.(1)6;(2).【解析】试题分析:根据二次根式的运算顺序依次运算即可.试题解析:解:(1).(2)+===考点:二次根式的运算.4.(1)30;(2)-4;(3)-34;(4)-【解析】试题分析:根据有理数的混合运算的法则,添去括号法则,可逐步解答即可.答案第1页,总9页本卷由系统自动生成,请仔细校对后使用,答案仅供参考。试题解析:(1)=4+28-2=30(2)==-8+4=-4(3)=-8-26=-34(4)===考点:有理数的混合运算5.(1)-;(2);(3);(4)+.【解析】试题分析:此题属于低档试题,计算要小心,此题考查学生的计算能力,思路:分别将每项计算出来,再化简.先将二次根式化为最简二次根式,然后对同类二次根式进行合并即可.试题解析:(20分,每小题5分)解:(1)=3-2+-3=-;(2)=(3)==;(4)=-2-+5=--+5=答案第8页,总8页本卷由系统自动生成,请仔细校对后使用,答案仅供参考。+.考点:二次根式的四则运算.6.3a+3;-2x-x【解析】试题分析:利用提取公因式法进行提取公因式,然后根据单项式乘以多项式的法则求出答案首先将括号里面的分式进行通分,然后将各分式的分子和分母进行因式分解,最后将除法改成乘法进行约分计算.试题解析:(1)原式=(a+1)(2a+2+1-2a)=3(a+1)=3a+3;(2)原式=2(2)(1)12xxxxx--++-=-2x-x考点:整式的计算、分式的化简.7.(1);(2)4-;(3)【解析】试题分析:本题根据二次根式的计算法则分别进行计算.试题解析:(1)原式=3==3=(2)原式=(-)×=4-(3)原式== a=2,b=3∴原式=考点:二次根式的计算.8.(1)5;(2)﹣2<x≤1.【解析】试题分析:(1)分别进行零指数幂、绝对值、特殊角的三角函数值、负整数指数幂等运算,然后按照实数的运算法则计算即可;(2)分别求出两个不等式的解集,求其公共解.试题解析...

1、当您付费下载文档后,您只拥有了使用权限,并不意味着购买了版权,文档只能用于自身使用,不得用于其他商业用途(如 [转卖]进行直接盈利或[编辑后售卖]进行间接盈利)。
2、本站所有内容均由合作方或网友上传,本站不对文档的完整性、权威性及其观点立场正确性做任何保证或承诺!文档内容仅供研究参考,付费前请自行鉴别。
3、如文档内容存在违规,或者侵犯商业秘密、侵犯著作权等,请点击“违规举报”。

碎片内容

初三数学计算专练

文章天下+ 关注
实名认证
内容提供者

各种文档应有尽有

相关文档

确认删除?
VIP
微信客服
  • 扫码咨询
会员Q群
  • 会员专属群点击这里加入QQ群
客服邮箱
回到顶部